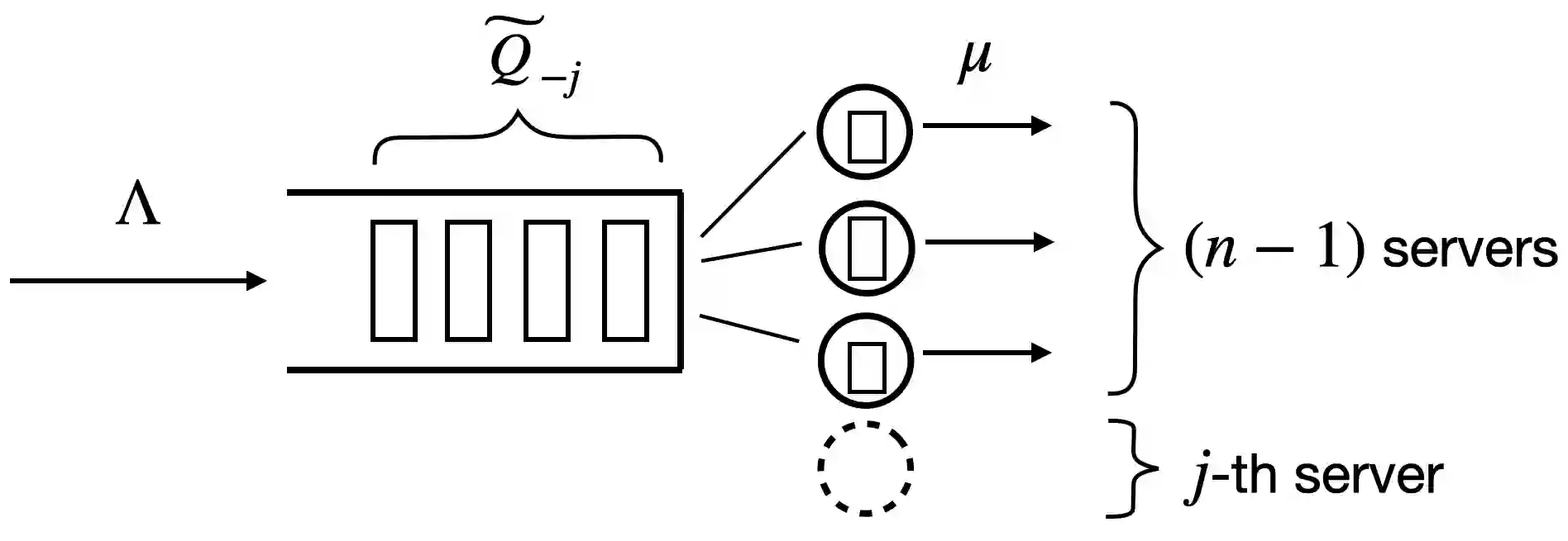
Bounding the queue length in a multiserver queue is a central challenge in queueing theory. Even for the classic $GI/GI/n$ queue with homogeneous servers, it is highly non-trivial to derive a simple and accurate bound for the steady-state queue length that holds across all scaling regimes. A recent breakthrough by Li and Goldberg (2025) establishes bounds that scale as $1/(1-\rho)$ for any load $\rho < 1$ and number of servers $n$, which is the correct scaling in many well-known scaling regimes, including classic heavy-traffic, Halfin-Whitt and Nondegenerate-Slowdown. However, their bounds entail large constant factors and a highly intricate proof, suggesting room for further improvement. In this paper, we present a new $1/(1-\rho)$-scaling bound for the $GI/GI/n$ queue. Our bound, while restricted to the light-tailed case and the first moment of the queue length, has a more interpretable and often tighter leading constant. Our proof is relatively simple, utilizing a modified $GI/GI/n$ queue, the stationarity of a quadratic test function, and a novel leave-one-out coupling technique. Finally, we also extend our method to $GI/GI/n$ queues with fully heterogeneous service-time distributions.


翻译:在多服务器队列中界定队列长度是排队论的核心难题。即便对于具有同质服务器的经典$GI/GI/n$队列,要推导出一个在所有尺度机制下均成立、简单且准确的稳态队列长度界也极具挑战性。Li与Goldberg(2025)近期取得突破性进展,建立了对于任意负载$\rho < 1$及任意服务器数量$n$均按$1/(1-\rho)$尺度变化的界,该尺度在包括经典重负载、Halfin-Whitt机制与非退化减速机制在内的多种著名尺度机制中均被证明是准确的。然而,他们的界包含较大的常数因子,且证明过程极为复杂,表明仍有进一步改进的空间。本文针对$GI/GI/n$队列提出了一种新的$1/(1-\rho)$尺度界。我们的界虽然限于轻尾情形及队列长度的一阶矩,但其主导常数更具可解释性,且通常更紧。证明过程相对简洁,运用了修正的$GI/GI/n$队列、二次测试函数的平稳性以及一种新颖的留一耦合技术。最后,我们还将该方法推广至服务时间分布完全异构的$GI/GI/n$队列。

