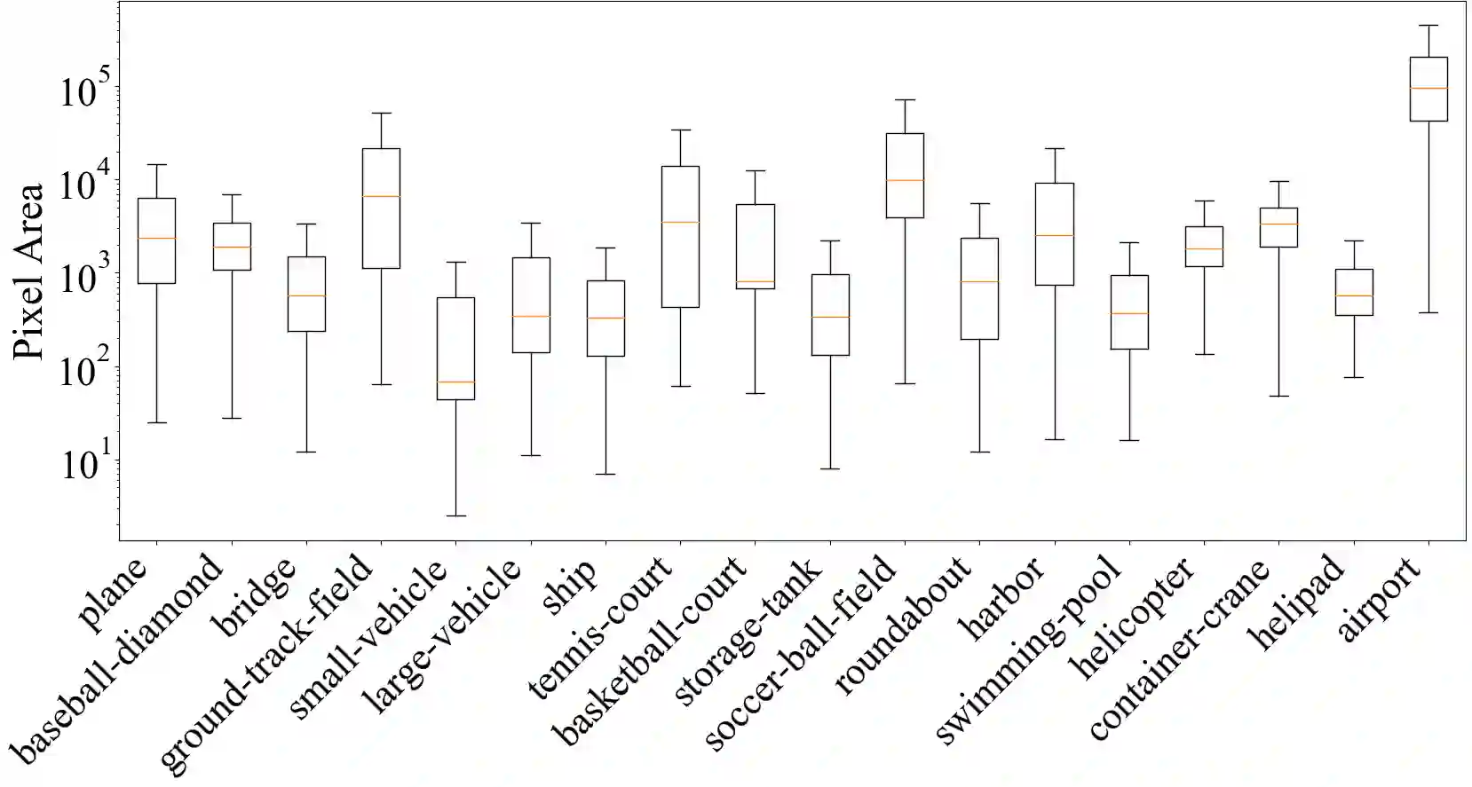
In the past decade, object detection has achieved significant progress in natural images but not in aerial images, due to the massive variations in the scale and orientation of objects caused by the bird's-eye view of aerial images. More importantly, the lack of large-scale benchmarks becomes a major obstacle to the development of object detection in aerial images (ODAI). In this paper, we present a large-scale Dataset of Object deTection in Aerial images (DOTA) and comprehensive baselines for ODAI. The proposed DOTA dataset contains 1,793,658 object instances of 18 categories of oriented-bounding-box annotations collected from 11,268 aerial images. Based on this large-scale and well-annotated dataset, we build baselines covering 10 state-of-the-art algorithms with over 70 configurations, where the speed and accuracy performances of each model have been evaluated. Furthermore, we provide a uniform code library for ODAI and build a website for testing and evaluating different algorithms. Previous challenges run on DOTA have attracted more than 1300 teams worldwide. We believe that the expanded large-scale DOTA dataset, the extensive baselines, the code library and the challenges can facilitate the designs of robust algorithms and reproducible research on the problem of object detection in aerial images.


