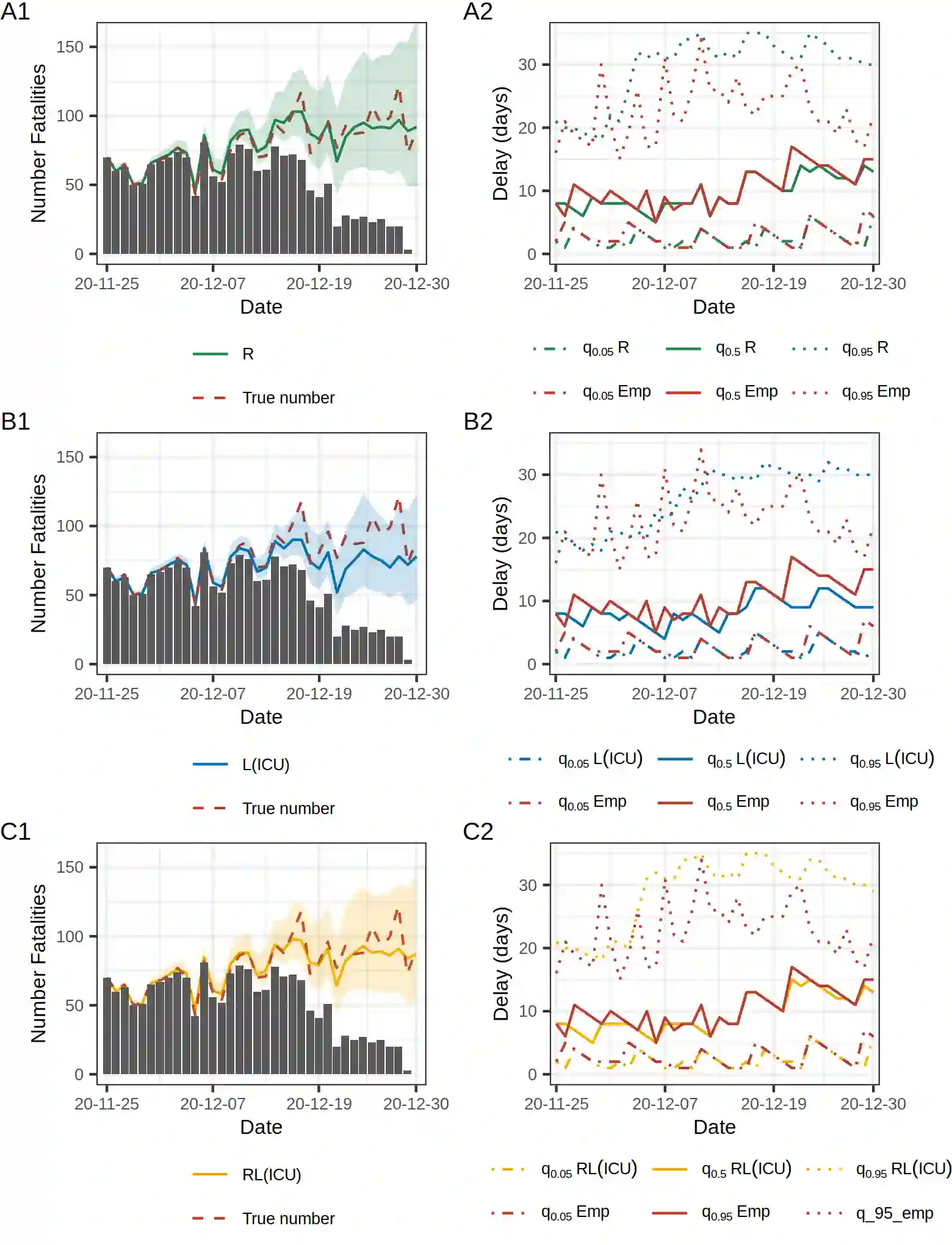
The real-time analysis of infectious disease surveillance data, e.g., in the form of a time-series of reported cases or fatalities, is essential in obtaining situational awareness about the current dynamics of an adverse health event such as the COVID-19 pandemic. This real-time analysis is complicated by reporting delays that lead to underreporting of the number of events for the most recent time points (e.g., days or weeks). This can lead to misconceptions by the interpreter, e.g., the media or the public, as was the case with the time-series of reported fatalities during the COVID-19 pandemic in Sweden. Nowcasting methods provide real-time estimates of the complete number of events using the incomplete time-series of currently reported events by using information about the reporting delays from the past. Here, we consider nowcasting the number of COVID-19-related fatalities in Sweden. We propose a flexible Bayesian approach, extending existing nowcasting methods by incorporating regression components to accommodate additional information provided by leading indicators such as time-series of the number of reported cases and ICU admissions. By a retrospective evaluation, we show that the inclusion of ICU admissions as a leading signal improved the nowcasting performance of case fatalities for COVID-19 in Sweden compared to existing methods.


