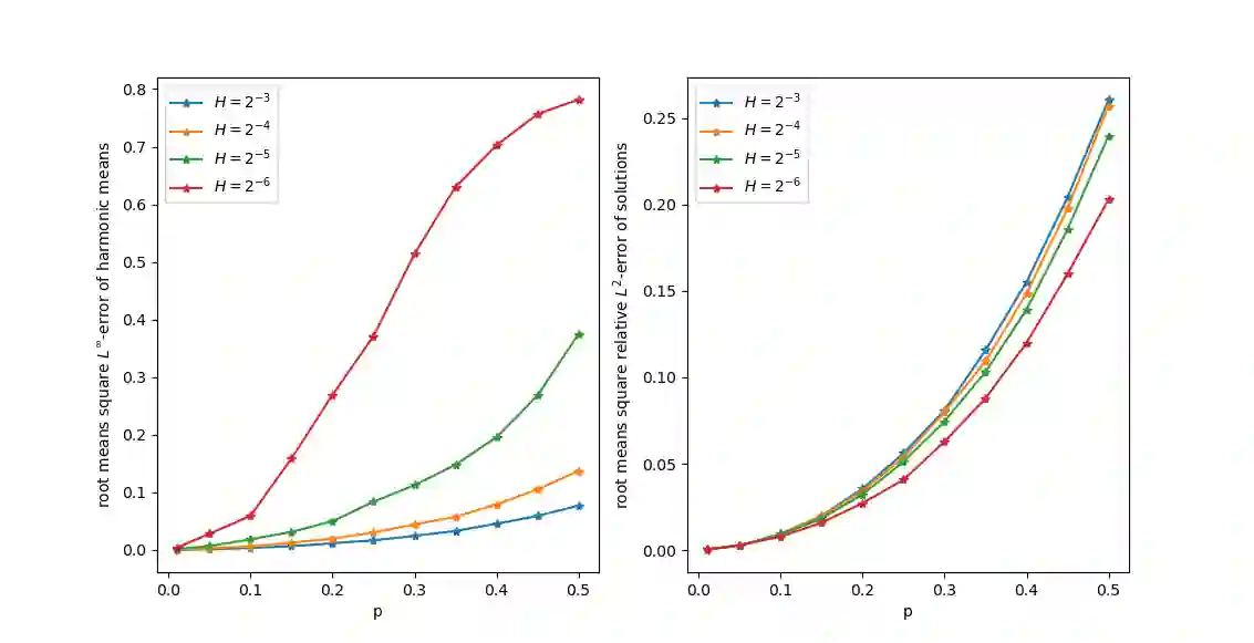
In this paper, we propose an offline-online strategy based on the Localized Orthogonal Decomposition (LOD) method for elliptic multiscale problems with randomly perturbed diffusion coefficient. We consider a periodic deterministic coefficient with local defects that occur with probability $p$. The offline phase pre-computes entries to global LOD stiffness matrices on a single reference element (exploiting the periodicity) for a selection of defect configurations. Given a sample of the perturbed diffusion the corresponding LOD stiffness matrix is then computed by taking linear combinations of the pre-computed entries, in the online phase. Our computable error estimates show that this yields a good coarse-scale approximation of the solution for small $p$. Moreover, extensive numerical experiments illustrate that relative errors of a few percent are achieved up to at least $p=0.1$. This makes the proposed technique attractive already for moderate sample sizes in a Monte Carlo simulation.


翻译:在本文中,我们提出一个离线战略,其依据是用于随机扰动扩散系数的椭圆形多尺度问题局部性分解法(LOD)方法。我们考虑一个周期性确定系数,其局部缺陷发生概率为$p美元。离线阶段预先计算了一个单一参考元素(利用周期)的全球LOD硬度矩阵条目,用于选择缺陷配置。根据受扰散扩散的样本,随后在网上阶段采用预先计算条目的线性组合来计算相应的LOD硬度矩阵。我们的计算误差估计表明,这产生一个小美元解决方案的粗略近似值。此外,广泛的数字实验表明,少数比例的相对差值达到至少$p=0.1美元。这使得拟议的技术在蒙特卡洛模拟中已经吸引中度样本大小。

