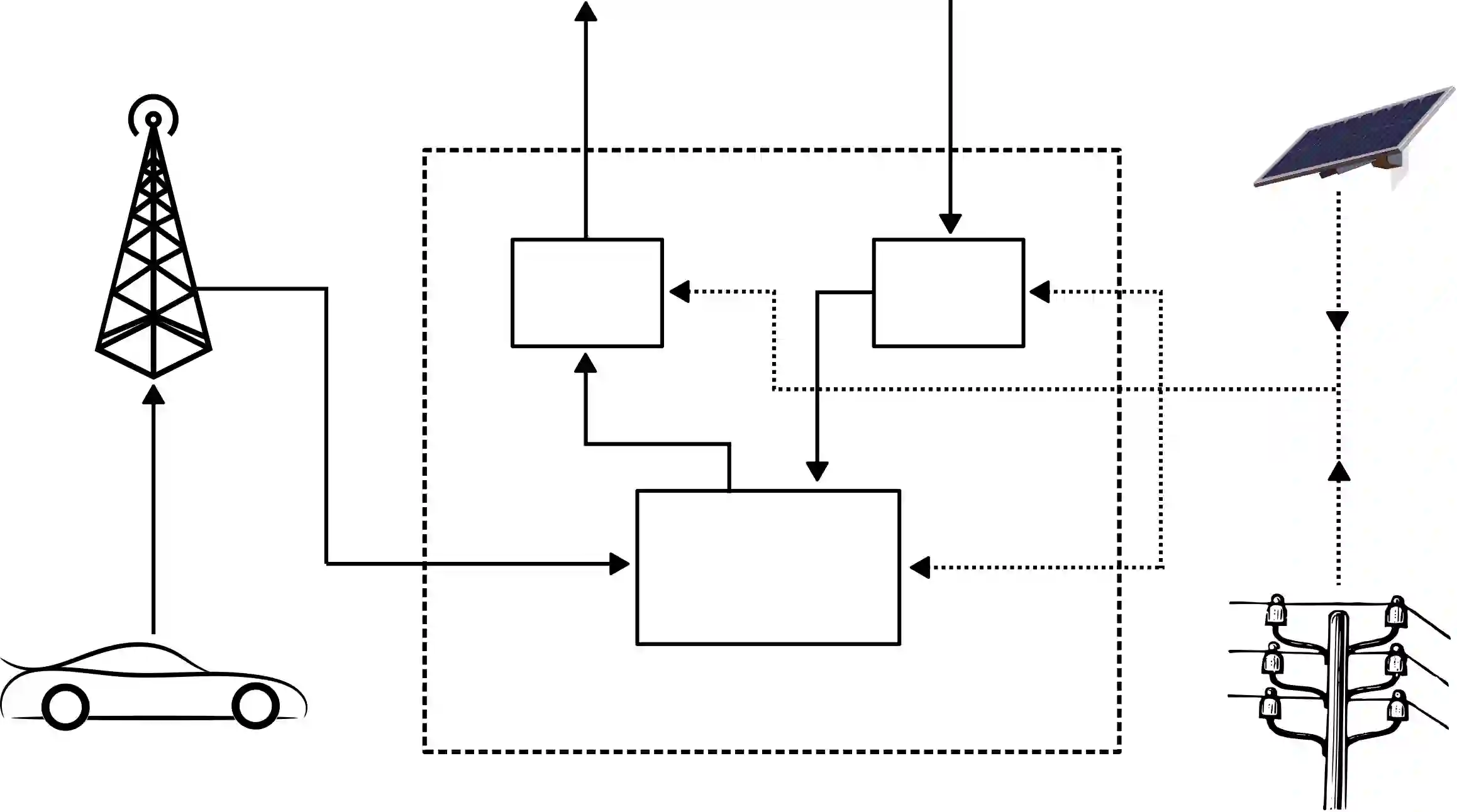
The energy sustainability of multi-access edge computing (MEC) platforms is addressed in this paper, by developing Energy-Aware job Scheduling at the Edge (EASE), a computing resource scheduler for edge servers co-powered by renewable energy resources and the power grid. The scenario under study involves the optimal allocation and migration of time-sensitive computing tasks in a resource-constrained internet of vehicles (IoV) context. This is achieved by tackling, as a main objective, the minimization of the carbon footprint of the edge network, whilst delivering adequate quality of service (QoS) to the end users (e.g., meeting task execution deadlines). EASE integrates a i) centralized optimization step, solved through model predictive control (MPC), to manage the renewable energy that is locally collected at the edge servers and their local computing resources, estimating their future availability, and ii) a distributed consensus step, solved via dual ascent in closed form, to reach agreement on service migrations. EASE is compared with existing strategies that always and never migrate the computing tasks. Quantitative results demonstrate the greater energy efficiency achieved by EASE, which often gets close to complete carbon neutrality, while also improving the QoS.


