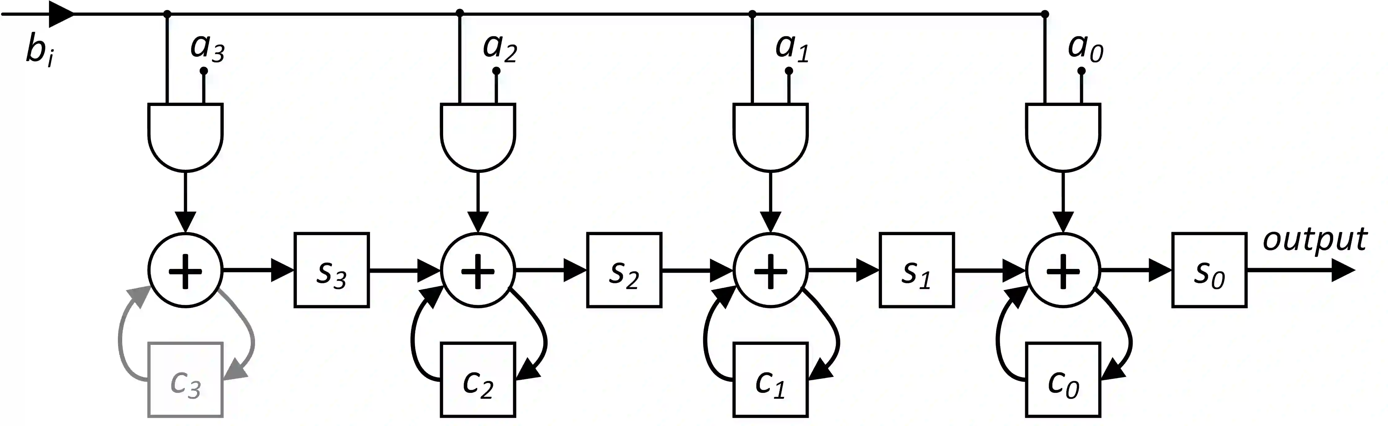
Processing-in-memory (PIM) seeks to eliminate computation/memory data transfer using devices that support both storage and logic. Stateful logic techniques such as IMPLY, MAGIC and FELIX can perform logic gates within memristive crossbar arrays with massive parallelism. Multiplication via stateful logic is an active field of research due to the wide implications. Recently, RIME has become the state-of-the-art algorithm for stateful single-row multiplication by using memristive partitions, reducing the latency of the previous state-of-the-art by 5.1x. In this paper, we begin by proposing novel partition-based computation techniques for broadcasting and shifting data. Then, we design an in-memory multiplication algorithm based on the carry-save add-shift (CSAS) technique. Finally, we detail specific logic optimizations to the algorithm that further reduce latency. These contributions constitute MultPIM, a multiplier that reduces state-of-the-art time complexity from quadratic to linear-log. For 32-bit numbers, MultPIM improves latency by an additional 3.8x over RIME, while even slightly reducing area overhead. Furthermore, we optimize MultPIM for full-precision matrix-vector multiplication and demonstrate 22.0x latency improvement over FloatPIM matrix-vector multiplication.


翻译:用于支持存储和逻辑的装置的计算/ 模拟数据传输( PIM ) 。 IMPLY、 MAGIC 和 FELIX 等状态逻辑技术可以在弥漫的跨条形阵列内使用极大的平行阵列中执行逻辑门。 由于影响广泛, 以显性逻辑进行乘法是一个积极的研究领域。 最近, RIME 已经成为了使用中间分隔线使状态单行倍增的最先进的算法, 减少了5. 1%x 之前的状态的静态。 在本文中, 我们首先提出新的基于偏移的计算技术, 用于广播和移动数据。 然后, 我们设计了一个基于随附变换( CSAS) 技术的内模数倍倍倍倍倍倍倍倍增算法。 最后, 我们详细介绍了进一步减少延缩缩的算法的具体逻辑优化。 这些贡献构成MultPIM, 一种将州际矩阵复杂性从四度降为线性。 对于32位数数字来说, MultPIM 将最小化的多式矩阵改进, 以微缩缩缩缩缩缩缩图区域 。

0
下载
关闭预览

相关内容

最新《Transformers模型》教程,64页ppt
专知会员服务
326+阅读 · 2020年11月26日
Linux导论,Introduction to Linux,96页ppt
专知会员服务
82+阅读 · 2020年7月26日
Stabilizing Transformers for Reinforcement Learning
专知会员服务
60+阅读 · 2019年10月17日
Keras François Chollet 《Deep Learning with Python 》, 386页pdf
专知会员服务
164+阅读 · 2019年10月12日
Call for Participation: Shared Tasks in NLPCC 2019
中国计算机学会
5+阅读 · 2019年3月22日
Unsupervised Learning via Meta-Learning
CreateAMind
44+阅读 · 2019年1月3日
Ray RLlib: Scalable 降龙十八掌
CreateAMind
9+阅读 · 2018年12月28日
A Technical Overview of AI & ML in 2018 & Trends for 2019
待字闺中
18+阅读 · 2018年12月24日
已删除
将门创投
4+阅读 · 2017年12月12日
【推荐】(Keras)LSTM多元时序预测教程
机器学习研究会
25+阅读 · 2017年8月14日
Arxiv
0+阅读 · 2021年10月18日
Arxiv
0+阅读 · 2021年10月15日
Arxiv
0+阅读 · 2021年10月15日
Arxiv
9+阅读 · 2021年6月21日
Arxiv
4+阅读 · 2017年1月2日
VIP会员
最新内容
人工智能即服务与未来战争(印度视角)
专知会员服务
0+阅读 · 今天7:57
《美国战争部2027财年军事人员预算》
专知会员服务
0+阅读 · 今天7:44
伊朗战争中的电子战
专知会员服务
3+阅读 · 今天7:04
大语言模型平台在国防情报应用中的对比
专知会员服务
5+阅读 · 今天3:12
美海军“超配项目”
专知会员服务
6+阅读 · 今天2:13
《美陆军条例:陆军指挥政策(2026版)》
专知会员服务
10+阅读 · 4月21日
《军用自主人工智能系统的治理与安全》
专知会员服务
7+阅读 · 4月21日
相关资讯
Call for Participation: Shared Tasks in NLPCC 2019
中国计算机学会
5+阅读 · 2019年3月22日
Unsupervised Learning via Meta-Learning
CreateAMind
44+阅读 · 2019年1月3日
Ray RLlib: Scalable 降龙十八掌
CreateAMind
9+阅读 · 2018年12月28日
A Technical Overview of AI & ML in 2018 & Trends for 2019
待字闺中
18+阅读 · 2018年12月24日
已删除
将门创投
4+阅读 · 2017年12月12日
【推荐】(Keras)LSTM多元时序预测教程
机器学习研究会
25+阅读 · 2017年8月14日
Top
微信扫码咨询专知VIP会员