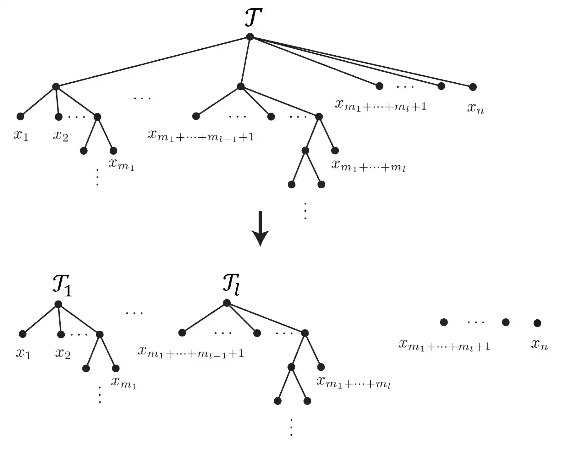
Neural networks are versatile tools for computation, having the ability to approximate a broad range of functions. An important problem in the theory of deep neural networks is expressivity; that is, we want to understand the functions that are computable by a given network. We study real infinitely differentiable (smooth) hierarchical functions implemented by feedforward neural networks via composing simpler functions in two cases: 1) each constituent function of the composition has fewer inputs than the resulting function; 2) constituent functions are in the more specific yet prevalent form of a non-linear univariate function (e.g. tanh) applied to a linear multivariate function. We establish that in each of these regimes there exist non-trivial algebraic partial differential equations (PDEs), which are satisfied by the computed functions. These PDEs are purely in terms of the partial derivatives and are dependent only on the topology of the network. For compositions of polynomial functions, the algebraic PDEs yield non-trivial equations (of degrees dependent only on the architecture) in the ambient polynomial space that are satisfied on the associated functional varieties. Conversely, we conjecture that such PDE constraints, once accompanied by appropriate non-singularity conditions and perhaps certain inequalities involving partial derivatives, guarantee that the smooth function under consideration can be represented by the network. The conjecture is verified in numerous examples including the case of tree architectures which are of neuroscientific interest. Our approach is a step toward formulating an algebraic description of functional spaces associated with specific neural networks, and may provide new, useful tools for constructing neural networks.


翻译:神经网络是多种计算功能的多功能工具。 深神经网络理论的一个重要问题是直线多变函数中应用的非线性单一空间功能( 如 tanh) 。 我们想要理解由特定网络可比较的函数。 我们研究由进化向神经网络通过设置更简单的函数而执行的无穷尽差异( mooth) 级功能。 在两种情况下, 我们研究进化向神经网络所执行的真正差异性( PDEs ) : 1) 组成结构的每个组成功能的输入量少于由此产生的功能; 2 组成功能是非线性单向空空空空空空间函数( 如 tanh) 的较具体形式( tanh) 。 我们确定, 在这些系统中,每个系统都存在非边际的平差部分等等方程式( PDEs ) 。 这些PDEs 纯粹是部分衍生工具, 仅取决于网络的表层层结构, 并且通过直线性结构的阶结构的阶梯度产生新的方形方形方形 。

0
下载
关闭预览

相关内容

专知会员服务
49+阅读 · 2021年9月9日
【干货书】机器学习速查手册,135页pdf
专知会员服务
127+阅读 · 2020年11月20日
神经常微分方程教程,50页ppt,A brief tutorial on Neural ODEs
专知会员服务
74+阅读 · 2020年8月2日
【阿尔托大学】图神经网络,Graph Neural Networks,附60页ppt
专知会员服务
185+阅读 · 2020年4月26日
神经网络的拓扑结构,TOPOLOGY OF DEEP NEURAL NETWORKS
专知会员服务
35+阅读 · 2020年4月15日
Hierarchically Structured Meta-learning
CreateAMind
27+阅读 · 2019年5月22日
ICLR2019最佳论文出炉
专知
12+阅读 · 2019年5月6日
【TED】什么让我们生病
英语演讲视频每日一推
7+阅读 · 2019年1月23日
逆强化学习-学习人先验的动机
CreateAMind
16+阅读 · 2019年1月18日
A Technical Overview of AI & ML in 2018 & Trends for 2019
待字闺中
18+阅读 · 2018年12月24日
Hierarchical Disentangled Representations
CreateAMind
4+阅读 · 2018年4月15日
Capsule Networks解析
机器学习研究会
11+阅读 · 2017年11月12日
【学习】Hierarchical Softmax
机器学习研究会
4+阅读 · 2017年8月6日
强化学习族谱
CreateAMind
26+阅读 · 2017年8月2日
强化学习 cartpole_a3c
CreateAMind
9+阅读 · 2017年7月21日
Arxiv
0+阅读 · 2021年10月11日
Arxiv
6+阅读 · 2018年10月3日
VIP会员
最新内容
国外海军作战管理系统与作战训练系统
专知会员服务
0+阅读 · 今天4:16
美军条令《海军陆战队规划流程(2026版)》
专知会员服务
4+阅读 · 今天3:36
《压缩式分布式交互仿真标准》120页
专知会员服务
3+阅读 · 今天3:21
《电子战数据交换模型研究报告》
专知会员服务
4+阅读 · 今天3:13
《基于Transformer的异常舰船导航识别与跟踪》80页
《低数据领域军事目标检测模型研究》
专知会员服务
4+阅读 · 今天2:37
【CMU博士论文】物理世界的视觉感知与深度理解
伊朗战争停火期间美军关键弹药状况分析
专知会员服务
8+阅读 · 4月22日
电子战革命:塑造战场的十年突破(2015–2025)
相关资讯
Hierarchically Structured Meta-learning
CreateAMind
27+阅读 · 2019年5月22日
ICLR2019最佳论文出炉
专知
12+阅读 · 2019年5月6日
【TED】什么让我们生病
英语演讲视频每日一推
7+阅读 · 2019年1月23日
逆强化学习-学习人先验的动机
CreateAMind
16+阅读 · 2019年1月18日
A Technical Overview of AI & ML in 2018 & Trends for 2019
待字闺中
18+阅读 · 2018年12月24日
Hierarchical Disentangled Representations
CreateAMind
4+阅读 · 2018年4月15日
Capsule Networks解析
机器学习研究会
11+阅读 · 2017年11月12日
【学习】Hierarchical Softmax
机器学习研究会
4+阅读 · 2017年8月6日
强化学习族谱
CreateAMind
26+阅读 · 2017年8月2日
强化学习 cartpole_a3c
CreateAMind
9+阅读 · 2017年7月21日
Top
微信扫码咨询专知VIP会员