WWW2022|去芜存菁:基于互信息压缩的紧致图结构学习

2022 年 1 月 21 日 专知
作者:北邮GAMMA Lab硕士生 刘念
题目:Compact Graph Structure Learning via Mutual Information Compression
会议:TheWebConf 2022
论文链接 https://arxiv.org/abs/2201.05540
图神经网络依赖于良好的图结构已经是共识,在图结构被广泛关注的今天,我们言必称图结构有用。但实际中会发现其又并不全是有用信息,毕竟图数据的结构复杂多样,信息繁多。那么一个本质问题出现了:能否原则性地指出何为最优的图结构?怎样可以定义最优?

1 介绍

图结构学习(GSL)的目的是同时学习最优图结构以及图神经网络(GNNs)参数,可大致分为基于单视图和基于多视图两类。其中,基于多视图的GSL能从原始结构中抽取出多个 基础视图,利用多方面的知识,从而来综合评估最优的 最终视图,例如GEN[1]。那么, 如何有原则地从多个视图中评估出最优结构,如何定义“最优” 的概念,尚未有理论的指导。我们认为,直观上,最优图结构应该满足如下要求: 仅包含关于下游任务中最精简的信息,不多不少包含下游任务中的相关信息,可以保证对下游任务的预测准确性;而这种信息又需要不多不少,则可以避免除了与下游任务相关信息之外的冗余信息或者噪音信息,保证鲁棒性。总结来,即:少一点信息,不够准确;多一点信息,不够鲁棒。满足这些要求,我们称其为最优结构,命名为 最小充分结构,即包含最小但却充分的关于标签的信息,它是有效性和鲁棒性的平衡。
然而,获得这样一个最小充分结构需要解决两个挑战:
(1)如何确保最终视图的最小以及充分 首先是如何将这一准则形式化。为了达到充分,最终视图应充分由标签指导,从而尽可能包含和标签有关的信息;为了达到最小,需要限制信息从基础视图向最终视图的流动。
(2)如何确保基础视图的有效性 作为最终视图的信息源,基础视图需要保证较高质量。一方面,基础视图需要包含标签的信息;另一方面,不同视图间应相互独立,消除彼此间的冗余。
为了解决上述挑战,在本文中我们通过互信息压缩来学习紧致的图结构,提出CoGSL模型。CoGSL利用两个基础视图作为输入,设计视图评估器加以调整,再将两个调整后的视图自适应聚合成最终视图。之后,我们提出 “最小充分结构” 的正式定义,并从理论上证明, 在保障基础视图和最终视图效果的同时,需要最小化两两视图间的互信息。为了有效地评估不同视图间的互信息,我们基于InfoNCE损失设计相应的互信息估计器。最后,我们采用三折优化去训练上述框架。

2 模型介绍

模型整体流程如上图所示。本节将概述CoGSL框架及相应理论,具体细节请参见论文。

2.1 基础视图选取

给定图 ,CoGSL首先从原始结构中抽取两种基础视图 ,作为模型的输入。抽取的范围是:(1)Adjacency matrix(2)Diffusion matrix(3)Subgraph(4)KNN graph,这四种结构分别从不同角度考察了拓扑空间和特征空间中图的性质。

2.2 视图评估器

视图评估器的作用是调整 ,使它们能更灵活地生成最终视图,如上图(b)所示。以 视图为例,首先用GCN[2]层来得到节点表示
其中 是节点特征。以节点 为例,利用 来评估两点间的连边权重:
为了节省时间和空间开销,仅评估有限的范围 ,例如 是Adjacency matrix,则 选定为k-hop内的邻居,k是超参数。进而归一化节点 内其他节点间的权重,得到相应的概率:
由此构建矩阵 ,其中每个元素均由上式计算得到。结合** **得到评估后的视图:
其中 是组合系数, 的第 行表示为 的评估与之类似,最后得到评估后的视图

