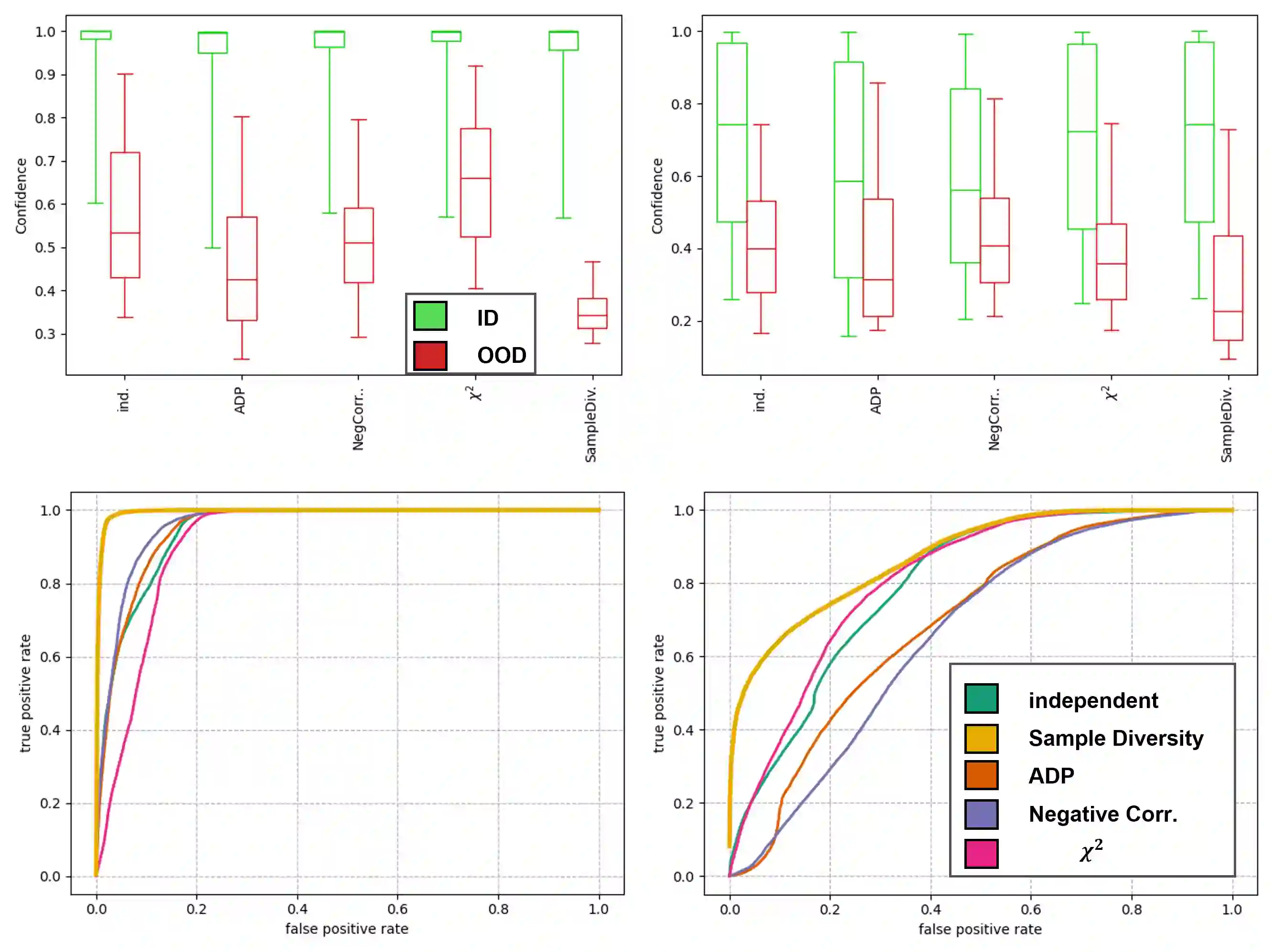
Calibration and uncertainty estimation are crucial topics in high-risk environments. We introduce a new diversity regularizer for classification tasks that uses out-of-distribution samples and increases the overall accuracy, calibration and out-of-distribution detection capabilities of ensembles. Following the recent interest in the diversity of ensembles, we systematically evaluate the viability of explicitly regularizing ensemble diversity to improve calibration on in-distribution data as well as under dataset shift. We demonstrate that diversity regularization is highly beneficial in architectures, where weights are partially shared between the individual members and even allows to use fewer ensemble members to reach the same level of robustness. Experiments on CIFAR-10, CIFAR-100, and SVHN show that regularizing diversity can have a significant impact on calibration and robustness, as well as out-of-distribution detection.


