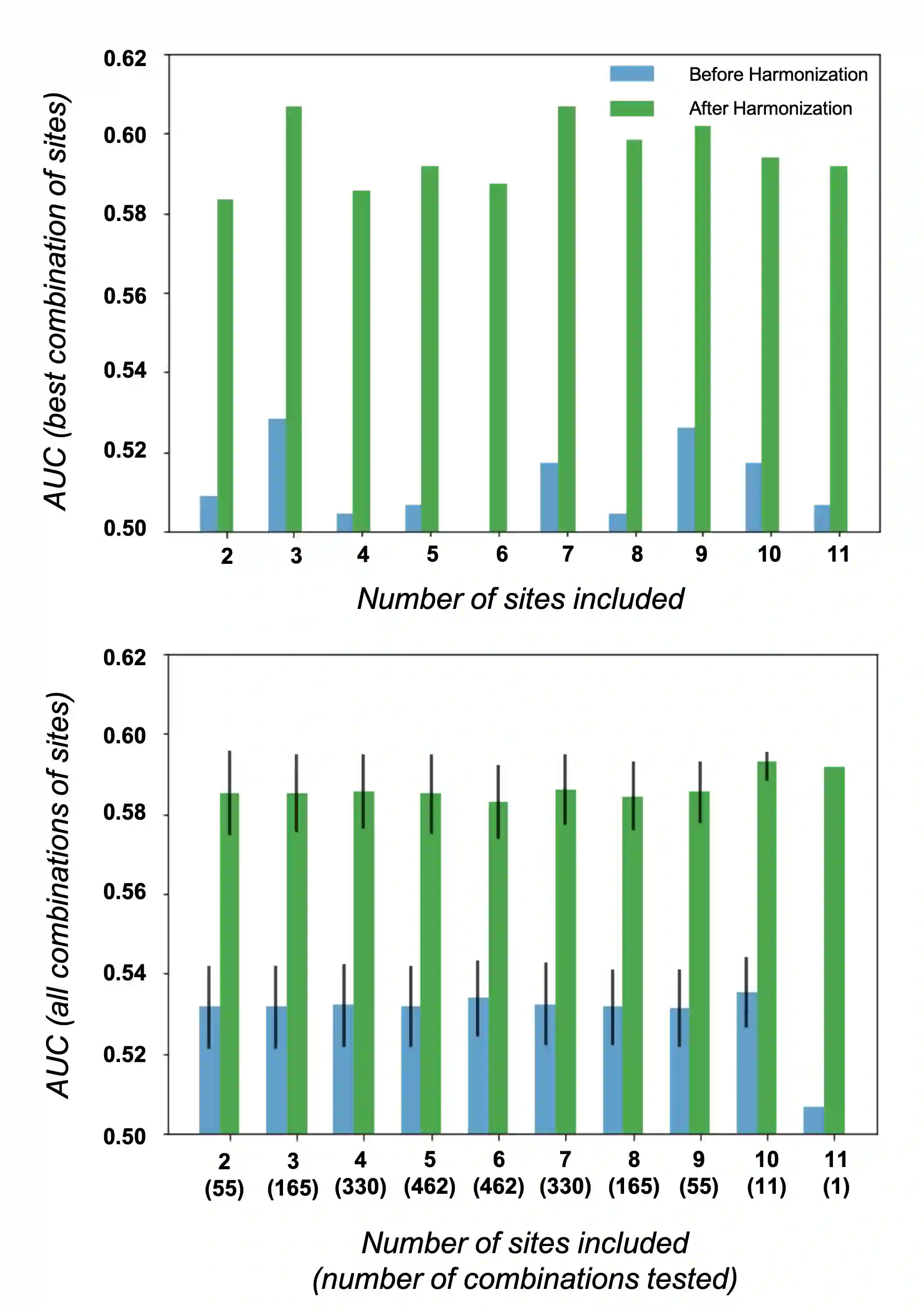
ImUnity is an original deep-learning model designed for efficient and flexible MR image harmonization. A VAE-GAN network, coupled with a confusion module and an optional biological preservation module, uses multiple 2D-slices taken from different anatomical locations in each subject of the training database, as well as image contrast transformations for its self-supervised training. It eventually generates 'corrected' MR images that can be used for various multi-center population studies. Using 3 open source databases (ABIDE, OASIS and SRPBS), which contain MR images from multiple acquisition scanner types or vendors and a large range of subjects ages, we show that ImUnity: (1) outperforms state-of-the-art methods in terms of quality of images generated using traveling subjects; (2) removes sites or scanner biases while improving patients classification; (3) harmonizes data coming from new sites or scanners without the need for an additional fine-tuning and (4) allows the selection of multiple MR reconstructed images according to the desired applications. Tested here on T1-weighted images, ImUnity could be used to harmonize other types of medical images.


