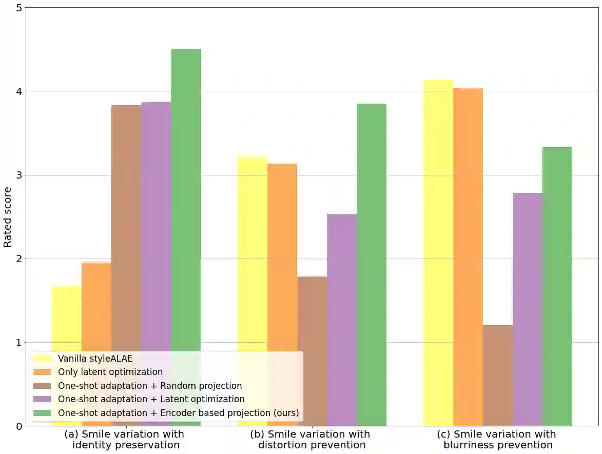
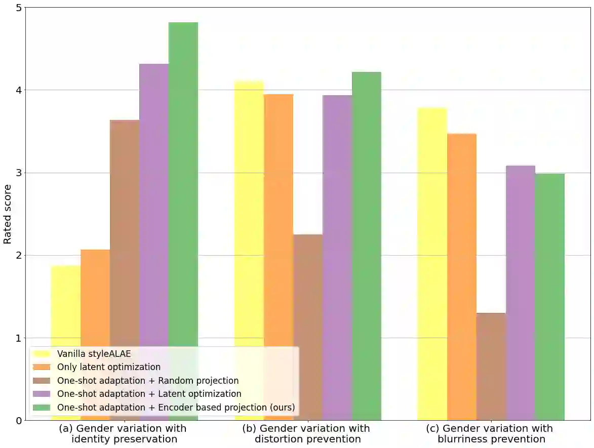
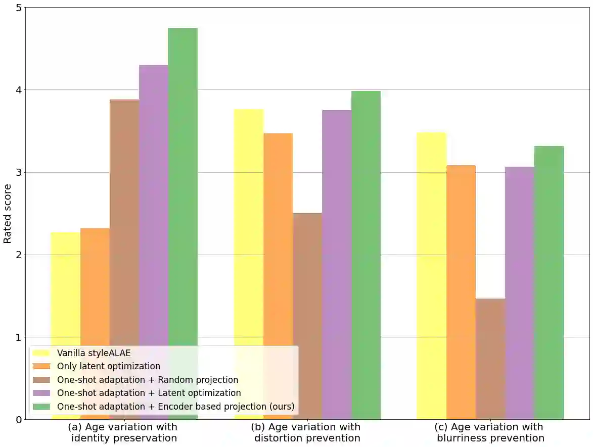
Semantic face editing of real world facial images is an important application of generative models. Recently, multiple works have explored possible techniques to generate such modifications using the latent structure of pre-trained GAN models. However, such approaches often require training an encoder network and that is typically a time-consuming and resource intensive process. A possible alternative to such a GAN-based architecture can be styleALAE, a latent-space based autoencoder that can generate photo-realistic images of high quality. Unfortunately, the reconstructed image in styleALAE does not preserve the identity of the input facial image. This limits the application of styleALAE for semantic face editing of images with known identities. In our work, we use a recent advancement in one-shot domain adaptation to address this problem. Our work ensures that the identity of the reconstructed image is the same as the given input image. We further generate semantic modifications over the reconstructed image by using the latent space of the pre-trained styleALAE model. Results show that our approach can generate semantic modifications on any real world facial image while preserving the identity.


翻译:真实世界面部图像的语义面部编辑是基因模型的一个重要应用。 最近,多部作品探索了利用预先训练过的GAN模型的潜在结构进行这种修改的可能技术。 但是,这类方法往往需要培训编码器网络,通常是一个耗时和资源密集的过程。 以GAN为基础的结构的一个可能的替代方法可以是StyALAE,一个基于潜空的自动编码器,可以生成高质量的照片现实图像。 不幸的是,SysteALAE中重建后的图像无法保存输入面部图像的特性。这限制了StyALE用于对已知身份图像的语义面部编辑的应用。 在我们的工作中,我们利用最近的一次性域适应进展来解决这个问题。我们的工作确保重建后的图像的特性与给定的输入图像相同。我们还利用预先训练过的SyALAE模型的潜在空间对重建后的图像产生语义上的修改。结果显示,我们的方法可以在保存身份的同时对任何真实世界面部图像产生语义上的修改。

0
下载
关闭预览

相关内容

ACM/IEEE第23届模型驱动工程语言和系统国际会议,是模型驱动软件和系统工程的首要会议系列,由ACM-SIGSOFT和IEEE-TCSE支持组织。自1998年以来,模型涵盖了建模的各个方面,从语言和方法到工具和应用程序。模特的参加者来自不同的背景,包括研究人员、学者、工程师和工业专业人士。MODELS 2019是一个论坛,参与者可以围绕建模和模型驱动的软件和系统交流前沿研究成果和创新实践经验。今年的版本将为建模社区提供进一步推进建模基础的机会,并在网络物理系统、嵌入式系统、社会技术系统、云计算、大数据、机器学习、安全、开源等新兴领域提出建模的创新应用以及可持续性。 官网链接:http://www.modelsconference.org/
【CVPR2021】GAN人脸预训练模型
专知会员服务
24+阅读 · 2021年4月10日
专知会员服务
46+阅读 · 2021年4月9日
因果图,Causal Graphs,52页ppt
专知会员服务
253+阅读 · 2020年4月19日
Hierarchically Structured Meta-learning
CreateAMind
27+阅读 · 2019年5月22日
强化学习的Unsupervised Meta-Learning
CreateAMind
18+阅读 · 2019年1月7日
Unsupervised Learning via Meta-Learning
CreateAMind
44+阅读 · 2019年1月3日
gan生成图像at 1024² 的 代码 论文
CreateAMind
4+阅读 · 2017年10月31日
Adversarial Variational Bayes: Unifying VAE and GAN 代码
CreateAMind
7+阅读 · 2017年10月4日
Auto-Encoding GAN
CreateAMind
7+阅读 · 2017年8月4日
Arxiv
13+阅读 · 2021年3月29日
Arxiv
3+阅读 · 2020年7月16日
VIP会员
最新内容
【NTU博士论文】3D人体动作生成
专知会员服务
1+阅读 · 今天14:48
以色列军事技术对美国军力发展的持续性赋能
专知会员服务
7+阅读 · 今天8:46
《深度强化学习在兵棋推演中的应用》40页报告
专知会员服务
9+阅读 · 今天5:37
《多域作战面临复杂现实》
专知会员服务
7+阅读 · 今天5:35
《印度的多域作战:条令与能力发展》报告
专知会员服务
3+阅读 · 今天5:24
Top
微信扫码咨询专知VIP会员