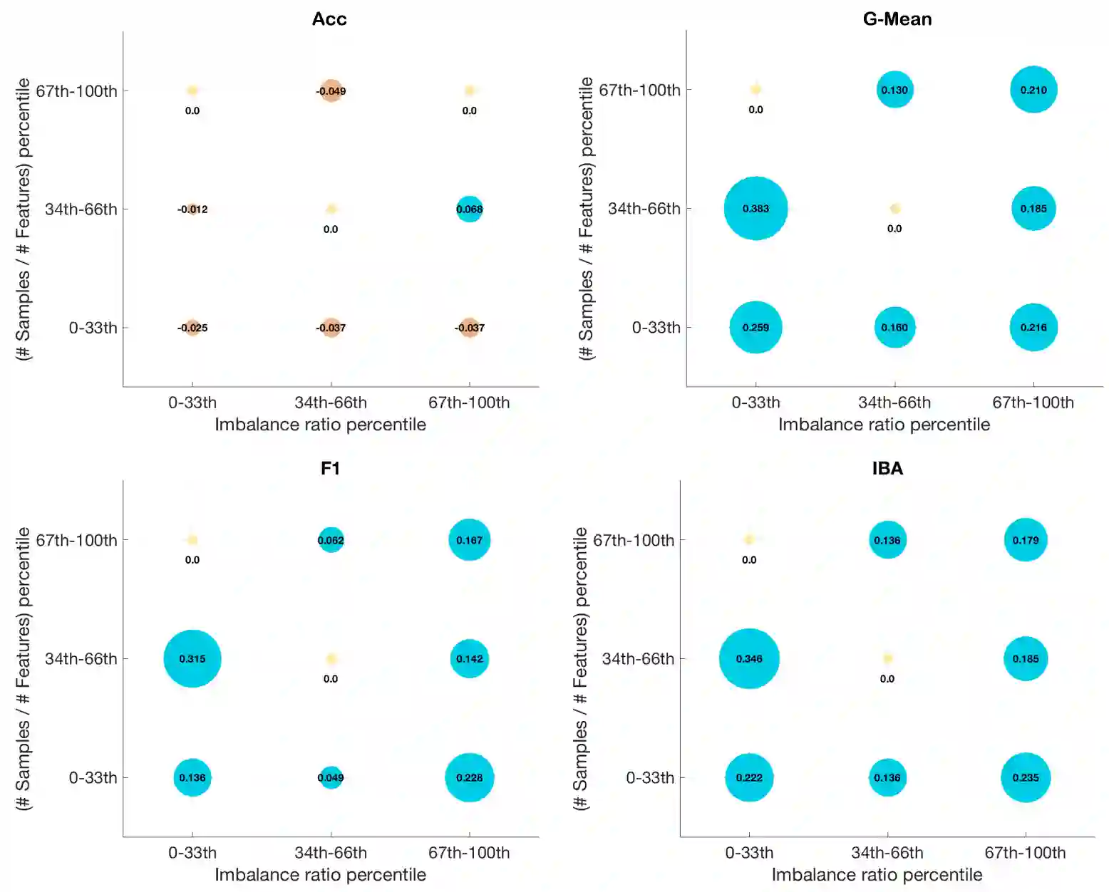
In predictive tasks, real-world datasets often present different degrees of imbalanced (i.e., long-tailed or skewed) distributions. While the majority (the head) classes have sufficient samples, the minority (the tail) classes can be under-represented by a rather limited number of samples. Data pre-processing has been shown to be very effective in dealing with such problems. On one hand, data re-sampling is a common approach to tackling class imbalance. On the other hand, dimension reduction, which reduces the feature space, is a conventional technique for reducing noise and inconsistencies in a dataset. However, the possible synergy between feature selection and data re-sampling for high-performance imbalance classification has rarely been investigated before. To address this issue, we carry out a comprehensive empirical study on the joint influence of feature selection and re-sampling on two-class imbalance classification. Specifically, we study the performance of two opposite pipelines for imbalance classification by applying feature selection before or after data re-sampling. We conduct a large number of experiments, with a total of 9225 tests, on 52 publicly available datasets, using 9 feature selection methods, 6 re-sampling approaches for class imbalance learning, and 3 well-known classification algorithms. Experimental results show that there is no constant winner between the two pipelines; thus both of them should be considered to derive the best performing model for imbalance classification. We find that the performance of an imbalance classification model not only depends on the classifier adopted and the ratio between the number of majority and minority samples, but also depends on the ratio between the number of samples and features. Overall, this study should provide new reference value for researchers and practitioners in imbalance learning.


