Yann LeCun深度学习公开课4万字笔记,125页干货都在这了

2022 年 7 月 9 日 极市平台
↑ 点击 蓝字  关注极市平台

来源丨新智元
编辑丨极市平台

极市导读

 

Yann LeCun大师课程,搭配120页笔记食用效果更佳。>>加入极市CV技术交流群,走在计算机视觉的最前沿

喜欢深度学习?最好的方法就是在线课程。
 
这里推荐图灵奖得主、纽约大学教授Yann LeCun主讲的在线课程。
 
该课程最重要的优点是,它集成了LeCun对深度学习的思考。通过这门课,学习者可以了解深度学习的现状,特别是关于自监督学习、挑战、提议的解决方案和未来计划。
 
课程地址:https://www.youtube.com/playlist?list=PLLHTzKZzVU9e6xUfG10TkTWApKSZCzuBI
 
要说这门课主要的「缺点」?
 
可能就是LeCun的教学风格不像吴恩达那样对学生友好,但过了一段时间,你就会渐渐习惯,而且回报远远大于成本。
 

三选一,为什么选NYU的?

 
前一段时间开始,我一直在寻找一个好的在线深度学习课程,最终选出的三门课包括:
 
纽约大学深度学习课程 SP21(Yann LeCun主讲)
斯坦福大学深度学习课程 CS231N(李飞飞主讲)
Coursera 深度学习课程 (吴恩达主讲)
 
当然,这三门课都是无需多言的DL精品课程,主讲人都是AI业界鼎鼎大名的计算机科学家,如果你有时间可以都学,但如果时间有限,就需要做出选择。
 

三大名家课程中,为什么选NYU的?


一个非常重要的原因就是,NYU的课程讲了自监督学习。
 
上面这三门课,以及你在网上能找到的其他大部分课程,都包含了很多共同的内容,比如反向传播、CNN、RNN、GAN、Transformer、分类实例和一些实用技巧等。
 
无论什么课程,你都会听到这些东西,只是可能教学风格偏好不同。
 
不过在大多数课程中,一般主要是讲是监督学习。
 
而纽约大学的课程更专注于自监督学习,Yann LeCun认为,自监督学习是AI未来的一个基本支柱。
 
 
本课程有两位导师,Yann LeCun本人和Alfredo Canziani分别专注于理论和实践。Yann LeCun无需介绍,Alfredo是纽约大学的计算机科学的助理教授。
 
该课程内容非常广泛,涵盖了很多东西,大部分时间的深度也足够。课程时长大约50个小时,信息点密集。
 
这是一场马拉松,而不是一场短跑。
 
 
Alfredo为这门课开了个Github页面,里面有很多资源,包括一些超级有用的jupyter notebook和可运行的代码,并列出了为期15周的学习计划。
 
 
他甚至还对youtube视频下的评论做了回应。还有来自FAIR实验室(Facebook人工智能研究实验室)的客座讲师,介绍他们在CV和NLP方面的最新工作。
 

课程主题


课程的主题之一是处理不确定性的方法。 LeCun的观点是,智能体的一个基本组成部分,是其做出良好预测的能力。 这需要一个世界模型,一个能够接收世界状态和行动的模块,并能预测世界的一些未来状态。
 
不过,建立这些模型的一个主要挑战是,世界是随机的,包含很多不确定性。一个典型的例子是坠落的铅笔。如果把一支铅笔直立在桌子上,让它掉下来,无法预测它到底会落在哪里。
 
现在我们对世界的状态没有完整的了解,所以无法做一个确定性的决定。在这些情况下,一个输入有许多貌似合理的输出。在世界的某个状态之下,下一步可能跟着几个可信的未来状态之一。

 
那么,我们怎样才能在深度学习中处理这个问题 呢?这就是基于能量的模型所要解决的问题。处理不确定性。更确切地说,学习在不确定性下做良好的预测。
 
而同样重要的是,智能体应该能够主要通过观察来学习这个世界模型,就像动物所做的那样,使用无标签的数据。这就是为什么自监督学习如此重要的原因。
 
 
标签来自于观察。你预测下一个状态,等待,下一个状态出现,你就有了你的标签。或者你隐藏了一个句子的部分内容,然后试图预测作为标签的缺失单词。
 
根据LeCun的说法,要处理不确定性,预测世界模型的最佳途径,是用非反常的正则化方法训练的联合嵌入架构。如果你上了LeCun的这门课,就会理解为什么、怎么训练。
 
 
这是2018年的一个项目。在这个项目中,智能体在像素空间中进行预测,这要求对世界的学习表征必须包含很多细节,以便能够预测一个完整的视频帧。

相反,使用一个在表征空间中预测的世界模型会更好,因为表征空间的维度更低,所以不必学习预测所有不相关的细节。
 
另一个在课程中没有提到的,是分层的JEPA模型(联合嵌入预测架构),这是LeCun提出的用于创建自主智能体的新建议。
新的智能体在表示空间中进行预测,可以制定分层的行动计划,面向未来有更长的计划。但截至目前,这个方法(截至2022年),有很多挑战。
 

课程挑战


LeCun试图通过他的基于能量的框架来解释事情,这可能有点令人困惑,至少在一开始。 也有一些部分,他非常抽象地解释事物,在一个正式的框架内进行定义,你必须耐心地跟上他的思路。
 
在有一些讲里,他为深度学习中的一些基本概念提供了数学证明。你可能喜欢,也可能不喜欢,取决于你对数学的兴趣和能力。
 
50个小时很长,很难一口气看完。有时不得不暂停,思考,做笔记,很多地方需要再重新看,才觉得足够舒服。
 

先修知识:需要懂点ML基础和线代


本课程至少要了解机器学习和线性代数的基础知识。 这方面的优秀课程也不少,如吴恩达的机器学习课程和3Blue1Brown的线性代数课程。 麻省理工学院的Gilbert Strang的简明课程也是对线性代数的一个很好的高水平概述。
 