翻译:在高风险环境中,校准和不确定性估算是关键议题。我们为分类任务引入了新的多样性常规化机制,使用分配以外的样本,提高编组的总体精确度、校准度和分配以外的检测能力。由于最近对组合多样性的兴趣,我们系统地评估明确规范组合多样性的可行性,以改进分配数据的校准以及数据集转换。我们表明,在结构中,多样性规范化非常有益,因为各个成员部分地分担了加权,甚至允许使用较少的合用成员达到同样的稳健程度。关于CIFAR-10、CIFAR-100和SVHN的实验表明,标准化多样性可能对校准和稳健以及分配之外的检测产生重大影响。

0
下载
关闭预览

相关内容

Linux导论,Introduction to Linux,96页ppt
专知会员服务
82+阅读 · 2020年7月26日
《DeepGCNs: Making GCNs Go as Deep as CNNs》
专知会员服务
32+阅读 · 2019年10月17日
【哈佛大学商学院课程Fall 2019】机器学习可解释性
专知会员服务
105+阅读 · 2019年10月9日
ACM MM 2022 Call for Papers
CCF多媒体专委会
5+阅读 · 2022年3月29日
IEEE TII Call For Papers
CCF多媒体专委会
3+阅读 · 2022年3月24日
ACM TOMM Call for Papers
CCF多媒体专委会
2+阅读 · 2022年3月23日
AIART 2022 Call for Papers
CCF多媒体专委会
1+阅读 · 2022年2月13日
灾难性遗忘问题新视角:迁移-干扰平衡
CreateAMind
17+阅读 · 2019年7月6日
Hierarchically Structured Meta-learning
CreateAMind
27+阅读 · 2019年5月22日
19篇ICML2019论文摘录选读!
专知
28+阅读 · 2019年4月28日
Unsupervised Learning via Meta-Learning
CreateAMind
44+阅读 · 2019年1月3日
A Technical Overview of AI & ML in 2018 & Trends for 2019
待字闺中
18+阅读 · 2018年12月24日
【推荐】RNN/LSTM时序预测
机器学习研究会
25+阅读 · 2017年9月8日
国家自然科学基金
1+阅读 · 2015年12月31日
国家自然科学基金
2+阅读 · 2014年12月31日
国家自然科学基金
0+阅读 · 2012年12月31日
国家自然科学基金
0+阅读 · 2011年12月31日
国家自然科学基金
0+阅读 · 2011年12月31日
国家自然科学基金
0+阅读 · 2011年12月31日
国家自然科学基金
0+阅读 · 2011年12月31日
国家自然科学基金
0+阅读 · 2009年12月31日
Arxiv
1+阅读 · 2022年4月18日
Prefix-Free Coding for LQG Control
Arxiv
0+阅读 · 2022年4月15日
Arxiv
13+阅读 · 2019年2月28日
VIP会员
最新内容
《无人机革命:来自俄乌战场的启示》(报告)
专知会员服务
2+阅读 · 49分钟前
《实现联合作战能力所需的技术》58页报告
专知会员服务
1+阅读 · 今天6:30
以色列运用人工智能优化空袭警报系统
专知会员服务
0+阅读 · 今天6:20
以色列在多条战线部署AI智能体
专知会员服务
1+阅读 · 今天6:12
2025年大语言模型进展报告
专知会员服务
13+阅读 · 4月25日
多智能体协作机制
专知会员服务
12+阅读 · 4月25日
非对称优势:美海军开发低成本反无人机技术
专知会员服务
9+阅读 · 4月25日
《美战争部小企业创新研究(SBIR)计划》
专知会员服务
8+阅读 · 4月25日
《军事模拟:将军事条令与目标融入AI智能体》
专知会员服务
12+阅读 · 4月25日
【NTU博士论文】3D人体动作生成
专知会员服务
9+阅读 · 4月24日
相关资讯
ACM MM 2022 Call for Papers
CCF多媒体专委会
5+阅读 · 2022年3月29日
IEEE TII Call For Papers
CCF多媒体专委会
3+阅读 · 2022年3月24日
ACM TOMM Call for Papers
CCF多媒体专委会
2+阅读 · 2022年3月23日
AIART 2022 Call for Papers
CCF多媒体专委会
1+阅读 · 2022年2月13日
灾难性遗忘问题新视角:迁移-干扰平衡
CreateAMind
17+阅读 · 2019年7月6日
Hierarchically Structured Meta-learning
CreateAMind
27+阅读 · 2019年5月22日
19篇ICML2019论文摘录选读!
专知
28+阅读 · 2019年4月28日
Unsupervised Learning via Meta-Learning
CreateAMind
44+阅读 · 2019年1月3日
A Technical Overview of AI & ML in 2018 & Trends for 2019
待字闺中
18+阅读 · 2018年12月24日
【推荐】RNN/LSTM时序预测
机器学习研究会
25+阅读 · 2017年9月8日
相关基金
国家自然科学基金
1+阅读 · 2015年12月31日
国家自然科学基金
2+阅读 · 2014年12月31日
国家自然科学基金
0+阅读 · 2012年12月31日
国家自然科学基金
0+阅读 · 2011年12月31日
国家自然科学基金
0+阅读 · 2011年12月31日
国家自然科学基金
0+阅读 · 2011年12月31日
国家自然科学基金
0+阅读 · 2011年12月31日
国家自然科学基金
0+阅读 · 2009年12月31日
Top
微信扫码咨询专知VIP会员