进展 | 重电子掺杂铁硒基超导体的高压研究取得新进展

2018 年 2 月 28 日 中科院物理所 EX6组

在非常规超导体系中,通过引入载流子、施加物理或化学压力等调控手段,可有效调控超导相与其它电子序的竞争,可能诱导出两个超导相,对应超导转变温度Tc呈现出双拱形(double dome)相图。例如,对重费米子CeCu2(Si1-xGex)2体系施加压力可以诱导出两个超导相,分别对应反铁磁序的量子临界点和化合价态的不稳定性,而空穴掺杂铜氧化物高温超导体中著名的1/8反常则归因于对条纹序涨落的抑制。在过掺杂的1111型铁基超导体LaFeAsO1-x(H/F)x中也观察到两个超导相和双拱形相图:对于H掺杂的体系,这两个超导相分别与不同的反铁磁有序态毗邻;而F掺杂体系的第二个超导相则与C4旋转对称性破缺的结构相变有关,与低能磁涨落无关。因此,非常规超导体系中出现两个超导相或者双拱形相图往往暗示该体系蕴涵着非常丰富的物理内涵。

最近,中国科学院物理研究所/北京凝聚态物理国家研究中心极端条件物理实验室EX6组程金光研究员指导博士生孙建平、博士后Prashant Shahi,与超导国家重点实验室SC4组的赵忠贤院士、董晓莉研究员、周花雪博士,以及国内外多个课题组合作,采用在中科院物理研究所搭建的国内第一套六面砧大腔体高压低温物性测量装置,对重电子掺杂的FeSe基高温超导体(Li,Fe)OHFeSe(常压下Tc = 42 K)开展了详细的高压研究,发现压力会首先抑制高温超导I相(SC-I),然后在Pc = 5 GPa诱导出第二个高温超导相(SC-II),而且Tc随压力逐渐升高至52 K,尔后缓慢降低,呈现出双拱形Tc(P)超导相图,如图1所示。他们高质量的高压电阻率数据还揭示SC-I和SC-II相的正常态分别具有费米液体和非费米液体行为,表明它们可能存在不同的超导配对机制。相关成果近日发表在Nat. Commun. 9, 380 (2018)。

FeSe是铁基超导体中晶体结构最简单的化合物,常压下是载流子浓度很低的补偿型半金属(semi-metal),随着温度降低首先在90 K发生四方-正交结构相变,形成具有各向异性电子结构的电子向列相,然后在8-9 K出现超导。通过对FeSe进行化学插层和电子掺杂,可以获得一系列重电子掺杂的FeSe基高温超导体,包括AxFe2-ySe2 (A = K, Rb, Cs, Tl),(Li,Fe)OHFeSe,Lix(NH3)yFe2Se2,常压下Tc可达44 K。由于AxFe2-ySe2存在本征的相分离,即超导相与Fe空位有序的反铁磁绝缘相A2Fe4Se5共存,这不利于对其高压实验结果的深入分析。最近,超导国家重点实验室的SC4组创新地发展了离子交换和水热合成相结合的方法,首次报道合成了高质量的(Li,Fe)OHFeSe大尺寸单晶,有效避免了相分离,为后续深入研究提供了重要的材料体系[Phys. Rev. B 92, 064515 (2015)]。

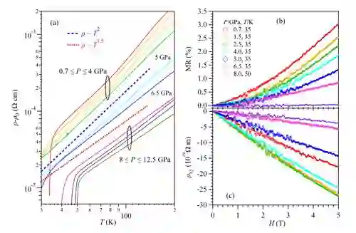
程金光课题组前期对FeSe单晶开展了详细的高压研究,全面澄清了超导相与电子向列序、压致反铁磁序的竞争关系,发现超导Tc分别在电子向列相和反铁磁序被抑制的临界压力出现台阶式上升,获得了双拱形超导相图,最终在反铁磁临界点Pc≈ 6 GPa实现最佳Tc = 38.5 K [Nat. Comm. 7, 12146 (2016)]。他们通过高压霍尔效应测量和分析,进一步揭示费米面重构和Pc附近反铁磁涨落增强对实现高温超导起到重要作用[Phys. Rev. Lett. 118, 147004 (2017)]。在此基础上,他们对超导国家重点实验室SC4组生长的重电子掺杂(Li,Fe)OHFeSe单晶开展了详细的高压调控研究。如图2所示的高压电阻率和交流磁化率显示,随着压力升高,SC-I相的Tc首先被逐渐抑制,在临界压力Pc = 5 GPa时开始出现SC-II相,而且其Tc随着压力迅速升高,在12.5 GPa时达到52 K,比SC-I相的最佳Tc提高了10 K,这是首次在块材的FeSe基超导体中突破50 K的超导转变。鉴于六面砧压腔良好的静水压环境,图2所示的高质量电阻率数据揭示了更多的正常态信息。图3的双对数电阻率数据和图1的电阻率指数彩图中,可以清晰看出SC-I相和SC-II相的正常态分别为费米液体(即ρT2)和非费米液体(即ρTα,1 < α < 1.5),而且SC-I到SC-II相转变存在非常明显的相界,这暗示着SC-I相和SC-II相可能具有不同的超导配对机制。此外,他们通过对正常态磁阻和霍尔电阻数据的分析,进一步表明SC-II相的出现还伴随电子型载流子浓度的大幅度提升。为了判别SC-II相的出现是否与结构相变有关,他们与北京高压科学中心的杨文革教授课题组合作,利用高压同步辐射XRD测量研究了(Li,Fe)OHFeSe的高压结构,发现在10 GPa范围内并没有发生结构相变。因此,高压下出现的SC-II相和载流子浓度的显著提升很可能是由费米面重构造成的电子结构变化引起。

