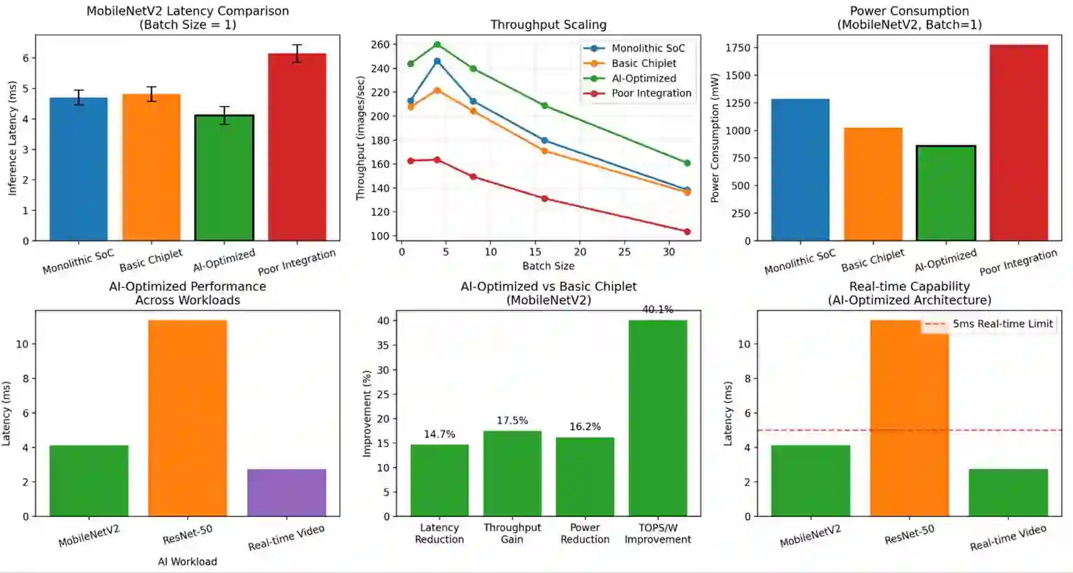
Achieving high performance, energy efficiency, and cost-effectiveness while maintaining architectural flexibility is a critical challenge in the development and deployment of edge AI devices. Monolithic SoC designs struggle with this complex balance mainly due to low manufacturing yields (below 16%) at advanced 360 mm^2 process nodes. This paper presents a novel chiplet-based RISC-V SoC architecture that addresses these limitations through modular AI acceleration and intelligent system level optimization. Our proposed design integrates 4 different key innovations in a 30mm x 30mm silicon interposer: adaptive cross-chiplet Dynamic Voltage and Frequency Scaling (DVFS); AI-aware Universal Chiplet Interconnect Express (UCIe) protocol extensions featuring streaming flow control units and compression-aware transfers; distributed cryptographic security across heterogeneous chiplets; and intelligent sensor-driven load migration. The proposed architecture integrates a 7nm RISC-V CPU chiplet with dual 5nm AI accelerators (15 TOPS INT8 each), 16GB HBM3 memory stacks, and dedicated power management controllers. Experimental results across industry standard benchmarks like MobileNetV2, ResNet-50 and real-time video processing demonstrate significant performance improvements. The AI-optimized configuration achieves ~14.7% latency reduction, 17.3% throughput improvement, and 16.2% power reduction compared to previous basic chiplet implementations. These improvements collectively translate to a 40.1% efficiency gain corresponding to ~3.5 mJ per MobileNetV2 inference (860 mW/244 images/s), while maintaining sub-5ms real-time capability across all experimented workloads. These performance upgrades demonstrate that modular chiplet designs can achieve near-monolithic computational density while enabling cost efficiency, scalability and upgradeability, crucial for next-generation edge AI device applications.


翻译:在边缘AI设备的开发与部署中,如何在保持架构灵活性的同时实现高性能、高能效与成本效益,是一个关键挑战。传统的单片SoC设计难以实现这种复杂平衡,主要原因是先进360 mm²工艺节点的制造良率较低(低于16%)。本文提出一种新颖的基于Chiplet的RISC-V SoC架构,通过模块化AI加速与智能系统级优化来解决这些限制。我们提出的设计在30mm x 30mm硅中介层中集成了四项关键创新:自适应跨Chiplet动态电压频率调节(DVFS);具备流控单元与压缩感知传输特性的AI感知型通用Chiplet互连扩展协议(UCIe);跨异构Chiplet的分布式加密安全机制;以及智能传感器驱动的负载迁移。该架构集成了7nm RISC-V CPU Chiplet、双5nm AI加速器(每个提供15 TOPS INT8算力)、16GB HBM3内存堆栈及专用电源管理控制器。在MobileNetV2、ResNet-50等工业标准基准测试及实时视频处理中的实验结果表明,系统性能获得显著提升。相较于先前的基础Chiplet方案,AI优化配置实现了约14.7%的延迟降低、17.3%的吞吐量提升及16.2%的功耗下降。这些改进共同转化为40.1%的能效增益,相当于每次MobileNetV2推理消耗约3.5 mJ能量(860 mW/244 images/s),同时在所有实验负载中保持低于5ms的实时处理能力。这些性能提升表明,模块化Chiplet设计能够实现接近单片集成的计算密度,同时具备成本效益、可扩展性与可升级性,这对于下一代边缘AI设备应用至关重要。

