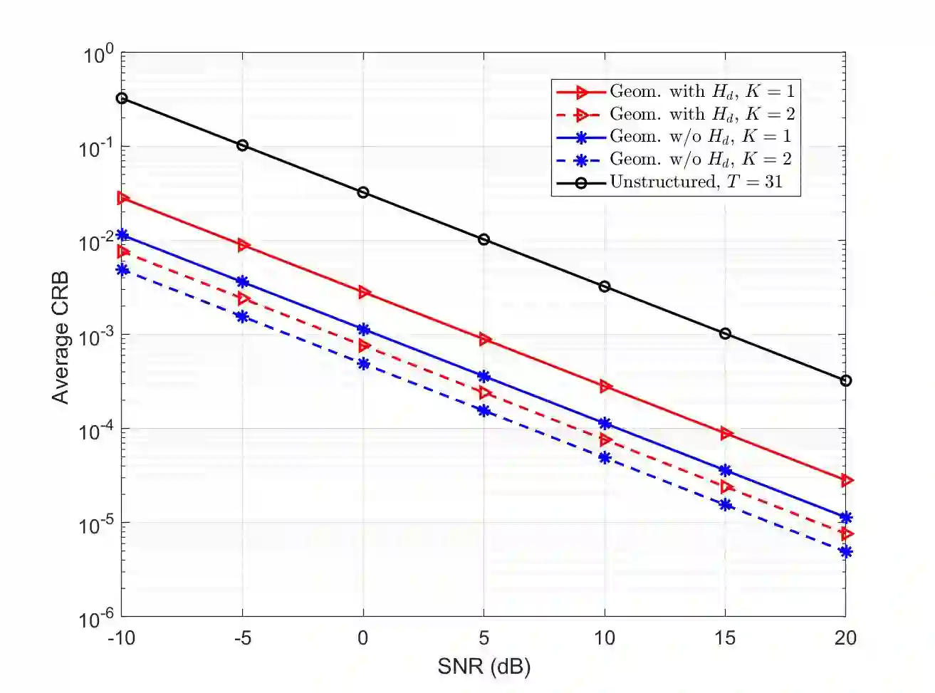
Optimally extracting the advantages available from reconfigurable intelligent surfaces (RISs) in wireless communications systems requires estimation of the channels to and from the RIS. The process of determining these channels is complicated by the fact that the RIS is typically composed of passive elements without any data processing capabilities, and thus the channels must be estimated indirectly by a non-colocated device, typically a controlling base station. In this article, we examine channel estimation for RIS-based systems from a fundamental viewpoint. We study various possible channel models and the identifiability of the models as a function of the available pilot data and behavior of the RIS during training. In particular, we consider situations with and without line-of-sight propagation, single- and multiple-antenna configurations for the users and base station, correlated and sparse channel models, single-carrier and wideband OFDM scenarios, availability of direct links between the users and base station, exploitation of prior information, as well as a number of other special cases. We further conduct numerical comparisons of achievable performance for various channel models using the relevant Cramer-Rao bounds.


翻译:在无线通信系统中,从可重新配置的智能表面(RIS)中充分提取现有优势,需要估计进入和进入RIS的渠道。确定这些渠道的过程由于以下事实而变得复杂:RIS通常由被动元素组成,没有任何数据处理能力,因此,频道必须间接地由一个非合用装置,通常是一个控制基地站来估计。在本篇文章中,我们从一个基本角度审查基于RIS的系统的频道估计;我们研究各种可能的频道模型,以及模型的可识别性,作为在培训期间可得到的试验性数据和RIS行为的一种功能。我们特别考虑使用相关Cramer-Rao界限的各种频道模型,对各种频道模型的可实现性能进行数字比较,使用相关Cramer-Rao界限。

0
下载
关闭预览

相关内容

专知会员服务
32+阅读 · 2021年6月12日
专知会员服务
52+阅读 · 2020年12月14日
Linux导论,Introduction to Linux,96页ppt
专知会员服务
82+阅读 · 2020年7月26日
《DeepGCNs: Making GCNs Go as Deep as CNNs》
专知会员服务
32+阅读 · 2019年10月17日
机器学习入门的经验与建议
专知会员服务
94+阅读 · 2019年10月10日
【SIGGRAPH2019】TensorFlow 2.0深度学习计算机图形学应用
专知会员服务
41+阅读 · 2019年10月9日
计算机 | 国际会议信息5条
Call4Papers
3+阅读 · 2019年7月3日
计算机 | 入门级EI会议ICVRIS 2019诚邀稿件
Call4Papers
10+阅读 · 2019年6月24日
CCF推荐 | 国际会议信息10条
Call4Papers
8+阅读 · 2019年5月27日
人工智能 | SCI期刊专刊信息3条
Call4Papers
5+阅读 · 2019年1月10日
A Technical Overview of AI & ML in 2018 & Trends for 2019
待字闺中
18+阅读 · 2018年12月24日
人工智能 | ICAPS 2019等国际会议信息3条
Call4Papers
3+阅读 · 2018年9月28日
人工智能 | AAAI 2019等国际会议信息7条
Call4Papers
5+阅读 · 2018年9月3日
人工智能 | 国际会议截稿信息9条
Call4Papers
4+阅读 · 2018年3月13日
【计算机类】期刊专刊/国际会议截稿信息6条
Call4Papers
3+阅读 · 2017年10月13日
Arxiv
0+阅读 · 2021年11月25日
A General and Adaptive Robust Loss Function
Arxiv
8+阅读 · 2018年11月5日
VIP会员
最新内容
《系统簇式多域作战规划范畴论框架》
专知会员服务
2+阅读 · 今天14:54
高效视频扩散模型:进展与挑战
专知会员服务
0+阅读 · 今天13:34
乌克兰前线的五项创新
专知会员服务
6+阅读 · 今天6:14
 军事通信系统与设备的技术演进综述
专知会员服务
4+阅读 · 今天5:59
《北约标准:医疗评估手册》174页
专知会员服务
4+阅读 · 今天5:51
《提升生成模型的安全性与保障》博士论文
专知会员服务
4+阅读 · 今天5:47
美国当前高超音速导弹发展概述
专知会员服务
4+阅读 · 4月19日
无人机蜂群建模与仿真方法
专知会员服务
13+阅读 · 4月19日
相关资讯
计算机 | 国际会议信息5条
Call4Papers
3+阅读 · 2019年7月3日
计算机 | 入门级EI会议ICVRIS 2019诚邀稿件
Call4Papers
10+阅读 · 2019年6月24日
CCF推荐 | 国际会议信息10条
Call4Papers
8+阅读 · 2019年5月27日
人工智能 | SCI期刊专刊信息3条
Call4Papers
5+阅读 · 2019年1月10日
A Technical Overview of AI & ML in 2018 & Trends for 2019
待字闺中
18+阅读 · 2018年12月24日
人工智能 | ICAPS 2019等国际会议信息3条
Call4Papers
3+阅读 · 2018年9月28日
人工智能 | AAAI 2019等国际会议信息7条
Call4Papers
5+阅读 · 2018年9月3日
人工智能 | 国际会议截稿信息9条
Call4Papers
4+阅读 · 2018年3月13日
【计算机类】期刊专刊/国际会议截稿信息6条
Call4Papers
3+阅读 · 2017年10月13日
Top
微信扫码咨询专知VIP会员