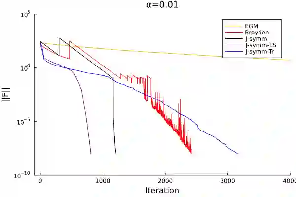
Minimax problems have gained tremendous attentions across the optimization and machine learning community recently. In this paper, we introduce a new quasi-Newton method for minimax problems, which we call $J$-symmetric quasi-Newton method. The method is obtained by exploiting the $J$-symmetric structure of the second-order derivative of the objective function in minimax problem. We show that the Hessian estimation (as well as its inverse) can be updated by a rank-2 operation, and it turns out that the update rule is a natural generalization of the classic Powell symmetric Broyden (PSB) method from minimization problems to minimax problems. In theory, we show that our proposed quasi-Newton algorithm enjoys local Q-superlinear convergence to a desirable solution under standard regularity conditions. Furthermore, we introduce a trust-region variant of the algorithm that enjoys global R-superlinear convergence. Finally, we present numerical experiments that verify our theory and show the effectiveness of our proposed algorithms compared to Broyden's method and the extragradient method on three classes of minimax problems.


翻译:最近,小型问题在优化和机器学习界引起了极大关注。 在本文中,我们为小型问题引入了一种新的准纽顿方法,我们称之为美元对称准纽顿方法。该方法的获得途径是利用小麦问题中目标函数二阶衍生物第二阶衍生物的美元对称结构。我们显示,赫森估计(及其反向)可以通过一级-2行动更新,结果显示,更新规则是典型的鲍威尔对称布洛伊登(PSB)方法从最小化问题到小型麦克斯问题的一种自然概括化。理论上,我们表明,我们提议的准纽顿算法在标准常规条件下具有本地Q超线趋同性,到理想的解决方案。此外,我们引入了一个全球R-超线趋同的可信任区域算法变量。最后,我们提出了数字实验,以核实我们的理论,并展示了我们提议的算法与布洛伊登方法相比的有效性以及三个微轴问题等级的超前方法。

0
下载
关闭预览

相关内容

拟牛顿法(Quasi-Newton Methods)是求解非线性优化问题最有效的方法之一,于20世纪50年代由美国Argonne国家实验室的物理学家W. C. Davidon所提出来。Davidon设计的这种算法在当时看来是非线性优化领域最具创造性的发明之一。不久R. Fletcher和M. J. D. Powell证实了这种新的算法远比其他方法快速和可靠,使得非线性优化这门学科在一夜之间突飞猛进。
专知会员服务
52+阅读 · 2020年12月14日
Linux导论,Introduction to Linux,96页ppt
专知会员服务
82+阅读 · 2020年7月26日
强化学习最新教程,17页pdf
专知会员服务
182+阅读 · 2019年10月11日
IEEE TII Call For Papers
CCF多媒体专委会
3+阅读 · 2022年3月24日
ACM TOMM Call for Papers
CCF多媒体专委会
2+阅读 · 2022年3月23日
AIART 2022 Call for Papers
CCF多媒体专委会
1+阅读 · 2022年2月13日
【ICIG2021】Check out the hot new trailer of ICIG2021 Symposium9
中国图象图形学学会CSIG
0+阅读 · 2021年12月17日
【ICIG2021】Check out the hot new trailer of ICIG2021 Symposium5
中国图象图形学学会CSIG
1+阅读 · 2021年11月11日
Hierarchically Structured Meta-learning
CreateAMind
27+阅读 · 2019年5月22日
Unsupervised Learning via Meta-Learning
CreateAMind
44+阅读 · 2019年1月3日
A Technical Overview of AI & ML in 2018 & Trends for 2019
待字闺中
18+阅读 · 2018年12月24日
【SIGIR2018】五篇对抗训练文章
专知
12+阅读 · 2018年7月9日
强化学习族谱
CreateAMind
26+阅读 · 2017年8月2日
国家自然科学基金
4+阅读 · 2015年12月31日
国家自然科学基金
0+阅读 · 2014年12月31日
国家自然科学基金
0+阅读 · 2014年12月31日
国家自然科学基金
0+阅读 · 2012年12月31日
国家自然科学基金
1+阅读 · 2012年12月31日
国家自然科学基金
0+阅读 · 2012年12月31日
国家自然科学基金
0+阅读 · 2011年12月31日
国家自然科学基金
0+阅读 · 2011年12月31日
国家自然科学基金
0+阅读 · 2009年12月31日
国家自然科学基金
0+阅读 · 2008年12月31日
VIP会员
最新内容
得失评估:审视对伊朗战争的轨迹(简报)
专知会员服务
0+阅读 · 12分钟前
【CMU博士论文】迈向可解释机器学习的理论基础
专知会员服务
0+阅读 · 今天12:23
基于数据优化的人机协同与机器人僚机
专知会员服务
4+阅读 · 今天2:08
美陆军设想无人系统司令部
专知会员服务
3+阅读 · 4月15日
相关资讯
IEEE TII Call For Papers
CCF多媒体专委会
3+阅读 · 2022年3月24日
ACM TOMM Call for Papers
CCF多媒体专委会
2+阅读 · 2022年3月23日
AIART 2022 Call for Papers
CCF多媒体专委会
1+阅读 · 2022年2月13日
【ICIG2021】Check out the hot new trailer of ICIG2021 Symposium9
中国图象图形学学会CSIG
0+阅读 · 2021年12月17日
【ICIG2021】Check out the hot new trailer of ICIG2021 Symposium5
中国图象图形学学会CSIG
1+阅读 · 2021年11月11日
Hierarchically Structured Meta-learning
CreateAMind
27+阅读 · 2019年5月22日
Unsupervised Learning via Meta-Learning
CreateAMind
44+阅读 · 2019年1月3日
A Technical Overview of AI & ML in 2018 & Trends for 2019
待字闺中
18+阅读 · 2018年12月24日
【SIGIR2018】五篇对抗训练文章
专知
12+阅读 · 2018年7月9日
强化学习族谱
CreateAMind
26+阅读 · 2017年8月2日
相关基金
国家自然科学基金
4+阅读 · 2015年12月31日
国家自然科学基金
0+阅读 · 2014年12月31日
国家自然科学基金
0+阅读 · 2014年12月31日
国家自然科学基金
0+阅读 · 2012年12月31日
国家自然科学基金
1+阅读 · 2012年12月31日
国家自然科学基金
0+阅读 · 2012年12月31日
国家自然科学基金
0+阅读 · 2011年12月31日
国家自然科学基金
0+阅读 · 2011年12月31日
国家自然科学基金
0+阅读 · 2009年12月31日
国家自然科学基金
0+阅读 · 2008年12月31日
Top
微信扫码咨询专知VIP会员