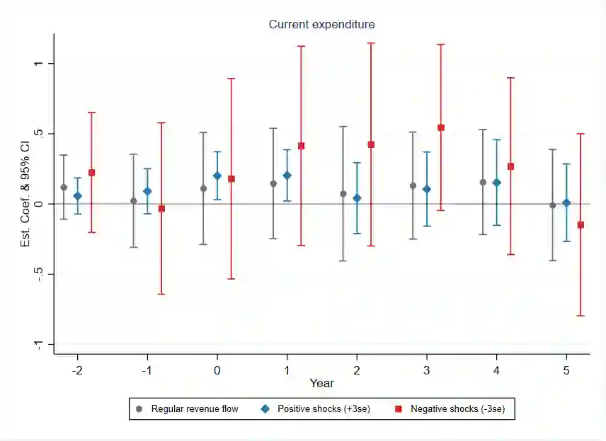
We study the impact of fiscal revenue shocks on local fiscal policy. We focus on the very volatile revenues from the immovable property gains tax in the canton of Zurich, Switzerland, and analyze fiscal behavior following large and rare positive and negative revenue shocks. We apply causal machine learning strategies and implement the post-double-selection LASSO estimator to identify the causal effect of revenue shocks on public finances. We show that local policymakers overall predominantly smooth fiscal shocks. However, we also find some patterns consistent with fiscal conservatism, where positive shocks are smoothed, while negative ones are mitigated by spending cuts.


翻译:我们研究财政收入冲击对地方财政政策的影响。我们关注瑞士苏黎世州不动产收益税非常不稳定的收入,分析在大规模和罕见的正负收入冲击之后的财政行为。 我们采用因果机能学习战略,实施两选后LASSO的估测员,以确定收入冲击对公共财政的因果关系。我们显示,地方决策者总体而言主要是平稳的财政冲击。然而,我们也发现一些模式与财政保守主义一致,积极冲击平缓,而消极冲击则通过削减支出而缓解。

0
下载
关闭预览

相关内容

专知会员服务
45+阅读 · 2020年12月18日
【干货书】机器学习速查手册,135页pdf
专知会员服务
127+阅读 · 2020年11月20日
专知会员服务
41+阅读 · 2020年9月6日
Stabilizing Transformers for Reinforcement Learning
专知会员服务
60+阅读 · 2019年10月17日
强化学习最新教程,17页pdf
专知会员服务
182+阅读 · 2019年10月11日
【哈佛大学商学院课程Fall 2019】机器学习可解释性
专知会员服务
105+阅读 · 2019年10月9日
已删除
将门创投
3+阅读 · 2019年11月25日
19篇ICML2019论文摘录选读!
专知
28+阅读 · 2019年4月28日
RL 真经
CreateAMind
6+阅读 · 2018年12月28日
Hierarchical Disentangled Representations
CreateAMind
4+阅读 · 2018年4月15日
计算机类 | 国际会议信息7条
Call4Papers
3+阅读 · 2017年11月17日
Auto-Encoding GAN
CreateAMind
7+阅读 · 2017年8月4日
Arxiv
0+阅读 · 2021年3月15日
VIP会员
最新内容
超越网格:作战环境对炮兵的影响
专知会员服务
0+阅读 · 22分钟前
KDD 2026 | MixRAGRec:面向LLM推荐的混合专家KG-RAG框架
BES:让语言模型通过双向进化搜索自我改进
专知会员服务
4+阅读 · 5月30日
以色列-美国-伊朗战争中的无人机:关键要点
专知会员服务
4+阅读 · 5月30日
《Palantir任务保障性软件安全标准(MA-S2)》
专知会员服务
14+阅读 · 5月30日
基于声学的无人机检测技术综述
专知会员服务
8+阅读 · 5月30日
《当代混合战争分析框架:俄乌战争经验教训》
相关VIP内容
专知会员服务
45+阅读 · 2020年12月18日
【干货书】机器学习速查手册,135页pdf
专知会员服务
127+阅读 · 2020年11月20日
专知会员服务
41+阅读 · 2020年9月6日
Stabilizing Transformers for Reinforcement Learning
专知会员服务
60+阅读 · 2019年10月17日
强化学习最新教程,17页pdf
专知会员服务
182+阅读 · 2019年10月11日
【哈佛大学商学院课程Fall 2019】机器学习可解释性
专知会员服务
105+阅读 · 2019年10月9日
相关资讯
已删除
将门创投
3+阅读 · 2019年11月25日
19篇ICML2019论文摘录选读!
专知
28+阅读 · 2019年4月28日
RL 真经
CreateAMind
6+阅读 · 2018年12月28日
Hierarchical Disentangled Representations
CreateAMind
4+阅读 · 2018年4月15日
计算机类 | 国际会议信息7条
Call4Papers
3+阅读 · 2017年11月17日
Auto-Encoding GAN
CreateAMind
7+阅读 · 2017年8月4日
Top
微信扫码咨询专知VIP会员