0
下载
关闭预览

相关内容

【AAAI2022】面向多标签分类的端到端概率标签特征学习
专知会员服务
32+阅读 · 2022年1月27日
专知会员服务
33+阅读 · 2021年3月7日
FlowQA: Grasping Flow in History for Conversational Machine Comprehension
专知会员服务
34+阅读 · 2019年10月18日
【SIGGRAPH2019】TensorFlow 2.0深度学习计算机图形学应用
专知会员服务
41+阅读 · 2019年10月9日
RL解决'BipedalWalkerHardcore-v2' (SOTA)
CreateAMind
31+阅读 · 2019年7月17日
Unsupervised Learning via Meta-Learning
CreateAMind
44+阅读 · 2019年1月3日
meta learning 17年:MAML SNAIL
CreateAMind
11+阅读 · 2019年1月2日
A Technical Overview of AI & ML in 2018 & Trends for 2019
待字闺中
18+阅读 · 2018年12月24日
disentangled-representation-papers
CreateAMind
26+阅读 · 2018年9月12日
CVE-2018-7600 - Drupal 7.x 远程代码执行exp
黑客工具箱
14+阅读 · 2018年4月17日
可解释的CNN
CreateAMind
17+阅读 · 2017年10月5日
IJCAI | Cascade Dynamics Modeling with Attention-based RNN
KingsGarden
13+阅读 · 2017年7月16日
国家自然科学基金
2+阅读 · 2015年12月31日
国家自然科学基金
0+阅读 · 2015年12月31日
国家自然科学基金
0+阅读 · 2015年12月31日
国家自然科学基金
0+阅读 · 2015年12月31日
国家自然科学基金
0+阅读 · 2015年12月31日
国家自然科学基金
2+阅读 · 2015年12月31日
国家自然科学基金
0+阅读 · 2014年12月31日
国家自然科学基金
0+阅读 · 2014年12月31日
国家自然科学基金
0+阅读 · 2014年12月31日
国家自然科学基金
3+阅读 · 2014年12月31日
Arxiv
16+阅读 · 2022年5月17日
Arxiv
18+阅读 · 2021年3月16日
Recent advances in deep learning theory
Arxiv
50+阅读 · 2020年12月20日
Optimization for deep learning: theory and algorithms
Arxiv
106+阅读 · 2019年12月19日
Augmentation for small object detection
Arxiv
13+阅读 · 2019年2月19日
VIP会员
相关VIP内容
【AAAI2022】面向多标签分类的端到端概率标签特征学习
专知会员服务
32+阅读 · 2022年1月27日
专知会员服务
33+阅读 · 2021年3月7日
FlowQA: Grasping Flow in History for Conversational Machine Comprehension
专知会员服务
34+阅读 · 2019年10月18日
【SIGGRAPH2019】TensorFlow 2.0深度学习计算机图形学应用
专知会员服务
41+阅读 · 2019年10月9日
相关资讯
RL解决'BipedalWalkerHardcore-v2' (SOTA)
CreateAMind
31+阅读 · 2019年7月17日
Unsupervised Learning via Meta-Learning
CreateAMind
44+阅读 · 2019年1月3日
meta learning 17年:MAML SNAIL
CreateAMind
11+阅读 · 2019年1月2日
A Technical Overview of AI & ML in 2018 & Trends for 2019
待字闺中
18+阅读 · 2018年12月24日
disentangled-representation-papers
CreateAMind
26+阅读 · 2018年9月12日
CVE-2018-7600 - Drupal 7.x 远程代码执行exp
黑客工具箱
14+阅读 · 2018年4月17日
可解释的CNN
CreateAMind
17+阅读 · 2017年10月5日
IJCAI | Cascade Dynamics Modeling with Attention-based RNN
KingsGarden
13+阅读 · 2017年7月16日
相关基金
国家自然科学基金
2+阅读 · 2015年12月31日
国家自然科学基金
0+阅读 · 2015年12月31日
国家自然科学基金
0+阅读 · 2015年12月31日
国家自然科学基金
0+阅读 · 2015年12月31日
国家自然科学基金
0+阅读 · 2015年12月31日
国家自然科学基金
2+阅读 · 2015年12月31日
国家自然科学基金
0+阅读 · 2014年12月31日
国家自然科学基金
0+阅读 · 2014年12月31日
国家自然科学基金
0+阅读 · 2014年12月31日
国家自然科学基金
3+阅读 · 2014年12月31日
Top
微信扫码咨询专知VIP会员