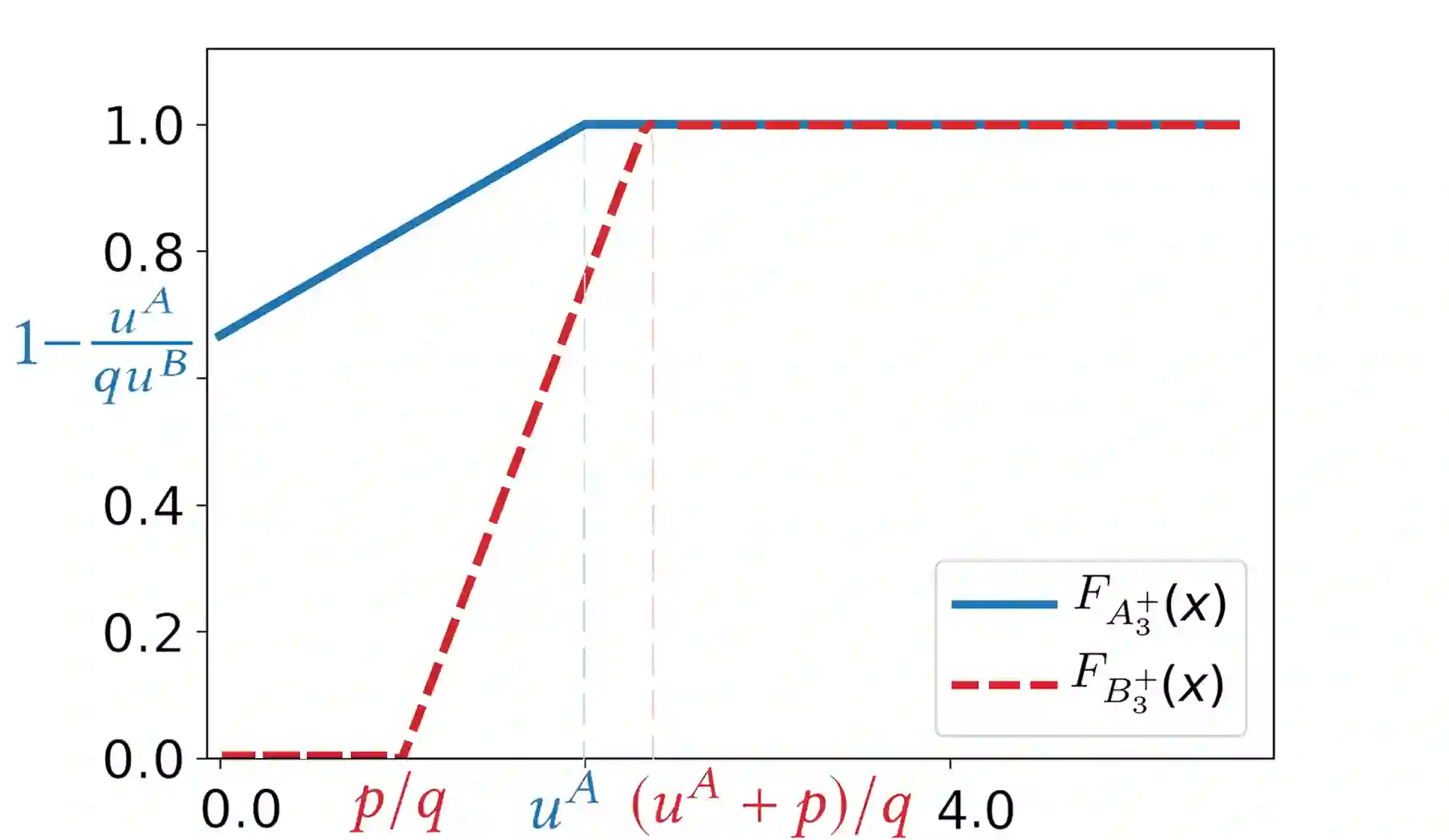
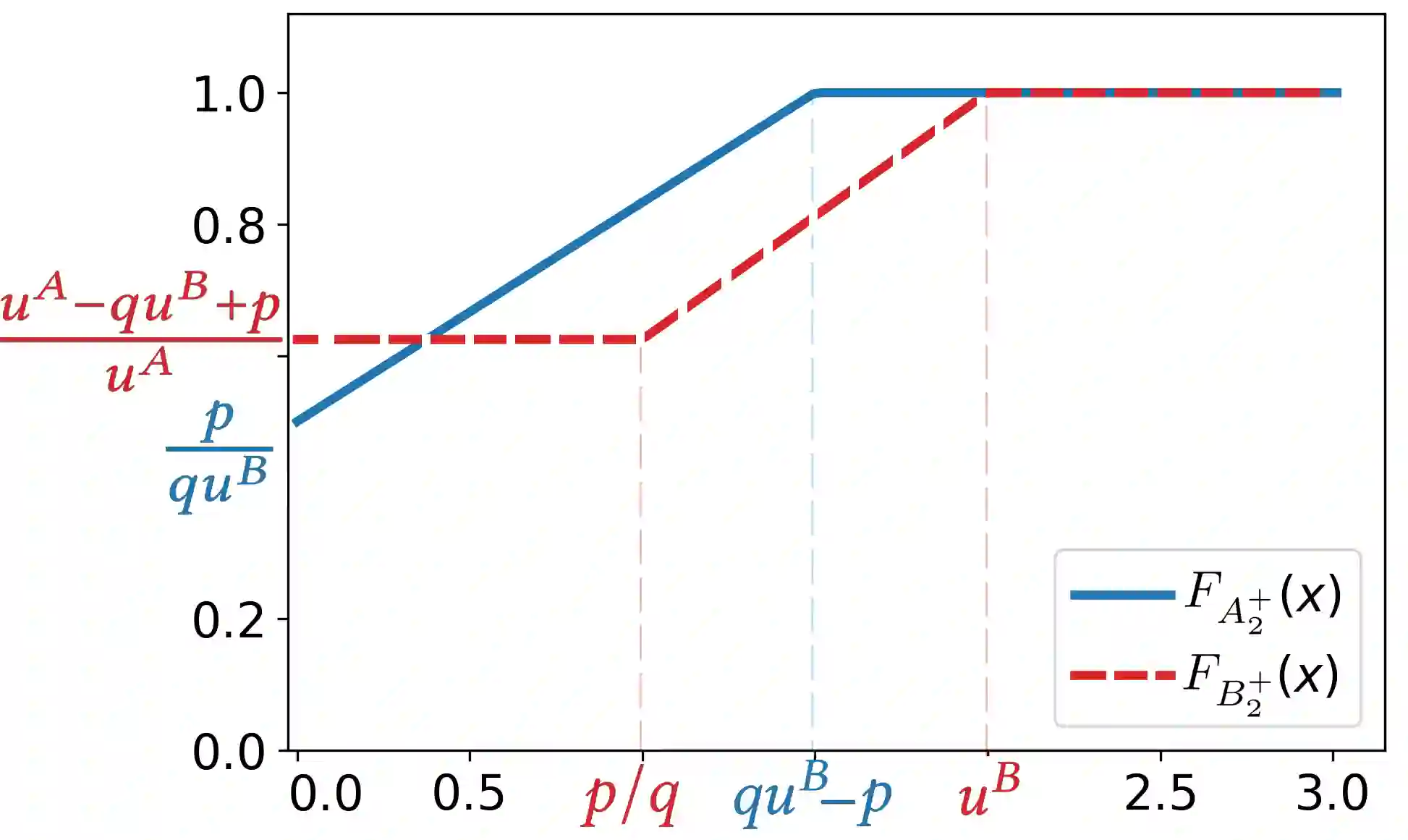
We introduce the Colonel Blotto game with favoritism, an extension of the famous Colonel Blotto game where the winner-determination rule is generalized to include pre-allocations and asymmetry of the players' resources effectiveness on each battlefield. Such favoritism is found in many classical applications of the Colonel Blotto game. We focus on the Nash equilibrium. First, we consider the closely related model of all-pay auctions with favoritism and completely characterize its equilibrium. Based on this result, we prove the existence of a set of optimal univariate distributions -- which serve as candidate marginals for an equilibrium -- of the Colonel Blotto game with favoritism and show an explicit construction thereof. In several particular cases, this directly leads to an equilibrium of the Colonel Blotto game with favoritism. In other cases, we use these optimal univariate distributions to derive an approximate equilibrium with well-controlled approximation error. Finally, we propose an algorithm -- based on the notion of winding number in parametric curves -- to efficiently compute an approximation of the proposed optimal univariate distributions with arbitrarily small error.