为了研究重电子掺杂FeSe基高温超导体是否都会出现高压诱导的SC-II相,程金光课题组进一步与中国人民大学雷和畅副教授课题组合作,对液氨和锂共插层的Li0.36(NH3)yFe2Se2单晶开展高压研究,发现了类似现象,如图4所示;SC-II相出现的临界压力只有2 GPa,最佳Tc达到了55 K,非常接近FeAs基超导体的最高转变温度。另外,他们还发现(Li1-xFex)OHFeSe和Li0.36(NH3)yFe2Se2的SC-II相的Tc与霍尔系数倒数存在很好的线性关系,如图5所示,进一步表明这些重电子掺杂FeSe基超导体在高压下出现的SC-II相具有相同的物理起源。此外,他们的实验结果还表明,常压下重电子掺杂FeSe基超导体的Tc越高,压力诱导的SC-II相的Tc也越高。因此,通过进一步优化FeSe基超导体的载流子浓度,并结合高压调控有可能实现更高的Tc。相关成果近日发表在Phys. Rev. B 97, 020508(R) (2018)。

上述研究工作得到国家自然科学基金委(11574377,11574370,U1530402)、科技部(2014CB921500,2017YFA0303000,2016YFA0300301)、科学院B类先导专项(XDB07020100)和前沿重点项目(QYZDB-SSW-SLH013,QYZDB-SSW-SLH-001, QYZDB-SSW-SLH-008)的支持。参与本工作的合作者还包括:超导国家重点实验室SC2组的金魁研究员、SC4组的周放研究员,日本东京大学的Y. Uwatoko教授,美国密苏里大学的D. J. Singh教授和清华大学的张广铭教授。


[1] J. P. Sun, P. Shahi, H. X. Zhou, Y. L. Huang, K. Y. Chen, B. S. Wang, S. L. Ni, N. N. Li, K. Zhang, W. G. Yang, Y. Uwatoko, G. Xing, J. Sun, D. J. Singh, K. Jin, F. Zhou, G. M. Zhang, X. L. Dong*, Z. X. Zhao, and J.-G. Cheng*; “Reemergence of high-Tc superconductivity in the (Li1-xFex)OHFe1-ySe under high pressure”; Nature Communications (2018) 9, 380.
[2] P. Shahi, J. P. Sun, S. H. Wang, Y. Y. Jiao, K. Y. Chen, S. S. Sun, H. C. Lei*,Y. Uwatoko, B. S. Wang, and J.-G. Cheng*; “High-Tc superconductivity up to 55 K under high pressure in a heavily electron doped Li0.36(NH3)yFe2Se2 single crystal”; Physical Review B (2018) 97, 020508(R).


链接:
[1] https://www.nature.com/articles/s41467-018-02843-7

[2] https://journals.aps.org/prb/abstract/10.11

03/PhysRevB.97.020508



图1. (Li1-xFex)OHFe1-ySe单晶的温度-压力相图


图2. (Li1-xFex)OHFe1-ySe单晶不同压力下的电阻率与交流磁化率数据


图3. (Li1-xFex)OHFe1-ySe单晶正常态电阻率、磁阻和霍尔电阻率。


图4. Li0.36(NH3)yFe2Se2单晶在不用压力下的电阻率数据和温度-压力相图


图5. (Li1-xFex)OHFeSe和Li0.36(NH3)yFe2Se2的SC-II相Tc与霍尔系数倒数的线性关系


编辑:Cloudiiink


近期热门文章Top10

↓ 点击标题即可查看 ↓

1. 封杀这个公式,AI智商将为零?

