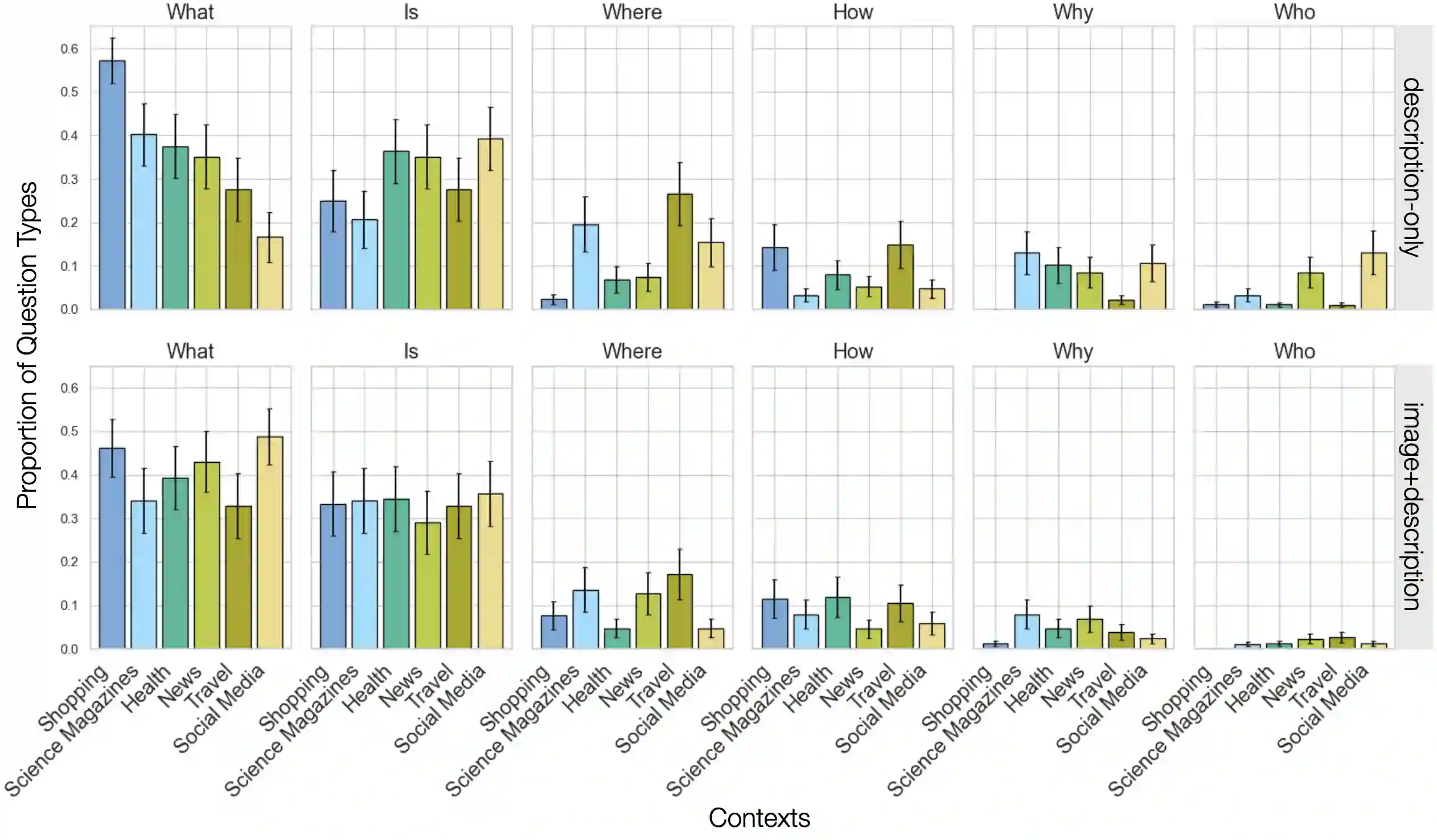
Visual question answering (VQA) has the potential to make the Internet more accessible in an interactive way, allowing people who cannot see images to ask questions about them. However, multiple studies have shown that people who are blind or have low-vision prefer image explanations that incorporate the context in which an image appears, yet current VQA datasets focus on images in isolation. We argue that VQA models will not fully succeed at meeting people's needs unless they take context into account. To further motivate and analyze the distinction between different contexts, we introduce Context-VQA, a VQA dataset that pairs images with contexts, specifically types of websites (e.g., a shopping website). We find that the types of questions vary systematically across contexts. For example, images presented in a travel context garner 2 times more "Where?" questions, and images on social media and news garner 2.8 and 1.8 times more "Who?" questions than the average. We also find that context effects are especially important when participants can't see the image. These results demonstrate that context affects the types of questions asked and that VQA models should be context-sensitive to better meet people's needs, especially in accessibility settings.


