如何设计基于深度学习的图像压缩算法

2018 年 4 月 26 日 论智 图鸭科技

互联网时代,社交媒体分享、自动驾驶、增强显示、卫星通信、高清电视或视频监控等应用场景对图片和视频有很强的需求,压缩算法也因此备受关注,但是不同的应用场景对压缩算法的性能要求也不一样:有的需求是以保持高清画质为第一位;有的需求是以体积小为第一位,可以适当降低图像画质。那么如何用深度学习技术来设计压缩算法呢?这篇文章将简单的来和大家说一说。

深度学习图片压缩框架

基于自编码网络的图像压缩

如上图所示,一个典型的自编码图片压缩框架包括编码器量化反量化解码器嫡编码码字估计率-失真优化等几个模块。

下面将根据上图具体解释自编码图像压缩网络中各个模块的作用。

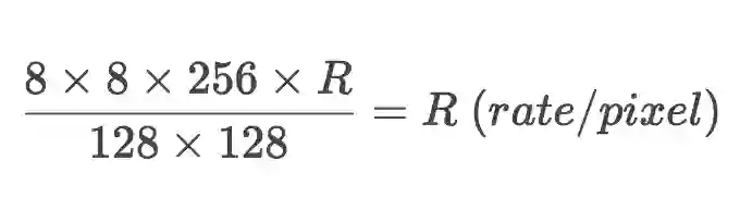
假定输入图片大小为128 x 128 x 3,通过编码器和量化处理后得到的编码特征的维度为8 x 8 x 256,假定熵编码后平均每个编码特征单元所占据的比特数为R,则编码码率的计算公式为:

上述公式中的128 x 128与输入图片有关,8 x 8 x 256由网络结构来决定,而R是由量化、编码特征分布和熵编码决定。压缩特征经过反熵编码、反量化和解码器后就能得到解码图片。在解码图片质量不变的条件下,如果R越低则表示压缩效率越高。编码和解码结构是自编码网络的基础,目的是对非线性变换进行学习。量化的作用是将浮点数转换为整数或二进制,反量化作用与之相反。量化是降低码字的重要途径,但也是导致信息损失的首要原因。理论上讲量化越精细信息损失越小,但可能会增加码字和训练难度,因此设计高效的量化算法非常重要。为了达到提升压缩效率的目的,需要用码字估计模块在训练中对R进行约束码字估计首先要利用先验概率模型对编码特征分布进行准确估计,保证估计的编码特征分布与实际分布尽可能接近,然后通过计算熵

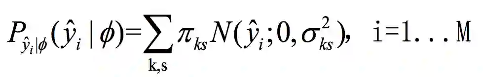
对熵编码后码字进行估算。一般可以用带参数概率模型对先验进行建模,如用高斯混合模型对数据分布进行拟合:

以特征分布估计为基础,熵编码模块首先计算特征的上下文概率,并对编码特征进行进一步的压缩,这样可以进一步降低R值。码字估计是估算经过算术编码后,消耗比特数是多少,在算术编码高效执行前提下,码字大小的下限,可表示为熵:

码字估计主要用于训练,在实际使用中先验模型可用于自适应的算术编码,生成码流。从信息论的角度来说,当编码特征越集中时熵越低,从而熵编码后码字会进一步降低,但网络的表示能力会受影响,并会降低重建图像的质量而导致失真。所以在熵编码码字与图像重建质量之间需要做权衡,这种权衡称率-失真优化。率对应编码码率,失真对应重建质量。一般通过率-失真优化构建的损失函数对自编码压缩网络进行训练。

压缩算法实现

思路: 从优化自编码网络结构、设计新的量化方式、设计新的压缩特征先验建模方法和率-失真优化等几个方面进行研发,提升目前图像压缩算法的性能,特别是低码率下的压缩性能。

技术难点: 在于如何以变分自编码网络为基础,解决优化自编码网络结构、联合优化对量化和先验建模的问题,提高图像压缩性能、降低复杂度,提升实用性。

经验分享: 准确先验概率估计利于自适应算术编码,便于训练中对码字分布进行约束,在实践中用带参数的概率模型,如高斯混合模型等对先验进行建模。在准确估计先验的基础上,会存在一个权衡:编码特征越集中熵越小,但网络的表示能力受影响,降低重建质量。要做好两个问题,1)准确先验估计;2)码率和重建质量权衡。

为何选择深度学习

现阶段压缩算法在诸如社交媒体分享、增强现实、自动驾驶、医学影像、高清电视等应用场景下均有很强的需求。如要根据不同应用需求对现有压缩算法进行优化并不容易,此外现在图像和视频压缩算法性能的提升已遇到瓶颈。

从图片压缩角度来讲,基于深度学习的技术最大的优势在于能够根据不同的应用进行针对性的设计和训练,可针对性的对主观或客观指标进行训练。从视频压缩角度来讲,深度学习压缩采用与H.264、H.265和H.266不同的架构,使用卷积神经网络为主题进行设计,可更灵活地将现阶段机器视觉领域中的光流估计等算法应用帧间关系建模中,设计高效视频压缩算法。此外,我们可以结合超分辨等技术,对传统算法进行进一步优化,降低通信带宽。