翻译:团结是一种原始的深层学习模式,旨在高效和灵活地统一MR图像。VAE-GAN网络,加上一个混乱模块和一个选择性的生物保存模块,在培训数据库的每个科目中使用了从不同解剖地点取来的多维截片,以及用于自我监督培训的图像对比转换。它最终生成了“纠正的”MR图像,可用于多种多中人口研究。它使用3个开放源数据库(ABIDE、ASASIS和SRPBS),其中含有来自多个采购扫描机类型或供应商的MR图像,以及大量不同年龄的科目。 我们显示,不统一:(1) 在利用旅行主题制作的图像质量方面,不完善了最先进的方法;(2) 在改进病人分类的同时,删除了网站或扫描偏差;(3) 统一了来自新网站或扫描仪的数据,而不需要额外的微调,(4) 允许根据预期的应用选择多种MR重建的图像。在这里测试了T1加权图像,可以使用Imunity来协调其他类型的医疗图像。

0
下载
关闭预览

相关内容

磁流变(Magnetorheological,简称MR)材料是一种流变性能可由磁场控制的新型智能材料。由于其响应快(ms量级)、可逆性好(撤去磁场后,又恢复初始状态)、以及通过调节磁场大小来控制材料的力学性能连续变化,因而近年来在汽车、建筑、振动控制等领域得到广泛应用。
最新【深度生成模型】Deep Generative Models,104页ppt
专知会员服务
71+阅读 · 2020年10月24日
【论文推荐】小样本视频合成,Few-shot Video-to-Video Synthesis
专知会员服务
24+阅读 · 2019年12月15日
最新BERT相关论文清单,BERT-related Papers
专知会员服务
53+阅读 · 2019年9月29日
逆强化学习-学习人先验的动机
CreateAMind
16+阅读 · 2019年1月18日
强化学习的Unsupervised Meta-Learning
CreateAMind
18+阅读 · 2019年1月7日
disentangled-representation-papers
CreateAMind
26+阅读 · 2018年9月12日
Hierarchical Disentangled Representations
CreateAMind
4+阅读 · 2018年4月15日
条件GAN重大改进!cGANs with Projection Discriminator
CreateAMind
8+阅读 · 2018年2月7日
gan生成图像at 1024² 的 代码 论文
CreateAMind
4+阅读 · 2017年10月31日
Auto-Encoding GAN
CreateAMind
7+阅读 · 2017年8月4日
Arxiv
1+阅读 · 2021年11月4日
Arxiv
7+阅读 · 2018年1月21日
VIP会员
最新内容
大语言模型平台在国防情报应用中的对比
专知会员服务
2+阅读 · 今天3:12
美海军“超配项目”
专知会员服务
1+阅读 · 今天2:13
《美陆军条例:陆军指挥政策(2026版)》
专知会员服务
10+阅读 · 4月21日
《军用自主人工智能系统的治理与安全》
专知会员服务
7+阅读 · 4月21日
《系统簇式多域作战规划范畴论框架》
专知会员服务
10+阅读 · 4月20日
Top
微信扫码咨询专知VIP会员