翻译:对传染病监测数据的实时分析,例如以报告病例或死亡的时间序列的形式对传染病监测数据进行实时分析,对于了解诸如COVID-19大流行等不良健康事件目前动态的形势至关重要。这种实时分析由于报告延误导致最近时间点(例如几天或几周)的事件数量报告不足而变得复杂。这可能导致翻译(例如媒体或公众)误解,例如媒体或公众误解,如瑞典COVID-19大流行期间报告的死亡人数的时间序列。即时预测方法利用关于过去报告延误的信息,对目前报告的事件的不完整时间序列提供对事件全数的实时估计。我们在这里考虑现在预测与COVID-19有关的事件数量。我们提议一种灵活的巴伊西亚办法,通过纳入回归部分来扩大现有的播报方法,以适应所报告的案件数量和ICU的承认程度等主要指标提供的额外信息。我们通过回顾性评估,现在显示,在将COVI-19大事件的现有死亡率分析方法纳入现有的COU入院后,我们比证了瑞典的死亡率。

0
下载
关闭预览

相关内容

【MIT Sam Hopkins】如何读论文?How to Read a Paper
专知会员服务
108+阅读 · 2022年3月20日
专知会员服务
124+阅读 · 2020年9月8日
Linux导论,Introduction to Linux,96页ppt
专知会员服务
82+阅读 · 2020年7月26日
机器学习入门的经验与建议
专知会员服务
94+阅读 · 2019年10月10日
【哈佛大学商学院课程Fall 2019】机器学习可解释性
专知会员服务
105+阅读 · 2019年10月9日
VCIP 2022 Call for Special Session Proposals
CCF多媒体专委会
1+阅读 · 2022年4月1日
【ICIG2021】Latest News & Announcements of the Workshop
中国图象图形学学会CSIG
0+阅读 · 2021年12月20日
【ICIG2021】Check out the hot new trailer of ICIG2021 Symposium9
中国图象图形学学会CSIG
0+阅读 · 2021年12月17日
【ICIG2021】Check out the hot new trailer of ICIG2021 Symposium8
中国图象图形学学会CSIG
0+阅读 · 2021年11月16日
【ICIG2021】Check out the hot new trailer of ICIG2021 Symposium3
中国图象图形学学会CSIG
0+阅读 · 2021年11月9日
【ICIG2021】Check out the hot new trailer of ICIG2021 Symposium2
中国图象图形学学会CSIG
0+阅读 · 2021年11月8日
【ICIG2021】Latest News & Announcements of the Plenary Talk1
中国图象图形学学会CSIG
0+阅读 · 2021年11月1日
【ICIG2021】Latest News & Announcements of the Industry Talk2
中国图象图形学学会CSIG
0+阅读 · 2021年7月29日
Transferring Knowledge across Learning Processes
CreateAMind
29+阅读 · 2019年5月18日
A Technical Overview of AI & ML in 2018 & Trends for 2019
待字闺中
18+阅读 · 2018年12月24日
国家自然科学基金
1+阅读 · 2015年12月31日
国家自然科学基金
0+阅读 · 2014年12月31日
国家自然科学基金
0+阅读 · 2014年12月31日
国家自然科学基金
0+阅读 · 2012年12月31日
国家自然科学基金
1+阅读 · 2012年12月31日
国家自然科学基金
2+阅读 · 2011年12月31日
国家自然科学基金
0+阅读 · 2011年12月31日
国家自然科学基金
0+阅读 · 2009年12月31日
Arxiv
0+阅读 · 2022年9月2日
Arxiv
34+阅读 · 2022年2月15日
A Survey of Deep Learning for Scientific Discovery
Arxiv
29+阅读 · 2020年3月26日
VIP会员
最新内容
探秘Palantir:驱动美情报的科技巨头
专知会员服务
2+阅读 · 今天3:14
《美国海军军事海运司令部 2026年手册》
专知会员服务
2+阅读 · 今天3:05
《人工智能使能系统可靠性框架》
专知会员服务
5+阅读 · 今天2:28
2026“人工智能+”行业发展蓝皮书(附下载)
专知会员服务
14+阅读 · 4月26日
《强化学习数学基础》
专知会员服务
12+阅读 · 4月26日
“Maven计划”的发展演变之“Maven智能系统”应用
相关VIP内容
相关资讯
VCIP 2022 Call for Special Session Proposals
CCF多媒体专委会
1+阅读 · 2022年4月1日
【ICIG2021】Latest News & Announcements of the Workshop
中国图象图形学学会CSIG
0+阅读 · 2021年12月20日
【ICIG2021】Check out the hot new trailer of ICIG2021 Symposium9
中国图象图形学学会CSIG
0+阅读 · 2021年12月17日
【ICIG2021】Check out the hot new trailer of ICIG2021 Symposium8
中国图象图形学学会CSIG
0+阅读 · 2021年11月16日
【ICIG2021】Check out the hot new trailer of ICIG2021 Symposium3
中国图象图形学学会CSIG
0+阅读 · 2021年11月9日
【ICIG2021】Check out the hot new trailer of ICIG2021 Symposium2
中国图象图形学学会CSIG
0+阅读 · 2021年11月8日
【ICIG2021】Latest News & Announcements of the Plenary Talk1
中国图象图形学学会CSIG
0+阅读 · 2021年11月1日
【ICIG2021】Latest News & Announcements of the Industry Talk2
中国图象图形学学会CSIG
0+阅读 · 2021年7月29日
Transferring Knowledge across Learning Processes
CreateAMind
29+阅读 · 2019年5月18日
A Technical Overview of AI & ML in 2018 & Trends for 2019
待字闺中
18+阅读 · 2018年12月24日
相关基金
国家自然科学基金
1+阅读 · 2015年12月31日
国家自然科学基金
0+阅读 · 2014年12月31日
国家自然科学基金
0+阅读 · 2014年12月31日
国家自然科学基金
0+阅读 · 2012年12月31日
国家自然科学基金
1+阅读 · 2012年12月31日
国家自然科学基金
2+阅读 · 2011年12月31日
国家自然科学基金
0+阅读 · 2011年12月31日
国家自然科学基金
0+阅读 · 2009年12月31日
Top
微信扫码咨询专知VIP会员