另外,如果对反向传播的工作原理有一些基本的了解,对于也是很有帮助的。3Blue1Brown也有一个关于反向传播的简短说明,他以非常直观的方式解释了整个过程。
 
最后放上学习笔记。(包含大量的图片,所以docx文件相当大...),笔记比较长,无法在线查看。

笔记里边有听课时对授课内容的一些理解和推导。比如:

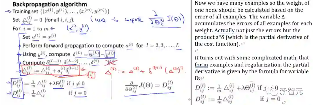
反向传播算法的推导:


梯度的计算:


什么是残差网络,残差网络为什么这么好用:


甚至,为了便于大家理解,还加入了动图:


课程笔记下载地址(4W字word文档):
https://drive.google.com/file/d/1F2MtqLlLFmxYcpXRRd-kSz8Csi2VSgmZ/view


公众号后台回复“项目实践”获取50+CV项目实践机会~

△点击卡片关注极市平台,获取 最新CV干货
极市干货
最新数据集资源: 医学图像开源数据集汇总
实操教程 Pytorch - 弹性训练原理分析《CUDA C 编程指南》导读
极视角动态: 极视角作为重点项目入选「2022青岛十大资本青睐企业」榜单! 极视角发布EQP激励计划,招募优质算法团队展开多维度生态合作!


点击阅读原文进入CV社区

收获更多技术干货

登录查看更多
0

相关内容

课程是指学校学生所应学习的学科总和及其进程与安排。课程是对教育的目标、教学内容、教学活动方式的规划和设计,是教学计划、教学大纲等诸多方面实施过程的总和。广义的课程是指学校为实现培养目标而选择的教育内容及其进程的总和,它包括学校老师所教授的各门学科和有目的、有计划的教育活动。狭义的课程是指某一门学科。 专知上对国内外最新AI+X的课程进行了收集与索引,涵盖斯坦福大学、CMU、MIT、清华、北大等名校开放课程。
超详细的AI 专家路线图!GitHub获星19.3k
专知会员服务
62+阅读 · 2022年5月11日
2022新年荐书!最值得一读的8部机器学习教程(PDF下载)
专知会员服务
114+阅读 · 2022年1月11日
专知会员服务
54+阅读 · 2021年6月2日
Yann Lecun 纽约大学《深度学习(PyTorch)》课程(2020)PPT
专知会员服务
184+阅读 · 2020年3月16日
《深度学习》圣经花书的数学推导、原理与Python代码实现
最新!Yann Lecun 纽约大学Spring2020深度学习课程,附PPT下载
可复现深度学习课程
GenomicAI
2+阅读 · 2022年3月6日
纽约大学《深度学习》2021课程全部放出,LeCun主讲!
机器学习与推荐算法
2+阅读 · 2021年11月16日
Yann LeCun都推荐的深度学习资料合集!
InfoQ
14+阅读 · 2019年7月7日
【干货】Yann Lecun自监督学习指南(附114页Slides全文)
GAN生成式对抗网络
94+阅读 · 2018年12月19日
荐书丨深度学习入门之PyTorch
程序人生
18+阅读 · 2017年12月1日
推荐 | 10.24......送你9大深度学习在线课程,你没理由不看!(附链接......)
国家自然科学基金
0+阅读 · 2015年12月31日
国家自然科学基金
0+阅读 · 2015年12月31日
国家自然科学基金
0+阅读 · 2015年12月31日
国家自然科学基金
0+阅读 · 2014年12月31日
国家自然科学基金
0+阅读 · 2014年12月31日
国家自然科学基金
0+阅读 · 2013年12月31日
国家自然科学基金
0+阅读 · 2012年12月31日
国家自然科学基金
0+阅读 · 2012年12月31日
国家自然科学基金
0+阅读 · 2011年12月31日
Arxiv
0+阅读 · 2022年8月31日
Extracting Relations Between Sectors
Arxiv
0+阅读 · 2022年8月30日
Arxiv
14+阅读 · 2018年4月18日
Arxiv
10+阅读 · 2018年2月17日
VIP会员
最新内容
超越网格:作战环境对炮兵的影响
专知会员服务
1+阅读 · 今天15:35
KDD 2026 | MixRAGRec:面向LLM推荐的混合专家KG-RAG框架
BES:让语言模型通过双向进化搜索自我改进
专知会员服务
4+阅读 · 5月30日
以色列-美国-伊朗战争中的无人机:关键要点
专知会员服务
4+阅读 · 5月30日
《Palantir任务保障性软件安全标准(MA-S2)》
专知会员服务
14+阅读 · 5月30日
基于声学的无人机检测技术综述
专知会员服务
8+阅读 · 5月30日
《当代混合战争分析框架:俄乌战争经验教训》
相关资讯
相关基金
国家自然科学基金
0+阅读 · 2015年12月31日
国家自然科学基金
0+阅读 · 2015年12月31日
国家自然科学基金
0+阅读 · 2015年12月31日
国家自然科学基金
0+阅读 · 2014年12月31日
国家自然科学基金
0+阅读 · 2014年12月31日
国家自然科学基金
0+阅读 · 2013年12月31日
国家自然科学基金
0+阅读 · 2012年12月31日
国家自然科学基金
0+阅读 · 2012年12月31日
国家自然科学基金
0+阅读 · 2011年12月31日
Top
微信扫码咨询专知VIP会员