作者 | 黄锋审核 | 付海涛

 今天给大家介绍腾讯AI Lab赵沛霖博士团队以及德克萨斯大学阿灵顿分校黄俊洲教授团队、深圳大学欧阳乐教授团队近期(20220922)上传到ArXiv上的论文“MARS: A Motif-based Autoregressive Model for Retrosynthesis Prediction”。这篇论文将逆合成预测问题建模为图生成问题,并提出新的端到端训练的自回归模型。标准数据上的实验证明,对比于SOTA方法,所提出的模型有了重大提升。

方法

  上图展示了这篇论文提出的方法的反应物生成过程。Edit 和 AddingMotif 指图形转换操作,其中 Edit 阶段描述从产物到合成子的键和原子变化,并起到反应中心识别的作用,而 AddingMotif 阶段通过向合成子添加适当motif来进行合成子补全。输入分子图由图形神经网络(GNN)编码,而递归神经网络(RNN)则按顺序预测图形转换操作。在 Edit 阶段,RNN 预测一系列 Edit 操作,直到 FinishEdit 指示 Edit 阶段的结束以及 AddingMotif 阶段的开始。在 AddingMotif 阶段,RNN 依次添加motif,直到没有附着原子(用粉红色突出显示)留下。在上图示例中,第一个 Edit 操作应用于 S=O 键,新键类型为 None,表示删除键。对于 AddingMotif 操作,motif 中的接口原子(绿色)和 合成子/中间产物中的附着原子表示相同的原子,并在将 motif 附加到合成子/中间产物时合并为单个原子。

转换路径构建

  序列地模拟逆合成过程需要将其转化成序列。首先将逆合成看作两个阶段,即上述Edit阶段和AddingMotif阶段。前者用三元组的形式定义token,(编辑行为,编辑对象,编辑状态),例如上图中的(edit,b,none)表示在图(a)所示的逆合成过程中反应中心是化学键b而none表示编辑后该键的状态是none即删除了化学键b;后者对于输入序列token包含AddingMotif和添加motif的对象附着原子的索引,而对目标序列token包含AddingMotif和motif索引以及motif中与附着原子对应的接口原子。添加辅助token Start和FinishEdit,以此将所有产物的逆合成过程描述为转换路径,包含一条输入序列和一条输出序列。而后,该模型在序列上用自回归形式进行学习。构建序列更详细的内容请参看原文。

图编码器

  这篇论文使用简单的消息传递神经网络MPNN来编码分子图:  

自回归模型

  自回归模型的生成过程可以表示成一个联合条件分布:   这篇论文据定义的token,将其改造为:

接着用RNN对其建模:

这里的指的是预测图编辑行为。 如果预测的行为是Edit,GRU中的input进行如下更新:

这里的和是对编辑对象的预测以及对编辑对象的新键类型进行预测。如果预测的行为是FinishEdit,此时代表合成子分解完成,开始进行添加motif操作,GRU中的input进行如下更新:

其中附着原子根据其在分子图中的索引进行存储。 如果预测的行为是AddingMotif,则模型需要预测添加的motif以及对应的接口原子:

接着更新input到下一个token:

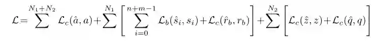
训练

训练目标是将上述预测跟真实值之间的损失总和:

推断时采用束搜索策略。更详细的过程请参看原文。

实验结果

其余实验结果请参看原文。

参考文献

文章地址

https://arxiv.org/abs/2209.13178

成为VIP会员查看完整内容
10

相关内容

医学领域的人工智能是使用机器学习模型搜索医疗数据,发现洞察,从而帮助改善健康状况和患者体验。 得益于近年来计算机科学和信息技术的发展,人工智能 (AI) 正迅速成为现代医学中不可或缺的一部分。 由人工智能支持的人工智能算法和其他应用程序正在为临床和研究领域的医学专业人员提供支持。
DiffSBDD:利用等变扩散模型进行基于结构的药物设计
专知会员服务
14+阅读 · 2022年11月7日
用于分子Linker设计的等变3D条件扩散模型
专知会员服务
6+阅读 · 2022年10月24日
用蛋白语言模型改进蛋白复合物预测
专知会员服务
10+阅读 · 2022年9月25日
高精度从头设计透膜环肽分子
专知会员服务
3+阅读 · 2022年9月6日
逆合成预测的学习图模型
专知会员服务
7+阅读 · 2022年7月29日
JCIM | 基于条件VAE的多目标分子优化
专知会员服务
6+阅读 · 2022年7月16日
综述分享 | 计算机辅助化合物逆合成预测
专知会员服务
9+阅读 · 2022年6月22日
自回归模型:PixelCNN
专知会员服务
29+阅读 · 2020年3月21日
【论文笔记】基于BERT的知识图谱补全
专知
116+阅读 · 2019年9月15日
国家自然科学基金
1+阅读 · 2013年12月31日
国家自然科学基金
0+阅读 · 2011年12月31日
国家自然科学基金
0+阅读 · 2011年12月31日
国家自然科学基金
0+阅读 · 2011年12月31日
国家自然科学基金
0+阅读 · 2011年12月31日
国家自然科学基金
0+阅读 · 2009年12月31日
国家自然科学基金
0+阅读 · 2009年12月31日
国家自然科学基金
0+阅读 · 2008年12月31日
Arxiv
14+阅读 · 2022年8月25日
Arxiv
12+阅读 · 2021年7月26日
Object Detection in 20 Years: A Survey
Arxiv
48+阅读 · 2019年5月13日
Arxiv
26+阅读 · 2018年2月27日
VIP会员
最新内容
人工智能即服务与未来战争(印度视角)
专知会员服务
0+阅读 · 今天7:57
《美国战争部2027财年军事人员预算》
专知会员服务
0+阅读 · 今天7:44
伊朗战争中的电子战
专知会员服务
3+阅读 · 今天7:04
大语言模型平台在国防情报应用中的对比
专知会员服务
5+阅读 · 今天3:12
美海军“超配项目”
专知会员服务
6+阅读 · 今天2:13
《美陆军条例:陆军指挥政策(2026版)》
专知会员服务
10+阅读 · 4月21日
相关VIP内容
DiffSBDD:利用等变扩散模型进行基于结构的药物设计
专知会员服务
14+阅读 · 2022年11月7日
用于分子Linker设计的等变3D条件扩散模型
专知会员服务
6+阅读 · 2022年10月24日
用蛋白语言模型改进蛋白复合物预测
专知会员服务
10+阅读 · 2022年9月25日
高精度从头设计透膜环肽分子
专知会员服务
3+阅读 · 2022年9月6日
逆合成预测的学习图模型
专知会员服务
7+阅读 · 2022年7月29日
JCIM | 基于条件VAE的多目标分子优化
专知会员服务
6+阅读 · 2022年7月16日
综述分享 | 计算机辅助化合物逆合成预测
专知会员服务
9+阅读 · 2022年6月22日
自回归模型:PixelCNN
专知会员服务
29+阅读 · 2020年3月21日
相关资讯
相关基金
国家自然科学基金
1+阅读 · 2013年12月31日
国家自然科学基金
0+阅读 · 2011年12月31日
国家自然科学基金
0+阅读 · 2011年12月31日
国家自然科学基金
0+阅读 · 2011年12月31日
国家自然科学基金
0+阅读 · 2011年12月31日
国家自然科学基金
0+阅读 · 2009年12月31日
国家自然科学基金
0+阅读 · 2009年12月31日
国家自然科学基金
0+阅读 · 2008年12月31日
微信扫码咨询专知VIP会员