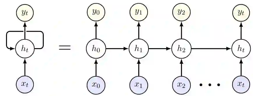
In this work we propose the use of quantile regression and dilated recurrent neural networks with temporal scaling (MQ-DRNN-s) and apply it to the inventory management task. This model showed a better performance of up to 3.2\% over a statistical benchmark (the quantile autoregressive model with exogenous variables, QAR-X), being better than the MQ-DRNN without temporal scaling by 6\%. The above on a set of 10,000 time series of sales of El Globo over a 53-week horizon using rolling windows of 7-day ahead each week.


翻译:在这项工作中,我们提议使用四分位回归和扩展具有时间尺度的重复神经网络(MQ-DRNN-s)并将其应用于库存管理任务。这一模型显示,比统计基准(带有外源变量的四分位自动递减模型QAR-X)的绩效要好,比MQ-DRNN好,而没有时间缩放为6 ⁇ 。以上是利用每周7天的滚动窗口在53周内出售El Globo的10 000个时间序列。

0
下载
关闭预览

相关内容

【Google-Marco Cuturi】最优传输,339页ppt,Optimal Transport
专知会员服务
49+阅读 · 2021年10月26日
Linux导论,Introduction to Linux,96页ppt
专知会员服务
82+阅读 · 2020年7月26日
知识图谱推理,50页ppt,Salesforce首席科学家Richard Socher
专知会员服务
111+阅读 · 2020年6月10日
ICLR 2020 高质量强化学习论文汇总
极市平台
12+阅读 · 2019年11月11日
计算机类 | PLDI 2020等国际会议信息6条
Call4Papers
3+阅读 · 2019年7月8日
A Technical Overview of AI & ML in 2018 & Trends for 2019
待字闺中
18+阅读 · 2018年12月24日
【推荐】深度学习时序处理文献列表
机器学习研究会
7+阅读 · 2017年11月29日
推荐|Andrew Ng计算机视觉教程总结
全球人工智能
3+阅读 · 2017年11月23日
【推荐】RNN/LSTM时序预测
机器学习研究会
25+阅读 · 2017年9月8日
【数据集】新的YELP数据集官方下载
机器学习研究会
16+阅读 · 2017年8月31日
强化学习族谱
CreateAMind
26+阅读 · 2017年8月2日
强化学习 cartpole_a3c
CreateAMind
9+阅读 · 2017年7月21日
Forecasting Global Weather with Graph Neural Networks
Arxiv
35+阅读 · 2021年1月27日
VIP会员
最新内容
以色列军事技术对美国军力发展的持续性赋能
专知会员服务
4+阅读 · 今天8:46
《深度强化学习在兵棋推演中的应用》40页报告
专知会员服务
7+阅读 · 今天5:37
《多域作战面临复杂现实》
专知会员服务
6+阅读 · 今天5:35
《印度的多域作战:条令与能力发展》报告
专知会员服务
2+阅读 · 今天5:24
人工智能赋能无人机:俄乌战争(万字长文)
专知会员服务
7+阅读 · 4月23日
国外海军作战管理系统与作战训练系统
专知会员服务
3+阅读 · 4月23日
相关VIP内容
【Google-Marco Cuturi】最优传输,339页ppt,Optimal Transport
专知会员服务
49+阅读 · 2021年10月26日
Linux导论,Introduction to Linux,96页ppt
专知会员服务
82+阅读 · 2020年7月26日
知识图谱推理,50页ppt,Salesforce首席科学家Richard Socher
专知会员服务
111+阅读 · 2020年6月10日
相关资讯
ICLR 2020 高质量强化学习论文汇总
极市平台
12+阅读 · 2019年11月11日
计算机类 | PLDI 2020等国际会议信息6条
Call4Papers
3+阅读 · 2019年7月8日
A Technical Overview of AI & ML in 2018 & Trends for 2019
待字闺中
18+阅读 · 2018年12月24日
【推荐】深度学习时序处理文献列表
机器学习研究会
7+阅读 · 2017年11月29日
推荐|Andrew Ng计算机视觉教程总结
全球人工智能
3+阅读 · 2017年11月23日
【推荐】RNN/LSTM时序预测
机器学习研究会
25+阅读 · 2017年9月8日
【数据集】新的YELP数据集官方下载
机器学习研究会
16+阅读 · 2017年8月31日
强化学习族谱
CreateAMind
26+阅读 · 2017年8月2日
强化学习 cartpole_a3c
CreateAMind
9+阅读 · 2017年7月21日
Top
微信扫码咨询专知VIP会员