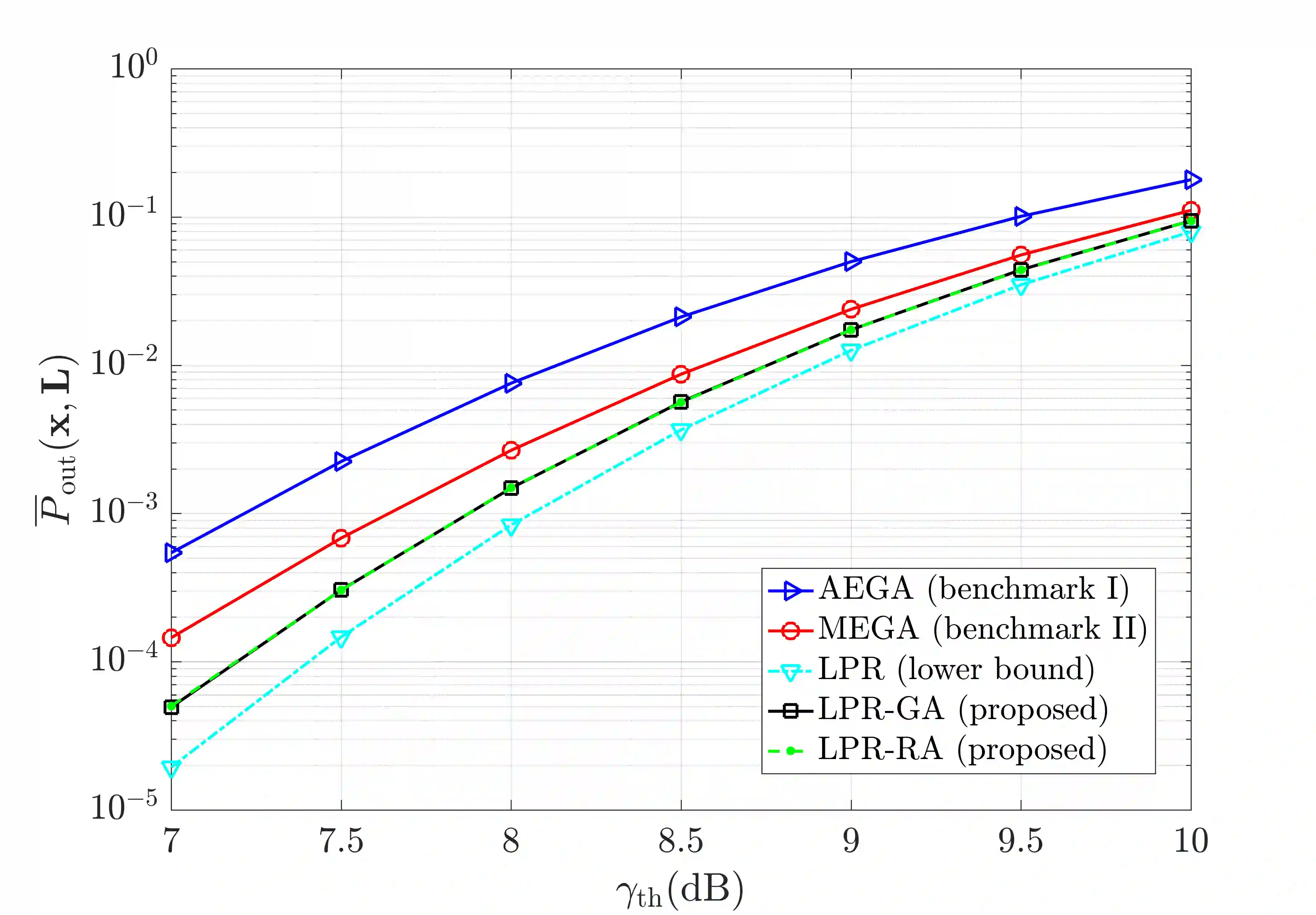
Intelligent reflecting surfaces (IRSs) have emerged as a promising wireless technology for the dynamic configuration and control of electromagnetic waves, thus creating a smart (programmable) radio environment. In this context, we study a multi-IRS assisted two-way communication system consisting of two users that employ full-duplex (FD) technology. More specifically, we deal with the joint IRS location and size (i.e., the number of reflecting elements) optimization in order to minimize an upper bound of system outage probability under various constraints, namely, minimum and maximum number of reflecting elements per IRS, maximum number of installed IRSs, maximum total number of reflecting elements (implicit bound on the signaling overhead) as well as maximum total IRS installation cost. First, the problem is formulated as a discrete optimization problem and, then, a theoretical proof of its NP-hardness is given. Moreover, we provide a lower bound on the optimum value by solving a linear-programming relaxation (LPR) problem. Subsequently, we design two polynomial-time algorithms, a deterministic greedy algorithm and a randomized approximation algorithm, based on the LPR solution. The former is a heuristic method that always computes a feasible solution for which (a posteriori) performance guarantee can be provided. The latter achieves an approximate solution, using randomized rounding, with provable (a priori) probabilistic guarantees on the performance. Furthermore, extensive numerical simulations demonstrate the superiority of the proposed algorithms compared to the baseline schemes. Finally, useful conclusions regarding the comparison between FD and conventional half-duplex (HD) systems are also drawn.