翻译:本文探讨了多接入边缘计算平台的能源可持续性问题,为此,在边缘开发了能源-Aware 工作调度系统(EASE),这是由可再生能源资源和电网共同驱动的边缘服务器的计算资源调度器,正在研究的情景是,在资源受限制的车辆互联网(IoV)背景下,最佳分配和迁移时间敏感的计算任务,作为主要目标,最大限度地减少边缘网络的碳足迹,同时向终端用户提供适当的服务质量(QOS),同时向终端用户(例如,完成任务执行期限)提供适足的服务质量(QOS)。 EASE整合了一个中央优化步骤,通过模型预测控制(MPC)解决,管理在边缘服务器及其本地计算资源当地收集的可再生能源,估计其未来可用性;二)一个分散的协商一致步骤,通过封闭形式的双重点解决,就服务迁移达成协议。EASE与现有战略相比较,始终且永远不迁移计算任务。量化的结果表明,EASEY实现了更高的能源效率,该步骤往往接近于完全的碳中性。

1
下载
关闭预览

相关内容

软件工程评估(Evaluation and Assessment in Software Engineering,EASE)会议是一个国际领先的会议场所,学术界和实践者可以在此展示和讨论他们对基于证据的软件工程的研究及其对软件实践的影响。第23届EASE将于2019年4月在丹麦哥本哈根举行,由哥本哈根IT大学主办。EASE 2019欢迎向不同领域提交高质量的研究报告:完整的研究论文、短篇论文和手工艺品、新兴成果和愿景、行业轨迹、博士研讨会、海报。官网链接:https://ease2019.org/
Stabilizing Transformers for Reinforcement Learning
专知会员服务
60+阅读 · 2019年10月17日
开源书:PyTorch深度学习起步
专知会员服务
51+阅读 · 2019年10月11日
强化学习最新教程,17页pdf
专知会员服务
182+阅读 · 2019年10月11日
计算机 | 国际会议信息5条
Call4Papers
3+阅读 · 2019年7月3日
Hierarchically Structured Meta-learning
CreateAMind
27+阅读 · 2019年5月22日
人工智能 | ISAIR 2019诚邀稿件(推荐SCI期刊)
Call4Papers
6+阅读 · 2019年4月1日
Call for Participation: Shared Tasks in NLPCC 2019
中国计算机学会
5+阅读 · 2019年3月22日
IEEE | DSC 2019诚邀稿件 (EI检索)
Call4Papers
10+阅读 · 2019年2月25日
A Technical Overview of AI & ML in 2018 & Trends for 2019
待字闺中
18+阅读 · 2018年12月24日
计算机 | CCF推荐会议信息10条
Call4Papers
5+阅读 · 2018年10月18日
计算机视觉近一年进展综述
机器学习研究会
9+阅读 · 2017年11月25日
【学习】Hierarchical Softmax
机器学习研究会
4+阅读 · 2017年8月6日
【今日新增】IEEE Trans.专刊截稿信息8条
Call4Papers
7+阅读 · 2017年6月29日
Arxiv
13+阅读 · 2021年5月25日
Revealing the Dark Secrets of BERT
Arxiv
4+阅读 · 2019年9月11日
Arxiv
3+阅读 · 2018年10月8日
Relational recurrent neural networks
Arxiv
8+阅读 · 2018年6月28日
Arxiv
5+阅读 · 2018年5月1日
Arxiv
4+阅读 · 2018年4月30日
Arxiv
5+阅读 · 2018年1月30日
VIP会员
最新内容
【CMU博士论文】物理世界的视觉感知与深度理解
伊朗战争停火期间美军关键弹药状况分析
专知会员服务
7+阅读 · 4月22日
电子战革命:塑造战场的十年突破(2015–2025)
人工智能即服务与未来战争(印度视角)
专知会员服务
2+阅读 · 4月22日
《美国战争部2027财年军事人员预算》
专知会员服务
2+阅读 · 4月22日
伊朗战争中的电子战
专知会员服务
5+阅读 · 4月22日
大语言模型平台在国防情报应用中的对比
专知会员服务
9+阅读 · 4月22日
相关资讯
计算机 | 国际会议信息5条
Call4Papers
3+阅读 · 2019年7月3日
Hierarchically Structured Meta-learning
CreateAMind
27+阅读 · 2019年5月22日
人工智能 | ISAIR 2019诚邀稿件(推荐SCI期刊)
Call4Papers
6+阅读 · 2019年4月1日
Call for Participation: Shared Tasks in NLPCC 2019
中国计算机学会
5+阅读 · 2019年3月22日
IEEE | DSC 2019诚邀稿件 (EI检索)
Call4Papers
10+阅读 · 2019年2月25日
A Technical Overview of AI & ML in 2018 & Trends for 2019
待字闺中
18+阅读 · 2018年12月24日
计算机 | CCF推荐会议信息10条
Call4Papers
5+阅读 · 2018年10月18日
计算机视觉近一年进展综述
机器学习研究会
9+阅读 · 2017年11月25日
【学习】Hierarchical Softmax
机器学习研究会
4+阅读 · 2017年8月6日
【今日新增】IEEE Trans.专刊截稿信息8条
Call4Papers
7+阅读 · 2017年6月29日
相关论文
Arxiv
13+阅读 · 2021年5月25日
Revealing the Dark Secrets of BERT
Arxiv
4+阅读 · 2019年9月11日
Arxiv
3+阅读 · 2018年10月8日
Relational recurrent neural networks
Arxiv
8+阅读 · 2018年6月28日
Arxiv
5+阅读 · 2018年5月1日
Arxiv
4+阅读 · 2018年4月30日
Arxiv
5+阅读 · 2018年1月30日
Top
微信扫码咨询专知VIP会员