翻译:过去十年来,天体探测在自然图像方面取得了显著进展,但在航空图像方面没有取得显著进展。由于鸟类对空中图像视视视视造成天体天体规模和方向的巨大变化,天体探测在自然图像上取得了显著进展,但由于天体图像视距造成天体物体天体观测规模和方向的巨大变化,更为重要的是,缺乏大规模基准成为空中图像天体探测的一大障碍。在本文件中,我们提供了空中图像天体探测物体大规模数据集(DOTA)和官方发展援助综合基线。拟议的DOTA数据集包含从11 268空中图像收集的18类定向框说明的18个物体实例。基于这一大规模和有良好说明的数据集,我们建立了涵盖10种最先进的算法的基线,其中每个模型的速度和准确性能都得到了评估。此外,我们为DODIAI提供了一个统一的代码库,并建立了一个测试和评价不同算法的网站。DOTA以往的挑战吸引了1 300多个团队。我们认为,扩大的DATA数据设置、广泛的基线、稳健的代码图书馆以及图像的重新设计中的各种挑战可以促进。

0
下载
关闭预览

相关内容

目标检测,也叫目标提取,是一种与计算机视觉和图像处理有关的计算机技术,用于检测数字图像和视频中特定类别的语义对象(例如人,建筑物或汽车)的实例。深入研究的对象检测领域包括面部检测和行人检测。 对象检测在计算机视觉的许多领域都有应用,包括图像检索和视频监视。

知识荟萃

精品入门和进阶教程、论文和代码整理等

更多

查看相关VIP内容、论文、资讯等
[综述]深度学习下的场景文本检测与识别
专知会员服务
78+阅读 · 2019年10月10日
无人机视觉挑战赛 | ICCV 2019 Workshop—VisDrone2019
PaperWeekly
7+阅读 · 2019年5月5日
Unsupervised Learning via Meta-Learning
CreateAMind
44+阅读 · 2019年1月3日
Disentangled的假设的探讨
CreateAMind
9+阅读 · 2018年12月10日
Hierarchical Disentangled Representations
CreateAMind
4+阅读 · 2018年4月15日
【推荐】YOLO实时目标检测(6fps)
机器学习研究会
20+阅读 · 2017年11月5日
【推荐】深度学习目标检测全面综述
机器学习研究会
21+阅读 · 2017年9月13日
【推荐】深度学习目标检测概览
机器学习研究会
10+阅读 · 2017年9月1日
Anomalous Instance Detection in Deep Learning: A Survey
Clustered Object Detection in Aerial Images
Arxiv
5+阅读 · 2019年8月27日
Augmentation for small object detection
Arxiv
13+阅读 · 2019年2月19日
Deep Learning for Generic Object Detection: A Survey
Arxiv
14+阅读 · 2018年9月6日
Arxiv
6+阅读 · 2018年4月23日
VIP会员
最新内容
BES:让语言模型通过双向进化搜索自我改进
专知会员服务
2+阅读 · 5月30日
以色列-美国-伊朗战争中的无人机:关键要点
专知会员服务
4+阅读 · 5月30日
《Palantir任务保障性软件安全标准(MA-S2)》
专知会员服务
9+阅读 · 5月30日
基于声学的无人机检测技术综述
专知会员服务
6+阅读 · 5月30日
《当代混合战争分析框架:俄乌战争经验教训》
战略前沿人工智能的再思考(中文)
专知会员服务
8+阅读 · 5月29日
《量化地基防空系统间接效应的博弈论方法》
专知会员服务
6+阅读 · 5月29日
相关VIP内容
[综述]深度学习下的场景文本检测与识别
专知会员服务
78+阅读 · 2019年10月10日
Top
微信扫码咨询专知VIP会员