翻译:暂无翻译

0
下载
关闭预览

相关内容

视觉问答(Visual Question Answering,VQA),是一种涉及计算机视觉和自然语言处理的学习任务。这一任务的定义如下: A VQA system takes as input an image and a free-form, open-ended, natural-language question about the image and produces a natural-language answer as the output[1]。 翻译为中文:一个VQA系统以一张图片和一个关于这张图片形式自由、开放式的自然语言问题作为输入,以生成一条自然语言答案作为输出。简单来说,VQA就是给定的图片进行问答。

知识荟萃

精品入门和进阶教程、论文和代码整理等

更多

查看相关VIP内容、论文、资讯等
Linux导论,Introduction to Linux,96页ppt
专知会员服务
82+阅读 · 2020年7月26日
FlowQA: Grasping Flow in History for Conversational Machine Comprehension
专知会员服务
34+阅读 · 2019年10月18日
Stabilizing Transformers for Reinforcement Learning
专知会员服务
60+阅读 · 2019年10月17日
《DeepGCNs: Making GCNs Go as Deep as CNNs》
专知会员服务
32+阅读 · 2019年10月17日
Keras François Chollet 《Deep Learning with Python 》, 386页pdf
专知会员服务
164+阅读 · 2019年10月12日
【SIGGRAPH2019】TensorFlow 2.0深度学习计算机图形学应用
专知会员服务
41+阅读 · 2019年10月9日
Hierarchically Structured Meta-learning
CreateAMind
27+阅读 · 2019年5月22日
Transferring Knowledge across Learning Processes
CreateAMind
29+阅读 · 2019年5月18日
强化学习的Unsupervised Meta-Learning
CreateAMind
18+阅读 · 2019年1月7日
Unsupervised Learning via Meta-Learning
CreateAMind
44+阅读 · 2019年1月3日
A Technical Overview of AI & ML in 2018 & Trends for 2019
待字闺中
18+阅读 · 2018年12月24日
STRCF for Visual Object Tracking
统计学习与视觉计算组
15+阅读 · 2018年5月29日
Hierarchical Imitation - Reinforcement Learning
CreateAMind
19+阅读 · 2018年5月25日
Focal Loss for Dense Object Detection
统计学习与视觉计算组
12+阅读 · 2018年3月15日
IJCAI | Cascade Dynamics Modeling with Attention-based RNN
KingsGarden
13+阅读 · 2017年7月16日
From Softmax to Sparsemax-ICML16(1)
KingsGarden
74+阅读 · 2016年11月26日
国家自然科学基金
2+阅读 · 2017年12月31日
国家自然科学基金
13+阅读 · 2017年12月31日
国家自然科学基金
2+阅读 · 2015年12月31日
国家自然科学基金
0+阅读 · 2015年12月31日
国家自然科学基金
47+阅读 · 2015年12月31日
国家自然科学基金
2+阅读 · 2015年12月31日
国家自然科学基金
0+阅读 · 2014年12月31日
国家自然科学基金
0+阅读 · 2014年12月31日
国家自然科学基金
0+阅读 · 2014年12月31日
国家自然科学基金
0+阅读 · 2014年12月31日
Arxiv
0+阅读 · 2023年10月16日
Arxiv
33+阅读 · 2021年12月31日
Arxiv
19+阅读 · 2021年6月15日
Arxiv
15+阅读 · 2019年9月11日
VIP会员
最新内容
“Maven计划”的发展演变之“Maven智能系统”应用
《无人机革命:来自俄乌战场的启示》(报告)
专知会员服务
4+阅读 · 今天6:48
《实现联合作战能力所需的技术》58页报告
专知会员服务
2+阅读 · 今天6:30
以色列运用人工智能优化空袭警报系统
专知会员服务
3+阅读 · 今天6:20
以色列在多条战线部署AI智能体
专知会员服务
4+阅读 · 今天6:12
2025年大语言模型进展报告
专知会员服务
18+阅读 · 4月25日
多智能体协作机制
专知会员服务
15+阅读 · 4月25日
相关资讯
Hierarchically Structured Meta-learning
CreateAMind
27+阅读 · 2019年5月22日
Transferring Knowledge across Learning Processes
CreateAMind
29+阅读 · 2019年5月18日
强化学习的Unsupervised Meta-Learning
CreateAMind
18+阅读 · 2019年1月7日
Unsupervised Learning via Meta-Learning
CreateAMind
44+阅读 · 2019年1月3日
A Technical Overview of AI & ML in 2018 & Trends for 2019
待字闺中
18+阅读 · 2018年12月24日
STRCF for Visual Object Tracking
统计学习与视觉计算组
15+阅读 · 2018年5月29日
Hierarchical Imitation - Reinforcement Learning
CreateAMind
19+阅读 · 2018年5月25日
Focal Loss for Dense Object Detection
统计学习与视觉计算组
12+阅读 · 2018年3月15日
IJCAI | Cascade Dynamics Modeling with Attention-based RNN
KingsGarden
13+阅读 · 2017年7月16日
From Softmax to Sparsemax-ICML16(1)
KingsGarden
74+阅读 · 2016年11月26日
相关基金
国家自然科学基金
2+阅读 · 2017年12月31日
国家自然科学基金
13+阅读 · 2017年12月31日
国家自然科学基金
2+阅读 · 2015年12月31日
国家自然科学基金
0+阅读 · 2015年12月31日
国家自然科学基金
47+阅读 · 2015年12月31日
国家自然科学基金
2+阅读 · 2015年12月31日
国家自然科学基金
0+阅读 · 2014年12月31日
国家自然科学基金
0+阅读 · 2014年12月31日
国家自然科学基金
0+阅读 · 2014年12月31日
国家自然科学基金
0+阅读 · 2014年12月31日
Top
微信扫码咨询专知VIP会员