对于长尾目标检测任务来说,线性分类器中不同类别对应的参数向量的模值呈现一个极度不均衡的分布。这种分类器参数模值的分布不均会产生病态的分类边界(下图(a)),使得分类器参数模值较小的类别有接近于零的精度。余弦分类器可以避免由于分类器参数模值分布不均导致的病态的分类边界,但是其分类边界位于两个类别对应分类器参数向量的角分线上(下图(b)),没有考虑到类别的特性。

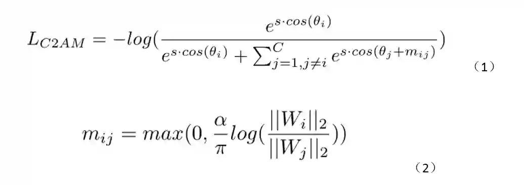
直觉上说,样本丰富度比较小的类别在分类空间中应该占据较小的区域。为了使网络为尾部类别学习到一个更加紧凑和本质的特征表示,我们提出了一种类别感知的角度间隔损失(Category-Aware Angular Margin Loss,C2AM Loss),通过加入与类别相关的自适应的角度间隔来对不同类别间的分类边界进行调整。具体的公式如式(1)(2)所示。

该方法对比基线方法有显著的性能提升(4.9%~5.2% APm),并且在LVIS数据集上超越了当前的长尾目标检测算法,实现了同期的最好性能。

图. 不同条件下的分类边界示意图

作者:Tong Wang, Yousong Zhu, Yingying Chen, Chaoyang Zhao, Bin Yu, Jinqiao Wang, Ming Tang

成为VIP会员查看完整内容
7

相关内容

CVPR 2022 将于2022年 6 月 21-24 日在美国的新奥尔良举行。CVPR是IEEE Conference on Computer Vision and Pattern Recognition的缩写,即IEEE国际计算机视觉与模式识别会议。该会议是由IEEE举办的计算机视觉和模式识别领域的顶级会议,会议的主要内容是计算机视觉与模式识别技术。

知识荟萃

精品入门和进阶教程、论文和代码整理等

更多

查看相关VIP内容、论文、资讯等
专知会员服务
60+阅读 · 2021年3月17日
近期必读的六篇 ICML 2020【对比学习】相关论文
专知会员服务
57+阅读 · 2020年9月15日
【MIT】反偏差对比学习,Debiased Contrastive Learning
专知会员服务
92+阅读 · 2020年7月4日
18篇CVPR 2022 中科院自动化所新作速览!
专知
4+阅读 · 2022年3月20日
CVPR 2022 | 自动化所新作速览!(下)
中国科学院自动化研究所
2+阅读 · 2022年3月17日
度量学习中的pair-based loss
极市平台
65+阅读 · 2019年7月17日
CosFace: Large Margin Cosine Loss for Deep Face Recognition论文笔记
统计学习与视觉计算组
44+阅读 · 2018年4月25日
Relation Networks for Object Detection 论文笔记
统计学习与视觉计算组
16+阅读 · 2018年4月18日
Focal Loss for Dense Object Detection
统计学习与视觉计算组
12+阅读 · 2018年3月15日
国家自然科学基金
1+阅读 · 2015年12月31日
国家自然科学基金
4+阅读 · 2014年12月31日
国家自然科学基金
0+阅读 · 2013年12月31日
国家自然科学基金
1+阅读 · 2013年12月31日
国家自然科学基金
1+阅读 · 2013年12月31日
国家自然科学基金
0+阅读 · 2013年12月31日
国家自然科学基金
1+阅读 · 2012年12月31日
国家自然科学基金
0+阅读 · 2009年12月31日
国家自然科学基金
0+阅读 · 2008年12月31日
Arxiv
0+阅读 · 2022年4月18日
Object Detection in 20 Years: A Survey
Arxiv
48+阅读 · 2019年5月13日
VIP会员
最新内容
人工智能在战场行动中的演进及伊朗案例
专知会员服务
7+阅读 · 4月18日
美AI公司Anthropic推出网络安全模型“Mythos”
专知会员服务
4+阅读 · 4月18日
【博士论文】面向城市环境的可解释计算机视觉
大语言模型的自改进机制:技术综述与未来展望
《第四代军事特种作战部队选拔与评估》
专知会员服务
3+阅读 · 4月18日
相关VIP内容
相关资讯
18篇CVPR 2022 中科院自动化所新作速览!
专知
4+阅读 · 2022年3月20日
CVPR 2022 | 自动化所新作速览!(下)
中国科学院自动化研究所
2+阅读 · 2022年3月17日
度量学习中的pair-based loss
极市平台
65+阅读 · 2019年7月17日
CosFace: Large Margin Cosine Loss for Deep Face Recognition论文笔记
统计学习与视觉计算组
44+阅读 · 2018年4月25日
Relation Networks for Object Detection 论文笔记
统计学习与视觉计算组
16+阅读 · 2018年4月18日
Focal Loss for Dense Object Detection
统计学习与视觉计算组
12+阅读 · 2018年3月15日
相关基金
国家自然科学基金
1+阅读 · 2015年12月31日
国家自然科学基金
4+阅读 · 2014年12月31日
国家自然科学基金
0+阅读 · 2013年12月31日
国家自然科学基金
1+阅读 · 2013年12月31日
国家自然科学基金
1+阅读 · 2013年12月31日
国家自然科学基金
0+阅读 · 2013年12月31日
国家自然科学基金
1+阅读 · 2012年12月31日
国家自然科学基金
0+阅读 · 2009年12月31日
国家自然科学基金
0+阅读 · 2008年12月31日
微信扫码咨询专知VIP会员