2.3 视图融合

此节的目的是为每个节点自适应地融合 ,得到最终视图。我们利用节点的预测概率作为视图融合的证据,并将大的权重赋予给更置信的视图,如上图(c)所示。首先,利用两层GCN得到节点在每个视图下的预测结果:
节点 下的预测分别表示为 ,并据此计算出两视图对于节点 的重要性。以计算 的重要性 为例:
其中, 分别表示 的最大值和次大值, 是超参数。上述公式表明,预测结果的最大值越大,最大值和次大值间的差值越大,则该视图的重要性越大。同理,可得 的重要性 。归一化 ,得到相应的权重 ,并加权融合
将其他的节点同样地经过上述视图融合过程,并将这些融合结果合成最终视图

2.4 最小充分结构V*

首先我们给出最小充分结构的定义,如下:
之后,我们提出了如下的命题:
命题1要求 都包含标签的信息,命题2要求最小化两两视图间的互信息。我们证明,在命题1成立的前提下,命题2可推导出如下的结果:
其中,大于号右侧的第二、三项会随着优化的进行而趋于0。也就是说,最小化两两视图间的互信息可达到如下目的:(1)给定标签 不再包含其他信息,从而成为最小成分结构;(2) 只共享 的信息,也就是标签 的信息,去除了视图间的冗余。
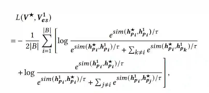
在评估视图间的互信息时,我们采用InfoNCE[3]损失。首先利用一层GCN得到 的节点表示{ },再利用两层MLP将它们投影到互信息评估空间中,得到{ }。借鉴GCA[4],以 , 为例,给出如下InfoNCE损失:
其过程如下所示:
我们最终迭代优化如下的三个损失:
优化分类器
优化互信息评估器
优化视图估计器

3 实验

3.1 节点分类

可以看出,与其他的GS方法相比,我们的模型都有一定程度的效果提升,这表明了准则的有效性,即可使学得的最小充分结构能包含更准确的信息去预测节点标签。

3.2 鲁棒性实验

拓扑攻击下的表现
特征攻击下的表现
无论是在拓扑攻击或是特征攻击层面,相较于其他baseline,我们提出的CoGSL都表现出了很强的鲁棒性,而这鲁棒性的获得,正是源于我们对最小充分结构的刻画,使得最终视图尽可能只保留和label有关的信息。

3.3 互信息分析

上图中,横坐标 越大表示限制视图间互信息的力度越大,纵坐标是模型表现。可以看出,最优点时 处于中间值,表明在强调分类准确的同时,要尽可能得压缩视图间的互信息,从而滤除噪声的干扰;但压缩也不能过猛,否则会过滤掉有用的信息,导致效果下降。

4 参考文献

[1] Ruijia Wang, Shuai Mou, Xiao Wang, Wanpeng Xiao, Qi Ju, Chuan Shi, and Xing Xie. 2021. Graph Structure Estimation Neural Networks. In WWW. 342–353.
[2] Thomas N. Kipf and Max Welling. 2017. Semi-Supervised Classification with Graph Convolutional Networks. In ICLR.
[3] Aaron van den Oord, Yazhe Li, and Oriol Vinyals. 2018. Representation learning with contrastive predictive coding. arXiv preprint arXiv:1807.03748 (2018).
[4] Yanqiao Zhu, Yichen Xu, Feng Yu, Qiang Liu, Shu Wu, and Liang Wang. 2021. Graph contrastive learning with adaptive augmentation. In WWW. 2069–2080.

本期责任编辑:杨成
本期编辑:刘佳玮

专知便捷查看

便捷下载,请关注专知公众号(点击上方蓝色专知关注)

  • 后台回复“CGSI” 就可以获取【WWW2022】互信息压缩的紧凑图结构学习》专知下载链接


专知,专业可信的人工智能知识分发 ,让认知协作更快更好!欢迎注册登录专知www.zhuanzhi.ai,获取70000+AI主题干货知识资料!


