论文浅尝 | AAAI2020 - 基于规则的知识图谱组合表征学习

2020 年 5 月 1 日 开放知识图谱

论文笔记整理:康矫健,浙江大学计算机科学与技术系,硕士研究生。


            

论文链接:https://arxiv.org/pdf/1911.08935.pdf

发表会议:AAAI 2020

  • Motivation

  1. 现有的KG Embedding方法大部分仅关注每个三元组的结构化信息

  2. 有部分的工作把KG中的路径信息考虑在内而不仅仅是每次只考虑单个三元组,但是这种方法在获得路径表示的时候缺乏可解释性。

  3. 因此本文提出一种基于规则和路径的知识图谱表征学习方法,能够充分利用logic rules的可解释性和准确性。

 

  • Model

1. 挖掘规则:利用现有KG中的规则挖掘工具(如AMIE)自动从KG中抽取出规则,总共两类,包括长度为1的规则和长度为2的规则,每条规则有一个置信度              

             

2. 挖掘KG中实体之间的路径:利用PtransE自动挖掘头实体h和尾实体t之间存在的路径p,每条路径p有一个置信度                            

3. 利用挖掘出来的规则和实体之间的路径做实体的组合表征学习。

             

如上图所示PtransE挖掘出实体David和USA之间的一条路径如下

             

AMIE挖掘出2条长度为2的规则

             

             

一条长度为1的规则

             

之后用长度为2的规则对路径做composition,其中长度为2的规则中的第一条可以将

             

组合成

             

之后长度为2的规则中的第二条可以将

             

组合成

             

之后根据长度为1的规则,我们需要让

                           的embedding之间的距离尽可能接近。

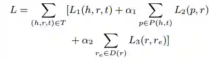
4. 损失函数

             

总共三个score function。

其中第一个score function源于TransE,不做过多解释。

第二个score function              表示利用PtransE挖掘出来的h和t之间路径p的置信度,                            表示组合路径p使用的所有长度为2的规则的置信度集合,              表示其中使用的第i条的置信度。                            表示最终通过长度为2的规则组合出来的路径embeding,有两种情况,一种是最终路径只剩下一个关系,那么              就是这个关系的embedding,否则              就是路径剩下所有关系embedding相加。

第三个score function                                          分别是长度为1的规则中的两个关系。

最终的损失函数为

             

其中

             

分别是对对应三个score function的Margin Loss损失函数,其中第一个损失函数的负样本是随机将h、r、t替换掉;第二个损失函数及第三个是随机替换掉关系。

 

5. 模型整体框架如下

             

  • Experiment

  1. 数据集情况:总共使用4个数据集。FB15K和FB15K-237是从Freebase中抽取的,WN18从WordNet中抽取,NELL-995从NELL中抽取。其中FB15-237是不包括inverse关系的,因此FB15K和FB15K-237一般被认为是两个不一样的数据集。

             

  1. 本文做的实验包括relation prediction和entity prediction。

  2. 利用AMIE+挖掘出来的规则如下,每条规则会有一个0到1的阈值

             

  1. 评估指标

MR:the mean rank of correct entities

MRR:the mean reciprocal rank of correct entities

Hits@n :the proportion of test triples for which correct entity is ranked in the top n predictions

  1. 一个三元组的socre如下

             

  1. baseline的选择:第一种是TransE、TransR、TransH等Embedding methods;第二种是path-based的methods,如PtransE和DPTransE等。

  2. 第一个实验:rule置信度和路径长度对最终模型性能的影响

             

我们可以看到RPJE-S2的性能优于RPJE-S3说明采用长度最多为2的路径要优于采用长度最多为3的路径,这说明路径长度过长会使得在path composition的过程中引入过多噪音导致准确率下降。

RPJE-S2性能优于PTransE说明引入规则能够带来性能提升;

RPJE-S2性能优于RPJE-min说明规则的置信度需要引入到模型中,并更多关注那些置信度高的规则。

最终路径长度选择2,并过滤掉那些置信度小于0.7的规则

  1. 第二个实验:FB15K上的relation prediction和entity prediction,以及FB15K-237上的entity prediction。可以发现RPJE在所有指标上都比baseline好,说明了引入规则和路径的有效性。值得注意的是FB15-237中是没有inverse relation的,那么此时因此rules更能挖掘出关系之间的联系。

                           

             