2. 我这么优秀,姑娘为什么不喜欢我?

3. 那个学生物的自学量子力学,考研考了148……

4. 不懂量子力学?那你可以试试在家里做这五个实验!

5. 今天,物理所欢迎杰哥回家!

6. 《物理评论》125周年推出49篇精选论文,物理所这篇成为国内唯一上榜论文

7. 橡皮为什么能擦掉铅笔字?| No.89

8. 这是一个北方人轻而易举而南方人很难做的实验 | 正经玩

9. 就怕骗子有文化!量子隐身衣、滴血测癌、月球背面有外星人,都是假的!

10. 爱因斯坦最著名的方程的三个重要意义

点此查看以往全部热门文章


登录查看更多
0

相关内容

SC:International Conference for High Performance Computing, Networking, Storage, and Analysis。 Explanation:高性能计算、网络、存储和分析国际会议。 Publisher:IEEE。 SIT: http://dblp.uni-trier.de/db/conf/sc/
深度学习可解释性研究进展
专知会员服务
103+阅读 · 2020年6月26日
大数据安全技术研究进展
专知会员服务
96+阅读 · 2020年5月2日
基于深度学习的多标签生成研究进展
专知会员服务
147+阅读 · 2020年4月25日
2019中国硬科技发展白皮书 193页
专知会员服务
86+阅读 · 2019年12月13日
Nature 一周论文导读 | 2019 年 4 月 4 日
科研圈
7+阅读 · 2019年4月14日
Nature 一周论文导读 | 2019 年 2 月 28 日
科研圈
13+阅读 · 2019年3月10日
Nature 一周论文导读 | 2019 年 2 月 21 日
科研圈
14+阅读 · 2019年3月3日
生成对抗网络研究人脸识别领域获进展
中科院之声
9+阅读 · 2018年9月24日
国内外泌体领域进展总结(2018年8月)
外泌体之家
12+阅读 · 2018年9月6日
Nature 一周论文导读 | 2018 年 3 月 29 日
科研圈
12+阅读 · 2018年4月7日
微表情检测和识别的研究进展与趋势
中国计算机学会
15+阅读 · 2018年3月23日
基于深度学习的肿瘤图像分割研究取得进展
中科院之声
17+阅读 · 2017年9月17日
Knowledge Distillation from Internal Representations
Arxiv
4+阅读 · 2019年10月8日
Arxiv
3+阅读 · 2019年3月29日
Arxiv
4+阅读 · 2018年9月25日
Arxiv
7+阅读 · 2018年6月8日
Arxiv
10+阅读 · 2018年3月22日
Arxiv
3+阅读 · 2017年10月1日
VIP会员
最新内容
美陆军设想无人系统司令部
专知会员服务
0+阅读 · 今天13:45
【博士论文】已对齐人工智能系统的持久脆弱性
专知会员服务
0+阅读 · 今天13:52
扭曲还是编造?视频大语言模型幻觉研究综述
专知会员服务
0+阅读 · 今天13:41
《采用系统思维应对混合战争》125页
专知会员服务
2+阅读 · 今天12:47
战争机器学习:数据生态系统构建(155页)
专知会员服务
6+阅读 · 今天8:10
内省扩散语言模型
专知会员服务
5+阅读 · 4月14日
国外反无人机系统与技术动态
专知会员服务
4+阅读 · 4月14日
相关VIP内容
相关资讯
Nature 一周论文导读 | 2019 年 4 月 4 日
科研圈
7+阅读 · 2019年4月14日
Nature 一周论文导读 | 2019 年 2 月 28 日
科研圈
13+阅读 · 2019年3月10日
Nature 一周论文导读 | 2019 年 2 月 21 日
科研圈
14+阅读 · 2019年3月3日
生成对抗网络研究人脸识别领域获进展
中科院之声
9+阅读 · 2018年9月24日
国内外泌体领域进展总结(2018年8月)
外泌体之家
12+阅读 · 2018年9月6日
Nature 一周论文导读 | 2018 年 3 月 29 日
科研圈
12+阅读 · 2018年4月7日
微表情检测和识别的研究进展与趋势
中国计算机学会
15+阅读 · 2018年3月23日
基于深度学习的肿瘤图像分割研究取得进展
中科院之声
17+阅读 · 2017年9月17日
相关论文
Top
微信扫码咨询专知VIP会员