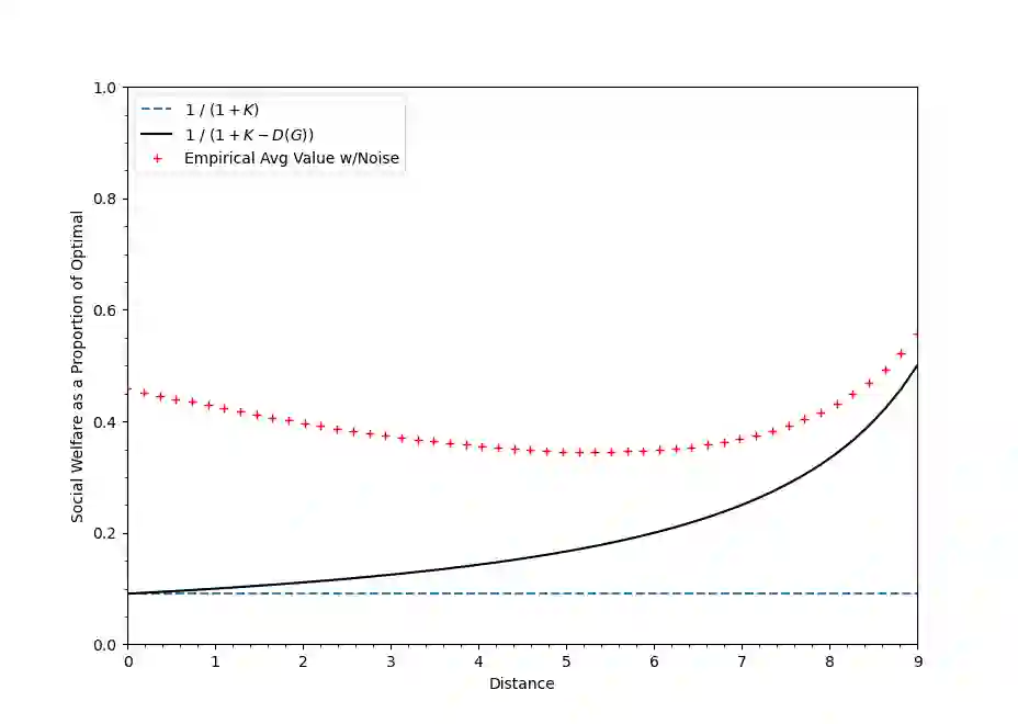
This paper considers coverage games in which a group of agents are tasked with identifying the highest-value subset of resources; in this context, game-theoretic approaches are known to yield Nash equilibria within a factor of 2 of optimal. We consider the case that some of the agents suffer a communication failure and cannot observe the actions of other agents; in this case, recent work has shown that if there are k>0 compromised agents, Nash equilibria are only guaranteed to be within a factor of k+1 of optimal. However, the present paper shows that this worst-case guarantee is fragile; in a sense which we make precise, we show that if a problem instance has a very poor worst-case guarantee, then it is necessarily very "close" to a problem instance with an optimal Nash equilibrium. Conversely, an instance that is far from one with an optimal Nash equilibrium necessarily has relatively good worst-case performance guarantees. To contextualize this fragility, we perform simulations using the log-linear learning algorithm and show that average performance on worst-case instances is considerably better even than our improved analytical guarantees. This suggests that the fragility of the price of anarchy can be exploited algorithmically to compensate for online communication failures.


翻译:本文审议了一组代理商负责确定最高价值资源子集的覆盖游戏; 在这方面,已知游戏理论方法在最佳的2个因素内产生纳什平衡。 我们考虑了一些代理商通信失败,无法观察其他代理商的行动的情况; 在本案中,最近的工作表明,如果存在 k>0 受损害的代理商,Nash equilibria 只能保证在K+1 最佳因素内。 然而,本文表明,这种最坏情况的保证是脆弱的; 从我们准确的意义上说,我们表明,如果一个问题案例有非常差的最坏的保证,那么它必然“接近”于一个具有最佳纳什平衡的问题案例。相反,一个与拥有最佳纳什平衡的代理商相比,其最坏的履约保证必然是相对良好的。要结合这种脆弱性,我们使用日志-线学习算法进行模拟,并表明最坏案例的平均表现比我们改进的分析保证要好得多。 这意味着,无政府品价格的脆弱性可以被利用,用来弥补在线通信失败。