翻译:在预测性任务中,真实世界数据集往往呈现出不同程度的不平衡分布(即长尾或偏斜)分布。虽然多数(头)类具有足够的样本,但少数(尾)类可能代表不足,因为抽样数量有限。数据预处理显示在处理这类问题方面非常有效。一方面,数据再抽样是解决阶级不平衡的一种常见办法。另一方面,减少比例减少,减少了特征空间,是减少数据集噪音和不一致的常规技术。然而,虽然大多数(头)类的特征选择和重新采样用于高绩效不平衡分类的数据样本之间可能存在的协同效应,但以前很少调查过少数(尾)类(尾)类别。为了解决这一问题,我们开展了一项关于特征选择和再采样对二类不平衡分类的共同影响的全面实证研究。具体地说,我们通过在数据重新采样之前或之后采用特征选择模式来研究不平衡分类的两条渠道的绩效。我们进行了大量实验,总共进行了9225次的测试,在52个公开的深度选择中,用9种模型选择方法来进行绩效分类。因此,我们应先行两种方法来进行。我们研究,然后再研究,然后再研究。我们再研究两种方法来再研究,然后再研究。我们应该研究两种方法来再研究如何再研究不平衡分类。我们研究两种方法,然后再研究。我们研究如何再研究。我们研究如何再研究两种方法,然后研究如何再研究如何再研究。

0
下载
关闭预览

相关内容

特征选择( Feature Selection )也称特征子集选择( Feature Subset Selection , FSS ),或属性选择( Attribute Selection )。是指从已有的M个特征(Feature)中选择N个特征使得系统的特定指标最优化,是从原始特征中选择出一些最有效特征以降低数据集维度的过程,是提高学习算法性能的一个重要手段,也是模式识别中关键的数据预处理步骤。对于一个学习算法来说,好的学习样本是训练模型的关键。
最新《联邦学习Federated Learning》报告,Federated Learning
专知会员服务
92+阅读 · 2020年12月2日
零样本文本分类,Zero-Shot Learning for Text Classification
专知会员服务
97+阅读 · 2020年5月31日
100+篇《自监督学习(Self-Supervised Learning)》论文最新合集
专知会员服务
167+阅读 · 2020年3月18日
Stabilizing Transformers for Reinforcement Learning
专知会员服务
60+阅读 · 2019年10月17日
Hierarchically Structured Meta-learning
CreateAMind
27+阅读 · 2019年5月22日
强化学习的Unsupervised Meta-Learning
CreateAMind
18+阅读 · 2019年1月7日
Unsupervised Learning via Meta-Learning
CreateAMind
44+阅读 · 2019年1月3日
计算机视觉的不同任务
专知
5+阅读 · 2018年8月27日
Hierarchical Imitation - Reinforcement Learning
CreateAMind
19+阅读 · 2018年5月25日
Hierarchical Disentangled Representations
CreateAMind
4+阅读 · 2018年4月15日
条件GAN重大改进!cGANs with Projection Discriminator
CreateAMind
8+阅读 · 2018年2月7日
已删除
将门创投
3+阅读 · 2017年11月3日
【学习】Hierarchical Softmax
机器学习研究会
4+阅读 · 2017年8月6日
On Feature Normalization and Data Augmentation
Arxiv
15+阅读 · 2020年2月25日
Efficient and Effective $L_0$ Feature Selection
Arxiv
5+阅读 · 2018年8月7日
Arxiv
3+阅读 · 2016年2月24日
VIP会员
最新内容
大语言模型平台在国防情报应用中的对比
专知会员服务
3+阅读 · 今天3:12
美海军“超配项目”
专知会员服务
2+阅读 · 今天2:13
《美陆军条例:陆军指挥政策(2026版)》
专知会员服务
10+阅读 · 4月21日
《军用自主人工智能系统的治理与安全》
专知会员服务
7+阅读 · 4月21日
《系统簇式多域作战规划范畴论框架》
专知会员服务
10+阅读 · 4月20日
相关资讯
Hierarchically Structured Meta-learning
CreateAMind
27+阅读 · 2019年5月22日
强化学习的Unsupervised Meta-Learning
CreateAMind
18+阅读 · 2019年1月7日
Unsupervised Learning via Meta-Learning
CreateAMind
44+阅读 · 2019年1月3日
计算机视觉的不同任务
专知
5+阅读 · 2018年8月27日
Hierarchical Imitation - Reinforcement Learning
CreateAMind
19+阅读 · 2018年5月25日
Hierarchical Disentangled Representations
CreateAMind
4+阅读 · 2018年4月15日
条件GAN重大改进!cGANs with Projection Discriminator
CreateAMind
8+阅读 · 2018年2月7日
已删除
将门创投
3+阅读 · 2017年11月3日
【学习】Hierarchical Softmax
机器学习研究会
4+阅读 · 2017年8月6日
Top
微信扫码咨询专知VIP会员