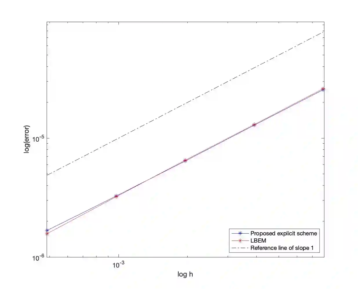
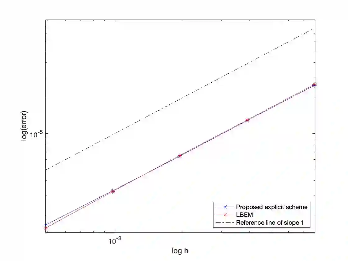
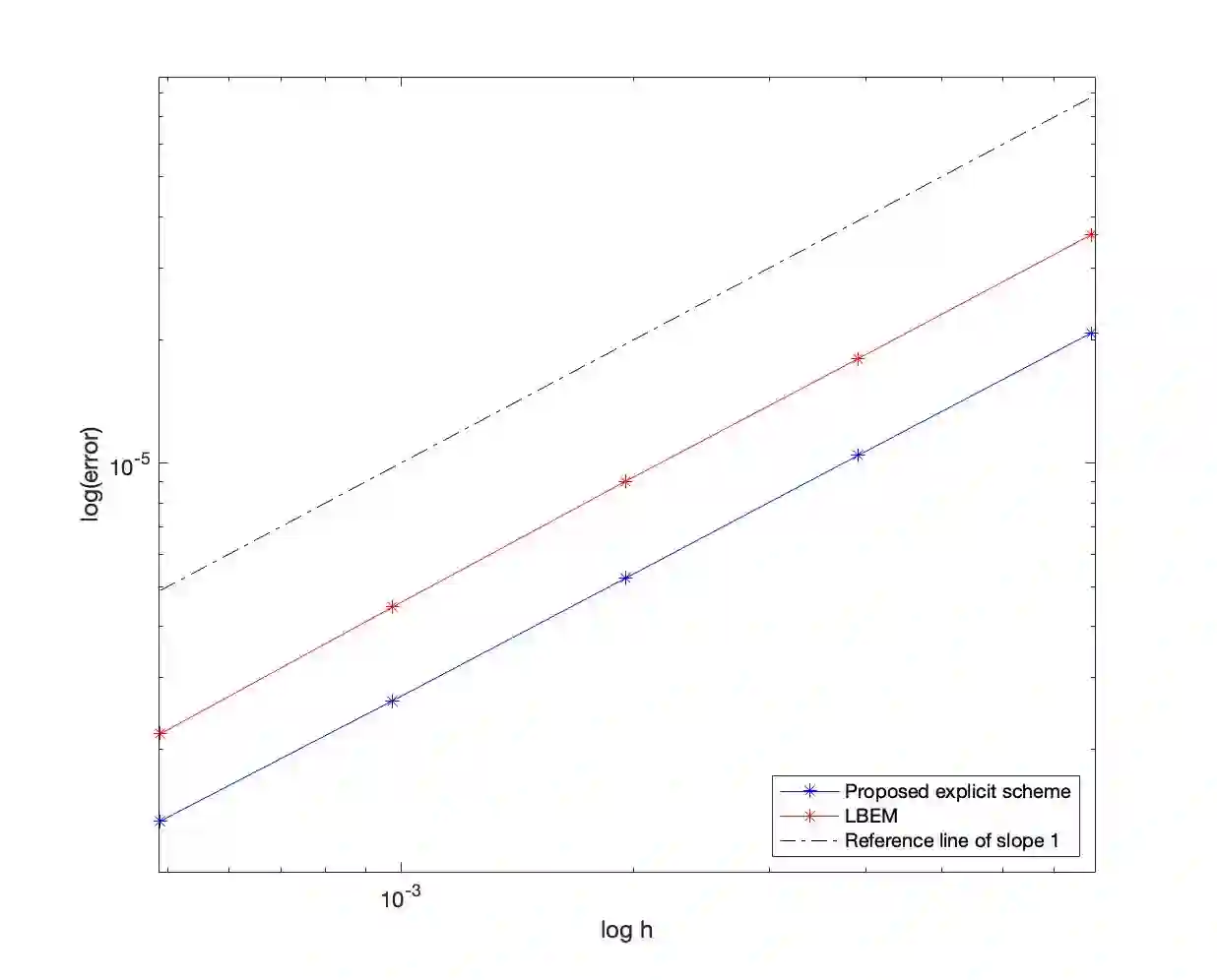
In this paper, we are interested in positivity-preserving approximations of stochastic differential equations (SDEs) with non-Lipschitz coefficients, arising from computational finance and possessing positive solutions. By leveraging a Lamperti transformation, we develop a novel, explicit, and unconditionally positivity-preserving numerical scheme for the considered financial SDEs. More precisely, an implicit term $c_{-1}Y_{n+1}^{-1}$ is incorporated in the scheme to guarantee unconditional positivity preservation, and a corrective operator is introduced in the remaining explicit terms to address the challenges posed by non-Lipschitz (possibly singular) coefficients of the transformed SDEs. By finding a unique positive root of a quadratic equation, the proposed scheme can be explicitly solved and is shown to be strongly convergent with order $1$, when used to numerically solve several well-known financial models such as the CIR process, the Heston-3/2 volatility model, the CEV process and the A\"it-Sahalia model. Numerical experiments validate the theoretical findings.