欢迎微信扫一扫加入专知人工智能知识星球群,获取最新AI专业干货知识教程资料和与专家交流咨询
点击“ 阅读原文 ”,了解使用 专知 ,查看获取70000+AI主题知识资源
登录查看更多
1

相关内容

互信息(Mutual Information)是信息论里一种有用的信息度量,它可以看成是一个随机变量中包含的关于另一个随机变量的信息量,或者说是一个随机变量由于已知另一个随机变量而减少的不肯定性.
【AAAI2022】基于对比学习的预训练语言模型剪枝压缩
专知会员服务
29+阅读 · 2022年1月24日
【WWW2022】互信息压缩的紧凑图结构学习
专知会员服务
33+阅读 · 2022年1月17日
AAAI 2022 | 面向图数据的对抗鲁棒性研究
专知会员服务
22+阅读 · 2022年1月4日
【AAAI2022】基于变分信息瓶颈的图结构学习
专知会员服务
20+阅读 · 2021年12月18日
专知会员服务
39+阅读 · 2021年6月13日
专知会员服务
44+阅读 · 2021年5月26日
专知会员服务
22+阅读 · 2021年4月15日
[WWW2021]图结构估计神经网络
专知会员服务
43+阅读 · 2021年3月29日
专知会员服务
17+阅读 · 2021年2月17日
【WWW2022】互信息压缩的紧凑图结构学习
专知
2+阅读 · 2022年1月17日
AAAI 2022 | 面向图数据的对抗鲁棒性研究
专知
1+阅读 · 2022年1月4日
IJCAI'21 | 理解GNN的"弱点"
图与推荐
0+阅读 · 2021年11月26日
CIKM'21 | 4篇图结构学习进展
图与推荐
0+阅读 · 2021年11月9日
【WWW2021】实体自适应语义依赖图立场检测
国家自然科学基金
0+阅读 · 2014年12月31日
国家自然科学基金
1+阅读 · 2014年12月31日
国家自然科学基金
2+阅读 · 2013年12月31日
国家自然科学基金
0+阅读 · 2013年12月31日
国家自然科学基金
1+阅读 · 2012年12月31日
国家自然科学基金
0+阅读 · 2012年12月31日
国家自然科学基金
0+阅读 · 2012年12月31日
国家自然科学基金
0+阅读 · 2011年12月31日
国家自然科学基金
0+阅读 · 2011年12月31日
Arxiv
0+阅读 · 2022年4月18日
Heterogeneous Deep Graph Infomax
Arxiv
12+阅读 · 2019年11月19日
VIP会员
最新内容
ICML2026 | 重新思考顺序知识编辑中的正则化
专知会员服务
2+阅读 · 5月27日
《用于兵力发展选项优先排序的成本效益模型》
AutoResearch AI综述:迈向AI驱动的科学发现自动化
《Palantir边缘人工智能》手册
专知会员服务
21+阅读 · 5月26日
美军“国防自主作战群”(DAWG)概念解析
专知会员服务
3+阅读 · 5月26日
“史诗怒火”行动中的无人机与反无人机作战
专知会员服务
16+阅读 · 5月25日
相关VIP内容
【AAAI2022】基于对比学习的预训练语言模型剪枝压缩
专知会员服务
29+阅读 · 2022年1月24日
【WWW2022】互信息压缩的紧凑图结构学习
专知会员服务
33+阅读 · 2022年1月17日
AAAI 2022 | 面向图数据的对抗鲁棒性研究
专知会员服务
22+阅读 · 2022年1月4日
【AAAI2022】基于变分信息瓶颈的图结构学习
专知会员服务
20+阅读 · 2021年12月18日
专知会员服务
39+阅读 · 2021年6月13日
专知会员服务
44+阅读 · 2021年5月26日
专知会员服务
22+阅读 · 2021年4月15日
[WWW2021]图结构估计神经网络
专知会员服务
43+阅读 · 2021年3月29日
专知会员服务
17+阅读 · 2021年2月17日
相关资讯
相关基金
国家自然科学基金
0+阅读 · 2014年12月31日
国家自然科学基金
1+阅读 · 2014年12月31日
国家自然科学基金
2+阅读 · 2013年12月31日
国家自然科学基金
0+阅读 · 2013年12月31日
国家自然科学基金
1+阅读 · 2012年12月31日
国家自然科学基金
0+阅读 · 2012年12月31日
国家自然科学基金
0+阅读 · 2012年12月31日
国家自然科学基金
0+阅读 · 2011年12月31日
国家自然科学基金
0+阅读 · 2011年12月31日
Top
微信扫码咨询专知VIP会员