自编码的压缩算法,现阶段最大的优势在于能针对特定的指标进行优化,可显著提升重建图的主观效果。GAN网络对主观性能、视觉效果提升有好处,但客观质量并不好,一般用GAN网络设计的算法,会生成些与原始数据不一致的细节。现阶段我们将客观质量(PSNR)的提升放在首位,同时主观质量也取得不错的效果。未来我们会根据不同应用需求,考虑是否采用GAN网络。虽然我们现阶段的重点在客观性能的提升上,实验中也发现客观质量越好,与原始图片差异越小,主观质量也会有相应的提升,同时发现结合MSE和MS-SSIM能获取非常好的MS-SSIM性能。如上图所示,使用MS-SSIM为损失函数训练出的模型(TNG subjective),得到的MS-SSIM指标明显优于使用MSE作为损失函数训练的模型(TNG objective)。TNG subjective 在相同的主观MS-SSIM指标下,所消耗的码字是BPG的一半,流量节省了50%;相比JPEG,TNG仅消耗原来流量的25%-30%。

总结

压缩算法目前的市场需求量很大,加速了新一代压缩算法的研究步伐;但是因为市场需求各不相同,导致新一代的压缩算法推行难度大!目前TNG采用的是变分自编码网络的方法,且并没有将GAN网络加进来。这是因为,我们的首要需求是客观质量。前文提到了我们在这种设计下达到的效果是:TNG压缩效果是BPG的压缩效果的2倍,是JPEG的压缩效果的3.5—4倍。大家在日常的实践中,可以根据自己具体的压缩需求,进行设计合适的图像压缩算法。

关于作者:图鸭科技是一家专注于视频通信、压缩与分析的技术型企业,目前已有视频通信、图片压缩和物体检测等产品。

登录查看更多
41

相关内容

专知会员服务
50+阅读 · 2020年6月14日
专知会员服务
74+阅读 · 2020年5月21日
基于深度学习的手语识别综述
专知会员服务
47+阅读 · 2020年5月18日
基于深度学习的多标签生成研究进展
专知会员服务
147+阅读 · 2020年4月25日
基于深度学习的超分辨率图像技术一览
极市平台
17+阅读 · 2019年8月24日
放大的艺术 | 基于深度学习的单图超分辨
AI科技评论
7+阅读 · 2019年8月21日
基于深度学习的图像超分辨率最新进展与趋势【附PDF】
人工智能前沿讲习班
15+阅读 · 2019年2月27日
深度学习如何调参?
炼数成金订阅号
6+阅读 · 2018年10月18日
深度学习之视频图像压缩
论智
13+阅读 · 2018年6月15日
一文读懂图像压缩算法
七月在线实验室
17+阅读 · 2018年5月2日
CNN图像风格迁移的原理及TensorFlow实现
数据挖掘入门与实战
5+阅读 · 2018年4月18日
一场深度学习引发的图像压缩革命
极市平台
8+阅读 · 2018年3月30日
基于深度学习的图像目标检测(下)
机器学习研究会
12+阅读 · 2018年1月1日
Arxiv
5+阅读 · 2018年5月1日
Arxiv
15+阅读 · 2018年4月3日
Arxiv
3+阅读 · 2018年3月21日
Arxiv
8+阅读 · 2018年2月23日
Arxiv
25+阅读 · 2018年1月24日
Arxiv
3+阅读 · 2017年8月15日
VIP会员
最新内容
战略前沿人工智能的再思考(中文)
专知会员服务
3+阅读 · 5月29日
《量化地基防空系统间接效应的博弈论方法》
专知会员服务
3+阅读 · 5月29日
“史诗怒火行动”中美军损失的作战飞机
专知会员服务
2+阅读 · 5月29日
ICML 2026 | 理解上下文持续学习中的泛化与遗忘
专知会员服务
5+阅读 · 5月28日
Agent Harness综述:大模型智能体执行器工程全景
专知会员服务
13+阅读 · 5月28日
《基于理论的威慑效能评估》
专知会员服务
8+阅读 · 5月28日
相关VIP内容
相关资讯
基于深度学习的超分辨率图像技术一览
极市平台
17+阅读 · 2019年8月24日
放大的艺术 | 基于深度学习的单图超分辨
AI科技评论
7+阅读 · 2019年8月21日
基于深度学习的图像超分辨率最新进展与趋势【附PDF】
人工智能前沿讲习班
15+阅读 · 2019年2月27日
深度学习如何调参?
炼数成金订阅号
6+阅读 · 2018年10月18日
深度学习之视频图像压缩
论智
13+阅读 · 2018年6月15日
一文读懂图像压缩算法
七月在线实验室
17+阅读 · 2018年5月2日
CNN图像风格迁移的原理及TensorFlow实现
数据挖掘入门与实战
5+阅读 · 2018年4月18日
一场深度学习引发的图像压缩革命
极市平台
8+阅读 · 2018年3月30日
基于深度学习的图像目标检测(下)
机器学习研究会
12+阅读 · 2018年1月1日
相关论文
Arxiv
5+阅读 · 2018年5月1日
Arxiv
15+阅读 · 2018年4月3日
Arxiv
3+阅读 · 2018年3月21日
Arxiv
8+阅读 · 2018年2月23日
Arxiv
25+阅读 · 2018年1月24日
Arxiv
3+阅读 · 2017年8月15日
Top
微信扫码咨询专知VIP会员