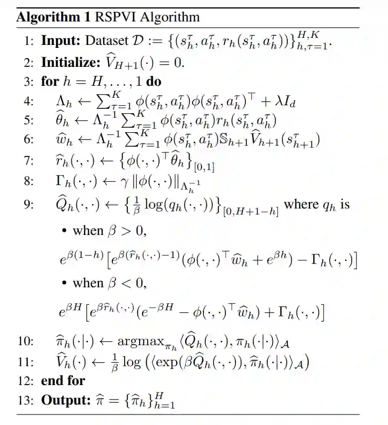
我们研究了风险敏感强化学习(RL),这是一个关键领域,因为它能够在需要管理不确定性和最小化潜在不良结果的情况下增强决策能力。特别是,我们的工作重点是将熵风险度量应用于强化学习问题。尽管现有文献主要研究在线环境,但在如何仅使用预先收集的数据集高效地导出基于这种风险度量的近最优策略方面仍存在很大空白。我们聚焦于线性马尔可夫决策过程(MDP)设置,这是一种备受推崇的理论框架,但尚未从风险敏感的角度进行过研究。对此,我们引入了两种可证明样本效率的算法。我们首先提出了一种风险敏感的悲观值迭代算法,通过利用风险敏感性能度量的结构提供了紧密的分析。为了进一步改善所获得的界限,我们提出了另一种利用方差信息和参考优势分解的悲观算法,有效地改进了对空间维度ddd 和风险敏感因子的依赖性。据我们所知,这是首次获得可证明有效的风险敏感离线强化学习算法。

成为VIP会员查看完整内容
25

相关内容

【ICML2023】面向决策Transformer的未来条件无监督预训练
专知会员服务
44+阅读 · 2023年5月30日
【ICML2023】多任务分层对抗逆强化学习
专知会员服务
22+阅读 · 2023年5月25日
【NeurIPS2022】分布式自适应元强化学习
专知会员服务
24+阅读 · 2022年10月8日
【CVPR2022】提示分布学习
专知会员服务
31+阅读 · 2022年5月17日
专知会员服务
33+阅读 · 2021年9月7日
专知会员服务
24+阅读 · 2021年7月10日
【NAACL2021】信息解缠正则化持续学习的文本分类
专知会员服务
22+阅读 · 2021年4月11日
专知会员服务
19+阅读 · 2020年10月13日
【ICML2020】持续终身学习的神经主题建模
专知会员服务
40+阅读 · 2020年6月22日
基于模型的强化学习综述
专知
42+阅读 · 2022年7月13日
【MIT】硬负样本的对比学习
专知
13+阅读 · 2020年10月15日
【KDD2020】图神经网络生成式预训练
专知
23+阅读 · 2020年7月3日
关于强化学习(附代码,练习和解答)
深度学习
38+阅读 · 2018年1月30日
MNIST入门:贝叶斯方法
Python程序员
23+阅读 · 2017年7月3日
国家自然科学基金
9+阅读 · 2015年12月31日
国家自然科学基金
17+阅读 · 2015年12月31日
国家自然科学基金
2+阅读 · 2015年12月31日
国家自然科学基金
47+阅读 · 2015年12月31日
国家自然科学基金
31+阅读 · 2015年12月31日
国家自然科学基金
12+阅读 · 2015年12月31日
国家自然科学基金
6+阅读 · 2014年12月31日
国家自然科学基金
5+阅读 · 2014年12月31日
国家自然科学基金
2+阅读 · 2014年12月31日
国家自然科学基金
16+阅读 · 2013年12月31日
Arxiv
176+阅读 · 2023年4月20日
A Survey of Large Language Models
Arxiv
501+阅读 · 2023年3月31日
Arxiv
83+阅读 · 2023年3月26日
Arxiv
182+阅读 · 2023年3月24日
Arxiv
27+阅读 · 2023年3月17日
VIP会员
最新内容
《系统簇式多域作战规划范畴论框架》
专知会员服务
2+阅读 · 今天14:54
高效视频扩散模型:进展与挑战
专知会员服务
0+阅读 · 今天13:34
乌克兰前线的五项创新
专知会员服务
6+阅读 · 今天6:14
 军事通信系统与设备的技术演进综述
专知会员服务
4+阅读 · 今天5:59
《北约标准:医疗评估手册》174页
专知会员服务
4+阅读 · 今天5:51
《提升生成模型的安全性与保障》博士论文
专知会员服务
4+阅读 · 今天5:47
美国当前高超音速导弹发展概述
专知会员服务
4+阅读 · 4月19日
无人机蜂群建模与仿真方法
专知会员服务
13+阅读 · 4月19日
相关VIP内容
【ICML2023】面向决策Transformer的未来条件无监督预训练
专知会员服务
44+阅读 · 2023年5月30日
【ICML2023】多任务分层对抗逆强化学习
专知会员服务
22+阅读 · 2023年5月25日
【NeurIPS2022】分布式自适应元强化学习
专知会员服务
24+阅读 · 2022年10月8日
【CVPR2022】提示分布学习
专知会员服务
31+阅读 · 2022年5月17日
专知会员服务
33+阅读 · 2021年9月7日
专知会员服务
24+阅读 · 2021年7月10日
【NAACL2021】信息解缠正则化持续学习的文本分类
专知会员服务
22+阅读 · 2021年4月11日
专知会员服务
19+阅读 · 2020年10月13日
【ICML2020】持续终身学习的神经主题建模
专知会员服务
40+阅读 · 2020年6月22日
相关资讯
相关基金
国家自然科学基金
9+阅读 · 2015年12月31日
国家自然科学基金
17+阅读 · 2015年12月31日
国家自然科学基金
2+阅读 · 2015年12月31日
国家自然科学基金
47+阅读 · 2015年12月31日
国家自然科学基金
31+阅读 · 2015年12月31日
国家自然科学基金
12+阅读 · 2015年12月31日
国家自然科学基金
6+阅读 · 2014年12月31日
国家自然科学基金
5+阅读 · 2014年12月31日
国家自然科学基金
2+阅读 · 2014年12月31日
国家自然科学基金
16+阅读 · 2013年12月31日
微信扫码咨询专知VIP会员