翻译:我们引入了以偏向为主的Blotto上校游戏,这是著名的Blotto上校游戏的延伸,在这个游戏中,获胜者自决规则被普遍化,包括每个战场上球员资源效率的预分配和不对称。这种偏向性存在于Blotto上校游戏的许多经典应用中。我们侧重于纳什均衡。首先,我们用偏向性来考虑与全薪拍卖密切相关的模型,并完全描述其平衡。根据这一结果,我们证明存在一套最佳的单向分配 -- -- 作为对平衡的候选边缘 -- -- 布洛托上校游戏的偏向性,并展示其明确的构造。在几个特定案例中,这直接导致布洛托上校游戏与偏向性之间的平衡。在另一些案例中,我们使用这些最佳的单向分配方法,以精密的近似误差来得出大致的平衡。最后,我们根据对准曲线的刮线数概念,提出了一种算法 -- -- 以便有效地对拟议的最佳的单向偏差分布进行精确的近似。

0
下载
关闭预览

相关内容

CASES:International Conference on Compilers, Architectures, and Synthesis for Embedded Systems。 Explanation:嵌入式系统编译器、体系结构和综合国际会议。 Publisher:ACM。 SIT: http://dblp.uni-trier.de/db/conf/cases/index.html
专知会员服务
52+阅读 · 2020年12月14日
开源书:PyTorch深度学习起步
专知会员服务
51+阅读 · 2019年10月11日
强化学习最新教程,17页pdf
专知会员服务
182+阅读 · 2019年10月11日
机器学习入门的经验与建议
专知会员服务
94+阅读 · 2019年10月10日
【哈佛大学商学院课程Fall 2019】机器学习可解释性
专知会员服务
105+阅读 · 2019年10月9日
【SIGGRAPH2019】TensorFlow 2.0深度学习计算机图形学应用
专知会员服务
41+阅读 · 2019年10月9日
MIT新书《强化学习与最优控制》
专知会员服务
282+阅读 · 2019年10月9日
Transferring Knowledge across Learning Processes
CreateAMind
29+阅读 · 2019年5月18日
已删除
将门创投
3+阅读 · 2018年11月20日
分布式TensorFlow入门指南
机器学习研究会
4+阅读 · 2017年11月28日
最佳实践:深度学习用于自然语言处理(三)
待字闺中
3+阅读 · 2017年8月20日
Auto-Encoding GAN
CreateAMind
7+阅读 · 2017年8月4日
Arxiv
0+阅读 · 2021年7月22日
Arxiv
0+阅读 · 2021年7月22日
VIP会员
最新内容
2025年大语言模型进展报告
专知会员服务
6+阅读 · 4月25日
多智能体协作机制
专知会员服务
5+阅读 · 4月25日
非对称优势:美海军开发低成本反无人机技术
专知会员服务
8+阅读 · 4月25日
《美战争部小企业创新研究(SBIR)计划》
专知会员服务
7+阅读 · 4月25日
《军事模拟:将军事条令与目标融入AI智能体》
专知会员服务
10+阅读 · 4月25日
【NTU博士论文】3D人体动作生成
专知会员服务
8+阅读 · 4月24日
以色列军事技术对美国军力发展的持续性赋能
专知会员服务
8+阅读 · 4月24日
《深度强化学习在兵棋推演中的应用》40页报告
专知会员服务
14+阅读 · 4月24日
《多域作战面临复杂现实》
专知会员服务
10+阅读 · 4月24日
《印度的多域作战:条令与能力发展》报告
专知会员服务
5+阅读 · 4月24日
相关VIP内容
专知会员服务
52+阅读 · 2020年12月14日
开源书:PyTorch深度学习起步
专知会员服务
51+阅读 · 2019年10月11日
强化学习最新教程,17页pdf
专知会员服务
182+阅读 · 2019年10月11日
机器学习入门的经验与建议
专知会员服务
94+阅读 · 2019年10月10日
【哈佛大学商学院课程Fall 2019】机器学习可解释性
专知会员服务
105+阅读 · 2019年10月9日
【SIGGRAPH2019】TensorFlow 2.0深度学习计算机图形学应用
专知会员服务
41+阅读 · 2019年10月9日
MIT新书《强化学习与最优控制》
专知会员服务
282+阅读 · 2019年10月9日
相关资讯
Transferring Knowledge across Learning Processes
CreateAMind
29+阅读 · 2019年5月18日
已删除
将门创投
3+阅读 · 2018年11月20日
分布式TensorFlow入门指南
机器学习研究会
4+阅读 · 2017年11月28日
最佳实践:深度学习用于自然语言处理(三)
待字闺中
3+阅读 · 2017年8月20日
Auto-Encoding GAN
CreateAMind
7+阅读 · 2017年8月4日
Top
微信扫码咨询专知VIP会员