0
下载
关闭预览

相关内容

专知会员服务
26+阅读 · 2021年4月2日
专知会员服务
124+阅读 · 2020年9月8日
Linux导论,Introduction to Linux,96页ppt
专知会员服务
82+阅读 · 2020年7月26日
Stabilizing Transformers for Reinforcement Learning
专知会员服务
60+阅读 · 2019年10月17日
MIT新书《强化学习与最优控制》
专知会员服务
282+阅读 · 2019年10月9日
Hierarchically Structured Meta-learning
CreateAMind
27+阅读 · 2019年5月22日
Transferring Knowledge across Learning Processes
CreateAMind
29+阅读 · 2019年5月18日
19篇ICML2019论文摘录选读!
专知
28+阅读 · 2019年4月28日
meta learning 17年:MAML SNAIL
CreateAMind
11+阅读 · 2019年1月2日
A Technical Overview of AI & ML in 2018 & Trends for 2019
待字闺中
18+阅读 · 2018年12月24日
Hierarchical Imitation - Reinforcement Learning
CreateAMind
19+阅读 · 2018年5月25日
Hierarchical Disentangled Representations
CreateAMind
4+阅读 · 2018年4月15日
分布式TensorFlow入门指南
机器学习研究会
4+阅读 · 2017年11月28日
【学习】Hierarchical Softmax
机器学习研究会
4+阅读 · 2017年8月6日
强化学习 cartpole_a3c
CreateAMind
9+阅读 · 2017年7月21日
Arxiv
7+阅读 · 2021年5月25日
Arxiv
0+阅读 · 2021年5月19日
Logically-Constrained Reinforcement Learning
Arxiv
3+阅读 · 2018年12月6日
Arxiv
3+阅读 · 2017年12月14日
VIP会员
最新内容
超越网格:作战环境对炮兵的影响
专知会员服务
1+阅读 · 今天15:35
KDD 2026 | MixRAGRec:面向LLM推荐的混合专家KG-RAG框架
BES:让语言模型通过双向进化搜索自我改进
专知会员服务
4+阅读 · 5月30日
以色列-美国-伊朗战争中的无人机:关键要点
专知会员服务
4+阅读 · 5月30日
《Palantir任务保障性软件安全标准(MA-S2)》
专知会员服务
14+阅读 · 5月30日
基于声学的无人机检测技术综述
专知会员服务
8+阅读 · 5月30日
《当代混合战争分析框架:俄乌战争经验教训》
相关VIP内容
专知会员服务
26+阅读 · 2021年4月2日
专知会员服务
124+阅读 · 2020年9月8日
Linux导论,Introduction to Linux,96页ppt
专知会员服务
82+阅读 · 2020年7月26日
Stabilizing Transformers for Reinforcement Learning
专知会员服务
60+阅读 · 2019年10月17日
MIT新书《强化学习与最优控制》
专知会员服务
282+阅读 · 2019年10月9日
相关资讯
Hierarchically Structured Meta-learning
CreateAMind
27+阅读 · 2019年5月22日
Transferring Knowledge across Learning Processes
CreateAMind
29+阅读 · 2019年5月18日
19篇ICML2019论文摘录选读!
专知
28+阅读 · 2019年4月28日
meta learning 17年:MAML SNAIL
CreateAMind
11+阅读 · 2019年1月2日
A Technical Overview of AI & ML in 2018 & Trends for 2019
待字闺中
18+阅读 · 2018年12月24日
Hierarchical Imitation - Reinforcement Learning
CreateAMind
19+阅读 · 2018年5月25日
Hierarchical Disentangled Representations
CreateAMind
4+阅读 · 2018年4月15日
分布式TensorFlow入门指南
机器学习研究会
4+阅读 · 2017年11月28日
【学习】Hierarchical Softmax
机器学习研究会
4+阅读 · 2017年8月6日
强化学习 cartpole_a3c
CreateAMind
9+阅读 · 2017年7月21日
Top
微信扫码咨询专知VIP会员