  1. 第三个实验:在WN18和NELL-995是关系很稀疏的两个数据集,因此可以挖掘的规则和路径少,但是RPJE仍然好于baseline,只是提升的程度比FB15K上的少,这说明RPJE可以在各种类型的KG中都有很好的表现,但是更能在那些关系比较多的KG中有好的表现。

             

  1. 第四个实验:引入规则为我们提供了可解释性。

             

例如我们挖掘的规则中有上面这样一条规则,那么在测试的时候我们就知道在预测出来x和y之间有filmlanguage的时候的依据是什么。





 

OpenKG


开放知识图谱(简称 OpenKG)旨在促进中文知识图谱数据的开放与互联,促进知识图谱和语义技术的普及和广泛应用。

点击阅读原文,进入 OpenKG 博客。


登录查看更多
3

相关内容

在机器学习中,表征学习或表示学习是允许系统从原始数据中自动发现特征检测或分类所需的表示的一组技术。这取代了手动特征工程,并允许机器学习特征并使用它们执行特定任务。在有监督的表征学习中,使用标记的输入数据来学习特征,包括监督神经网络,多层感知器和(监督)字典学习。在无监督表征学习中,特征是与未标记的输入数据一起学习的,包括字典学习,独立成分分析,自动编码器,矩阵分解和各种形式的聚类。
【斯坦福大学-论文】实体上下文关系路径的知识图谱补全
【AAAI2020知识图谱论文概述】Knowledge Graphs @ AAAI 2020
专知会员服务
134+阅读 · 2020年2月13日
17篇知识图谱Knowledge Graphs论文 @AAAI2020
专知会员服务
173+阅读 · 2020年2月13日
AAAI2020接受论文列表,1591篇论文目录全集
专知会员服务
100+阅读 · 2020年1月12日
论文浅尝 | 面向知识图谱补全的共享嵌入神经网络模型
开放知识图谱
31+阅读 · 2019年4月7日
论文浅尝 | 基于属性嵌入的知识图谱间实体对齐方法
开放知识图谱
30+阅读 · 2019年3月26日
论文浅尝 | 用对抗学习做知识表示(NAACL2018)
开放知识图谱
5+阅读 · 2019年1月2日
论文浅尝 | 用可微的逻辑规则学习完成知识库推理
开放知识图谱
14+阅读 · 2018年7月5日
论文浅尝 | Reinforcement Learning for Relation Classification
开放知识图谱
9+阅读 · 2017年12月10日
Arxiv
3+阅读 · 2019年3月1日
Symbolic Priors for RNN-based Semantic Parsing
Arxiv
3+阅读 · 2018年9月20日
VIP会员
最新内容
美军MAVEN项目全面解析:算法战架构
专知会员服务
14+阅读 · 今天8:36
从俄乌战场看“马赛克战”(万字长文)
专知会员服务
8+阅读 · 今天8:19
最新“指挥控制”领域出版物合集(16份)
专知会员服务
15+阅读 · 4月12日
面向军事作战需求开发的人工智能(RAIMOND)
专知会员服务
20+阅读 · 4月12日
远程空中优势:新一代超视距导弹的兴起
专知会员服务
4+阅读 · 4月12日
大语言模型溯因推理的统一分类学与综述
专知会员服务
6+阅读 · 4月12日
相关VIP内容
【斯坦福大学-论文】实体上下文关系路径的知识图谱补全
【AAAI2020知识图谱论文概述】Knowledge Graphs @ AAAI 2020
专知会员服务
134+阅读 · 2020年2月13日
17篇知识图谱Knowledge Graphs论文 @AAAI2020
专知会员服务
173+阅读 · 2020年2月13日
AAAI2020接受论文列表,1591篇论文目录全集
专知会员服务
100+阅读 · 2020年1月12日
相关资讯
论文浅尝 | 面向知识图谱补全的共享嵌入神经网络模型
开放知识图谱
31+阅读 · 2019年4月7日
论文浅尝 | 基于属性嵌入的知识图谱间实体对齐方法
开放知识图谱
30+阅读 · 2019年3月26日
论文浅尝 | 用对抗学习做知识表示(NAACL2018)
开放知识图谱
5+阅读 · 2019年1月2日
论文浅尝 | 用可微的逻辑规则学习完成知识库推理
开放知识图谱
14+阅读 · 2018年7月5日
论文浅尝 | Reinforcement Learning for Relation Classification
开放知识图谱
9+阅读 · 2017年12月10日
Top
微信扫码咨询专知VIP会员