0
下载
关闭预览

相关内容

iOS 8 提供的应用间和应用跟系统的功能交互特性。
  • Today (iOS and OS X): widgets for the Today view of Notification Center
  • Share (iOS and OS X): post content to web services or share content with others
  • Actions (iOS and OS X): app extensions to view or manipulate inside another app
  • Photo Editing (iOS): edit a photo or video in Apple's Photos app with extensions from a third-party apps
  • Finder Sync (OS X): remote file storage in the Finder with support for Finder content annotation
  • Storage Provider (iOS): an interface between files inside an app and other apps on a user's device
  • Custom Keyboard (iOS): system-wide alternative keyboards

Source: iOS 8 Extensions: Apple’s Plan for a Powerful App Ecosystem
专知会员服务
52+阅读 · 2020年12月14日
【ICML2020】文本摘要生成模型PEGASUS
专知会员服务
35+阅读 · 2020年8月23日
Python分布式计算,171页pdf,Distributed Computing with Python
专知会员服务
108+阅读 · 2020年5月3日
Stabilizing Transformers for Reinforcement Learning
专知会员服务
60+阅读 · 2019年10月17日
Keras François Chollet 《Deep Learning with Python 》, 386页pdf
专知会员服务
164+阅读 · 2019年10月12日
强化学习最新教程,17页pdf
专知会员服务
182+阅读 · 2019年10月11日
Hierarchically Structured Meta-learning
CreateAMind
27+阅读 · 2019年5月22日
《自然》(20190221出版)一周论文导读
科学网
6+阅读 · 2019年2月23日
逆强化学习-学习人先验的动机
CreateAMind
16+阅读 · 2019年1月18日
强化学习的Unsupervised Meta-Learning
CreateAMind
18+阅读 · 2019年1月7日
meta learning 17年:MAML SNAIL
CreateAMind
11+阅读 · 2019年1月2日
Ray RLlib: Scalable 降龙十八掌
CreateAMind
9+阅读 · 2018年12月28日
A Technical Overview of AI & ML in 2018 & Trends for 2019
待字闺中
18+阅读 · 2018年12月24日
Hierarchical Imitation - Reinforcement Learning
CreateAMind
19+阅读 · 2018年5月25日
已删除
将门创投
4+阅读 · 2017年11月1日
强化学习族谱
CreateAMind
26+阅读 · 2017年8月2日
Arxiv
0+阅读 · 2021年3月25日
Arxiv
4+阅读 · 2018年10月5日
VIP会员
最新内容
大语言模型平台在国防情报应用中的对比
专知会员服务
1+阅读 · 56分钟前
美海军“超配项目”
专知会员服务
1+阅读 · 今天2:13
《美陆军条例:陆军指挥政策(2026版)》
专知会员服务
10+阅读 · 4月21日
《军用自主人工智能系统的治理与安全》
专知会员服务
7+阅读 · 4月21日
《系统簇式多域作战规划范畴论框架》
专知会员服务
10+阅读 · 4月20日
相关VIP内容
相关资讯
Hierarchically Structured Meta-learning
CreateAMind
27+阅读 · 2019年5月22日
《自然》(20190221出版)一周论文导读
科学网
6+阅读 · 2019年2月23日
逆强化学习-学习人先验的动机
CreateAMind
16+阅读 · 2019年1月18日
强化学习的Unsupervised Meta-Learning
CreateAMind
18+阅读 · 2019年1月7日
meta learning 17年:MAML SNAIL
CreateAMind
11+阅读 · 2019年1月2日
Ray RLlib: Scalable 降龙十八掌
CreateAMind
9+阅读 · 2018年12月28日
A Technical Overview of AI & ML in 2018 & Trends for 2019
待字闺中
18+阅读 · 2018年12月24日
Hierarchical Imitation - Reinforcement Learning
CreateAMind
19+阅读 · 2018年5月25日
已删除
将门创投
4+阅读 · 2017年11月1日
强化学习族谱
CreateAMind
26+阅读 · 2017年8月2日
Top
微信扫码咨询专知VIP会员