0
下载
关闭预览

相关内容

人工智能杂志AI(Artificial Intelligence)是目前公认的发表该领域最新研究成果的主要国际论坛。该期刊欢迎有关AI广泛方面的论文,这些论文构成了整个领域的进步,也欢迎介绍人工智能应用的论文,但重点应该放在新的和新颖的人工智能方法如何提高应用领域的性能,而不是介绍传统人工智能方法的另一个应用。关于应用的论文应该描述一个原则性的解决方案,强调其新颖性,并对正在开发的人工智能技术进行深入的评估。 官网地址:http://dblp.uni-trier.de/db/journals/ai/
FlowQA: Grasping Flow in History for Conversational Machine Comprehension
专知会员服务
34+阅读 · 2019年10月18日
Stabilizing Transformers for Reinforcement Learning
专知会员服务
60+阅读 · 2019年10月17日
《DeepGCNs: Making GCNs Go as Deep as CNNs》
专知会员服务
32+阅读 · 2019年10月17日
Keras François Chollet 《Deep Learning with Python 》, 386页pdf
专知会员服务
164+阅读 · 2019年10月12日
【SIGGRAPH2019】TensorFlow 2.0深度学习计算机图形学应用
专知会员服务
41+阅读 · 2019年10月9日
Hierarchically Structured Meta-learning
CreateAMind
27+阅读 · 2019年5月22日
Transferring Knowledge across Learning Processes
CreateAMind
29+阅读 · 2019年5月18日
Unsupervised Learning via Meta-Learning
CreateAMind
44+阅读 · 2019年1月3日
meta learning 17年:MAML SNAIL
CreateAMind
11+阅读 · 2019年1月2日
A Technical Overview of AI & ML in 2018 & Trends for 2019
待字闺中
18+阅读 · 2018年12月24日
disentangled-representation-papers
CreateAMind
26+阅读 · 2018年9月12日
STRCF for Visual Object Tracking
统计学习与视觉计算组
15+阅读 · 2018年5月29日
Hierarchical Imitation - Reinforcement Learning
CreateAMind
19+阅读 · 2018年5月25日
Focal Loss for Dense Object Detection
统计学习与视觉计算组
12+阅读 · 2018年3月15日
IJCAI | Cascade Dynamics Modeling with Attention-based RNN
KingsGarden
13+阅读 · 2017年7月16日
国家自然科学基金
2+阅读 · 2017年12月31日
国家自然科学基金
13+阅读 · 2017年12月31日
国家自然科学基金
2+阅读 · 2015年12月31日
国家自然科学基金
3+阅读 · 2015年12月31日
国家自然科学基金
0+阅读 · 2015年12月31日
国家自然科学基金
47+阅读 · 2015年12月31日
国家自然科学基金
2+阅读 · 2015年12月31日
国家自然科学基金
0+阅读 · 2014年12月31日
国家自然科学基金
0+阅读 · 2014年12月31日
国家自然科学基金
0+阅读 · 2014年12月31日
Arxiv
29+阅读 · 2022年3月28日
Arxiv
19+阅读 · 2018年5月17日
VIP会员
最新内容
《系统簇式多域作战规划范畴论框架》
专知会员服务
2+阅读 · 今天14:54
高效视频扩散模型:进展与挑战
专知会员服务
0+阅读 · 今天13:34
乌克兰前线的五项创新
专知会员服务
6+阅读 · 今天6:14
 军事通信系统与设备的技术演进综述
专知会员服务
4+阅读 · 今天5:59
《北约标准:医疗评估手册》174页
专知会员服务
4+阅读 · 今天5:51
《提升生成模型的安全性与保障》博士论文
专知会员服务
4+阅读 · 今天5:47
美国当前高超音速导弹发展概述
专知会员服务
4+阅读 · 4月19日
无人机蜂群建模与仿真方法
专知会员服务
13+阅读 · 4月19日
相关资讯
Hierarchically Structured Meta-learning
CreateAMind
27+阅读 · 2019年5月22日
Transferring Knowledge across Learning Processes
CreateAMind
29+阅读 · 2019年5月18日
Unsupervised Learning via Meta-Learning
CreateAMind
44+阅读 · 2019年1月3日
meta learning 17年:MAML SNAIL
CreateAMind
11+阅读 · 2019年1月2日
A Technical Overview of AI & ML in 2018 & Trends for 2019
待字闺中
18+阅读 · 2018年12月24日
disentangled-representation-papers
CreateAMind
26+阅读 · 2018年9月12日
STRCF for Visual Object Tracking
统计学习与视觉计算组
15+阅读 · 2018年5月29日
Hierarchical Imitation - Reinforcement Learning
CreateAMind
19+阅读 · 2018年5月25日
Focal Loss for Dense Object Detection
统计学习与视觉计算组
12+阅读 · 2018年3月15日
IJCAI | Cascade Dynamics Modeling with Attention-based RNN
KingsGarden
13+阅读 · 2017年7月16日
相关基金
国家自然科学基金
2+阅读 · 2017年12月31日
国家自然科学基金
13+阅读 · 2017年12月31日
国家自然科学基金
2+阅读 · 2015年12月31日
国家自然科学基金
3+阅读 · 2015年12月31日
国家自然科学基金
0+阅读 · 2015年12月31日
国家自然科学基金
47+阅读 · 2015年12月31日
国家自然科学基金
2+阅读 · 2015年12月31日
国家自然科学基金
0+阅读 · 2014年12月31日
国家自然科学基金
0+阅读 · 2014年12月31日
国家自然科学基金
0+阅读 · 2014年12月31日
Top
微信扫码咨询专知VIP会员