翻译:智能反射表面(IRS)已经成为一种有希望的动态配置和控制电磁波的无线技术,成为动态配置和控制电磁波的无线技术,从而创造一个智能(可编程)无线电环境。在这方面,我们研究一个由使用全态(FD)技术的两个用户组成的多IRS辅助双向通信系统。更具体地说,我们处理IRS的联合位置和大小(即反映元素的数量)优化,以便最大限度地减少在各种制约下系统超值的可能性,这些制约包括:反映电磁波要素的最小和最大数量,安装的IRS的最大数量,反映要素的最大总数(信号间接约束在信号管理上)以及IRS安装费用的最大总额。首先,这一问题是作为一个离散的优化问题提出来,然后提供其NP-硬度的理论证明。此外,我们通过解决一个可编程简化的宽松(LPR)问题,我们设计两个多边-时间算法,一个确定性稳度的内含度的定量算法,以及一个最终的精确性算法,它以Larial 提供一种稳定性前的精确性计算方法。

0
下载
关闭预览

相关内容

神经常微分方程教程,50页ppt,A brief tutorial on Neural ODEs
专知会员服务
74+阅读 · 2020年8月2日
100+篇《自监督学习(Self-Supervised Learning)》论文最新合集
专知会员服务
167+阅读 · 2020年3月18日
强化学习最新教程,17页pdf
专知会员服务
182+阅读 · 2019年10月11日
机器学习入门的经验与建议
专知会员服务
94+阅读 · 2019年10月10日
最新BERT相关论文清单,BERT-related Papers
专知会员服务
53+阅读 · 2019年9月29日
VCIP 2022 Call for Special Session Proposals
CCF多媒体专委会
1+阅读 · 2022年4月1日
IEEE ICKG 2022: Call for Papers
机器学习与推荐算法
3+阅读 · 2022年3月30日
ACM MM 2022 Call for Papers
CCF多媒体专委会
5+阅读 · 2022年3月29日
IEEE TII Call For Papers
CCF多媒体专委会
3+阅读 · 2022年3月24日
ACM TOMM Call for Papers
CCF多媒体专委会
2+阅读 · 2022年3月23日
AIART 2022 Call for Papers
CCF多媒体专委会
1+阅读 · 2022年2月13日
【ICIG2021】Check out the hot new trailer of ICIG2021 Symposium6
中国图象图形学学会CSIG
2+阅读 · 2021年11月12日
【ICIG2021】Check out the hot new trailer of ICIG2021 Symposium4
中国图象图形学学会CSIG
0+阅读 · 2021年11月10日
Hierarchically Structured Meta-learning
CreateAMind
27+阅读 · 2019年5月22日
A Technical Overview of AI & ML in 2018 & Trends for 2019
待字闺中
18+阅读 · 2018年12月24日
国家自然科学基金
0+阅读 · 2013年12月31日
国家自然科学基金
0+阅读 · 2012年12月31日
国家自然科学基金
0+阅读 · 2011年12月31日
国家自然科学基金
0+阅读 · 2011年12月31日
国家自然科学基金
0+阅读 · 2009年12月31日
国家自然科学基金
0+阅读 · 2009年12月31日
国家自然科学基金
0+阅读 · 2009年12月31日
国家自然科学基金
0+阅读 · 2008年12月31日
Arxiv
1+阅读 · 2022年4月19日
Arxiv
0+阅读 · 2022年4月17日
VIP会员
最新内容
人工智能赋能无人机:俄乌战争(万字长文)
专知会员服务
4+阅读 · 今天6:56
国外海军作战管理系统与作战训练系统
专知会员服务
2+阅读 · 今天4:16
美军条令《海军陆战队规划流程(2026版)》
专知会员服务
9+阅读 · 今天3:36
《压缩式分布式交互仿真标准》120页
专知会员服务
4+阅读 · 今天3:21
《电子战数据交换模型研究报告》
专知会员服务
6+阅读 · 今天3:13
《基于Transformer的异常舰船导航识别与跟踪》80页
《低数据领域军事目标检测模型研究》
专知会员服务
6+阅读 · 今天2:37
【CMU博士论文】物理世界的视觉感知与深度理解
伊朗战争停火期间美军关键弹药状况分析
专知会员服务
8+阅读 · 4月22日
电子战革命:塑造战场的十年突破(2015–2025)
相关VIP内容
相关资讯
VCIP 2022 Call for Special Session Proposals
CCF多媒体专委会
1+阅读 · 2022年4月1日
IEEE ICKG 2022: Call for Papers
机器学习与推荐算法
3+阅读 · 2022年3月30日
ACM MM 2022 Call for Papers
CCF多媒体专委会
5+阅读 · 2022年3月29日
IEEE TII Call For Papers
CCF多媒体专委会
3+阅读 · 2022年3月24日
ACM TOMM Call for Papers
CCF多媒体专委会
2+阅读 · 2022年3月23日
AIART 2022 Call for Papers
CCF多媒体专委会
1+阅读 · 2022年2月13日
【ICIG2021】Check out the hot new trailer of ICIG2021 Symposium6
中国图象图形学学会CSIG
2+阅读 · 2021年11月12日
【ICIG2021】Check out the hot new trailer of ICIG2021 Symposium4
中国图象图形学学会CSIG
0+阅读 · 2021年11月10日
Hierarchically Structured Meta-learning
CreateAMind
27+阅读 · 2019年5月22日
A Technical Overview of AI & ML in 2018 & Trends for 2019
待字闺中
18+阅读 · 2018年12月24日
相关基金
国家自然科学基金
0+阅读 · 2013年12月31日
国家自然科学基金
0+阅读 · 2012年12月31日
国家自然科学基金
0+阅读 · 2011年12月31日
国家自然科学基金
0+阅读 · 2011年12月31日
国家自然科学基金
0+阅读 · 2009年12月31日
国家自然科学基金
0+阅读 · 2009年12月31日
国家自然科学基金
0+阅读 · 2009年12月31日
国家自然科学基金
0+阅读 · 2008年12月31日
Top
微信扫码咨询专知VIP会员