翻译:本文研究计算金融领域中具有非Lipschitz系数且解保持正性的随机微分方程(SDEs)的保正逼近方法。通过利用Lamperti变换,我们为所考虑的金融随机微分方程构建了一种新颖的显式且无条件保持正性的数值格式。具体而言,该格式引入隐式项$c_{-1}Y_{n+1}^{-1}$以保证无条件正性保持,同时在其余显式项中引入校正算子以应对变换后随机微分方程非Lipschitz(可能奇异)系数带来的挑战。通过求解二次方程的唯一正根,所提格式可显式求解,并在数值求解CIR过程、Heston-3/2波动率模型、CEV过程及Aït-Sahalia模型等经典金融模型时,被证明具有一阶强收敛性。数值实验验证了理论结果。

0
下载
关闭预览

相关内容

FlowQA: Grasping Flow in History for Conversational Machine Comprehension
专知会员服务
34+阅读 · 2019年10月18日
《DeepGCNs: Making GCNs Go as Deep as CNNs》
专知会员服务
32+阅读 · 2019年10月17日
Keras François Chollet 《Deep Learning with Python 》, 386页pdf
专知会员服务
164+阅读 · 2019年10月12日
【SIGGRAPH2019】TensorFlow 2.0深度学习计算机图形学应用
专知会员服务
41+阅读 · 2019年10月9日
Transferring Knowledge across Learning Processes
CreateAMind
29+阅读 · 2019年5月18日
强化学习的Unsupervised Meta-Learning
CreateAMind
18+阅读 · 2019年1月7日
Unsupervised Learning via Meta-Learning
CreateAMind
44+阅读 · 2019年1月3日
meta learning 17年:MAML SNAIL
CreateAMind
11+阅读 · 2019年1月2日
A Technical Overview of AI & ML in 2018 & Trends for 2019
待字闺中
18+阅读 · 2018年12月24日
disentangled-representation-papers
CreateAMind
26+阅读 · 2018年9月12日
STRCF for Visual Object Tracking
统计学习与视觉计算组
15+阅读 · 2018年5月29日
Focal Loss for Dense Object Detection
统计学习与视觉计算组
12+阅读 · 2018年3月15日
IJCAI | Cascade Dynamics Modeling with Attention-based RNN
KingsGarden
13+阅读 · 2017年7月16日
From Softmax to Sparsemax-ICML16(1)
KingsGarden
74+阅读 · 2016年11月26日
国家自然科学基金
2+阅读 · 2017年12月31日
国家自然科学基金
13+阅读 · 2017年12月31日
国家自然科学基金
2+阅读 · 2015年12月31日
国家自然科学基金
0+阅读 · 2015年12月31日
国家自然科学基金
0+阅读 · 2015年12月31日
国家自然科学基金
0+阅读 · 2015年12月31日
国家自然科学基金
2+阅读 · 2015年12月31日
国家自然科学基金
2+阅读 · 2015年12月31日
国家自然科学基金
0+阅读 · 2015年12月31日
国家自然科学基金
0+阅读 · 2014年12月31日
Arxiv
19+阅读 · 2018年3月28日
Arxiv
11+阅读 · 2018年1月18日
VIP会员
相关资讯
Transferring Knowledge across Learning Processes
CreateAMind
29+阅读 · 2019年5月18日
强化学习的Unsupervised Meta-Learning
CreateAMind
18+阅读 · 2019年1月7日
Unsupervised Learning via Meta-Learning
CreateAMind
44+阅读 · 2019年1月3日
meta learning 17年:MAML SNAIL
CreateAMind
11+阅读 · 2019年1月2日
A Technical Overview of AI & ML in 2018 & Trends for 2019
待字闺中
18+阅读 · 2018年12月24日
disentangled-representation-papers
CreateAMind
26+阅读 · 2018年9月12日
STRCF for Visual Object Tracking
统计学习与视觉计算组
15+阅读 · 2018年5月29日
Focal Loss for Dense Object Detection
统计学习与视觉计算组
12+阅读 · 2018年3月15日
IJCAI | Cascade Dynamics Modeling with Attention-based RNN
KingsGarden
13+阅读 · 2017年7月16日
From Softmax to Sparsemax-ICML16(1)
KingsGarden
74+阅读 · 2016年11月26日
相关基金
国家自然科学基金
2+阅读 · 2017年12月31日
国家自然科学基金
13+阅读 · 2017年12月31日
国家自然科学基金
2+阅读 · 2015年12月31日
国家自然科学基金
0+阅读 · 2015年12月31日
国家自然科学基金
0+阅读 · 2015年12月31日
国家自然科学基金
0+阅读 · 2015年12月31日
国家自然科学基金
2+阅读 · 2015年12月31日
国家自然科学基金
2+阅读 · 2015年12月31日
国家自然科学基金
0+阅读 · 2015年12月31日
国家自然科学基金
0+阅读 · 2014年12月31日
Top
微信扫码咨询专知VIP会员