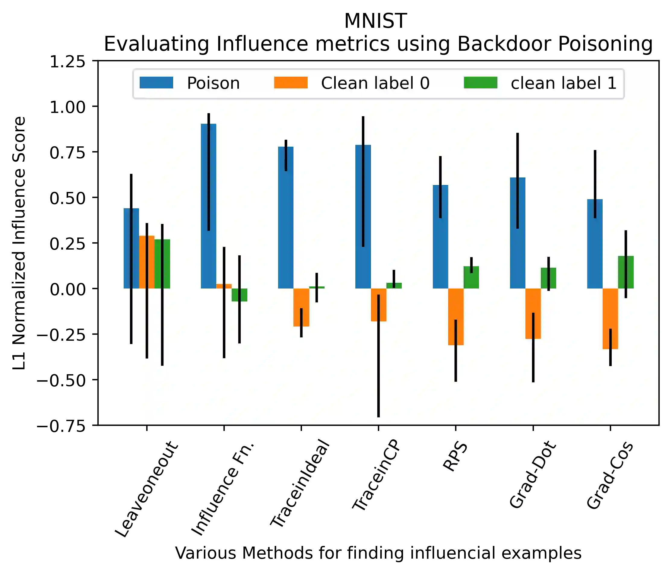
Several instance-based explainability methods for finding influential training examples for test-time decisions have been proposed recently, including Influence Functions, TraceIn, Representer Point Selection, Grad-Dot, and Grad-Cos. Typically these methods are evaluated using LOO influence (Cook's distance) as a gold standard, or using various heuristics. In this paper, we show that all of the above methods are unstable, i.e., extremely sensitive to initialization, ordering of the training data, and batch size. We suggest that this is a natural consequence of how in the literature, the influence of examples is assumed to be independent of model state and other examples -- and argue it is not. We show that LOO influence and heuristics are, as a result, poor metrics to measure the quality of instance-based explanations, and instead propose to evaluate such explanations by their ability to detect poisoning attacks. Further, we provide a simple, yet effective baseline to improve all of the above methods and show how it leads to very significant improvements on downstream tasks.


翻译:最近提出了若干基于实例的解释方法,用于为测试时的决定寻找有影响力的培训实例,包括影响函数、TraceIn、代表点选择、Grad-Dot和Grad-Cos。 通常,这些方法是使用LOO影响(Cook的距离)作为金本位标准,或使用各种牛皮法来评估的。在本文件中,我们表明所有上述方法都是不稳定的,即对初始化极为敏感,对培训数据排序和批量大小。我们提出,这是文献如何假定例子的影响独立于模型状态和其他例子的自然结果,我们争辩说,事实并非如此。我们表明,LOO影响和超自然学作为衡量实例解释质量的尺度因此很差,我们提议用其检测中毒袭击的能力来评价这种解释。此外,我们提供了一个简单而有效的基线来改进所有上述方法,并表明它如何导致下游任务的重大改进。

0
下载
关闭预览

相关内容

一份简单《图神经网络》教程,28页ppt
专知会员服务
127+阅读 · 2020年8月2日
因果图,Causal Graphs,52页ppt
专知会员服务
253+阅读 · 2020年4月19日
Keras François Chollet 《Deep Learning with Python 》, 386页pdf
专知会员服务
164+阅读 · 2019年10月12日
强化学习最新教程,17页pdf
专知会员服务
182+阅读 · 2019年10月11日
【哈佛大学商学院课程Fall 2019】机器学习可解释性
专知会员服务
105+阅读 · 2019年10月9日
Hierarchically Structured Meta-learning
CreateAMind
27+阅读 · 2019年5月22日
Transferring Knowledge across Learning Processes
CreateAMind
29+阅读 · 2019年5月18日
强化学习的Unsupervised Meta-Learning
CreateAMind
18+阅读 · 2019年1月7日
无监督元学习表示学习
CreateAMind
27+阅读 · 2019年1月4日
Unsupervised Learning via Meta-Learning
CreateAMind
44+阅读 · 2019年1月3日
meta learning 17年:MAML SNAIL
CreateAMind
11+阅读 · 2019年1月2日
A Technical Overview of AI & ML in 2018 & Trends for 2019
待字闺中
18+阅读 · 2018年12月24日
disentangled-representation-papers
CreateAMind
26+阅读 · 2018年9月12日
视觉机械臂 visual-pushing-grasping
CreateAMind
3+阅读 · 2018年5月25日
Hierarchical Disentangled Representations
CreateAMind
4+阅读 · 2018年4月15日
Arxiv
0+阅读 · 2022年1月5日
Arxiv
13+阅读 · 2021年3月29日
Arxiv
17+阅读 · 2021年1月21日
Visualizing and Measuring the Geometry of BERT
Arxiv
7+阅读 · 2019年10月28日
Learning to Weight for Text Classification
Arxiv
8+阅读 · 2019年3月28日
VIP会员
最新内容
人工智能赋能无人机:俄乌战争(万字长文)
专知会员服务
6+阅读 · 4月23日
国外海军作战管理系统与作战训练系统
专知会员服务
3+阅读 · 4月23日
美军条令《海军陆战队规划流程(2026版)》
专知会员服务
10+阅读 · 4月23日
《压缩式分布式交互仿真标准》120页
专知会员服务
4+阅读 · 4月23日
《电子战数据交换模型研究报告》
专知会员服务
6+阅读 · 4月23日
《低数据领域军事目标检测模型研究》
专知会员服务
6+阅读 · 4月23日
【CMU博士论文】物理世界的视觉感知与深度理解
专知会员服务
10+阅读 · 4月22日
相关VIP内容
一份简单《图神经网络》教程,28页ppt
专知会员服务
127+阅读 · 2020年8月2日
因果图,Causal Graphs,52页ppt
专知会员服务
253+阅读 · 2020年4月19日
Keras François Chollet 《Deep Learning with Python 》, 386页pdf
专知会员服务
164+阅读 · 2019年10月12日
强化学习最新教程,17页pdf
专知会员服务
182+阅读 · 2019年10月11日
【哈佛大学商学院课程Fall 2019】机器学习可解释性
专知会员服务
105+阅读 · 2019年10月9日
相关资讯
Hierarchically Structured Meta-learning
CreateAMind
27+阅读 · 2019年5月22日
Transferring Knowledge across Learning Processes
CreateAMind
29+阅读 · 2019年5月18日
强化学习的Unsupervised Meta-Learning
CreateAMind
18+阅读 · 2019年1月7日
无监督元学习表示学习
CreateAMind
27+阅读 · 2019年1月4日
Unsupervised Learning via Meta-Learning
CreateAMind
44+阅读 · 2019年1月3日
meta learning 17年:MAML SNAIL
CreateAMind
11+阅读 · 2019年1月2日
A Technical Overview of AI & ML in 2018 & Trends for 2019
待字闺中
18+阅读 · 2018年12月24日
disentangled-representation-papers
CreateAMind
26+阅读 · 2018年9月12日
视觉机械臂 visual-pushing-grasping
CreateAMind
3+阅读 · 2018年5月25日
Hierarchical Disentangled Representations
CreateAMind
4+阅读 · 2018年4月15日
相关论文
Arxiv
0+阅读 · 2022年1月5日
Arxiv
13+阅读 · 2021年3月29日
Arxiv
17+阅读 · 2021年1月21日
Visualizing and Measuring the Geometry of BERT
Arxiv
7+阅读 · 2019年10月28日
Learning to Weight for Text Classification
Arxiv
8+阅读 · 2019年3月28日
Top
微信扫码咨询专知VIP会员