三次元风景照秒变宫崎骏动画,还能把石原里美吉卜力化,AnimeGAN已开源

2020 年 3 月 27 日 量子位
鱼羊 发自 凹非寺
量子位 报道 | 公众号 QbitAI

看到这样的街角,是不是想问这是哪一部日本动画电影里的场景?

宫崎骏、新海诚的电影常常从现实场景中获取灵感,这张“日本动漫”截图同样有对应的真实空间。

但这一次,打破次元壁的却不是人类画师,而是一只名叫AnimeGAN的GAN。

繁华街道,车水马龙,几秒即可在二次元场景中复现:

即便是西方街景,在AnimeGAN的画笔下,也能毫无违和转化成日漫画风:

看完AnimeGAN的作品展示,我产生了一个大胆的想法。

看,我的二次元和三次元老婆完美统一了!

风格迁移+生成对抗网络(GAN)

这项来自武汉大学和湖北工业大学的研究,采用的是神经风格迁移 + 生成对抗网络(GAN)的组合。

除了解决生成图像动画风格纹理不明显、丢失原始图像内容这样的问题,AnimeGAN最大的特点是

比如上面的石原里美,在V100上跑了1.64s就完成了次元的跃迁。

那么,这个轻量级的GAN有什么样的特别之处呢?

AnimeGAN架构

作者介绍,AnimeGAN是基于CartoonGAN的改进,并提出了一个更加轻量级的生成器架构。

AnimeGAN的生成器可以视作一个对称的编码器-解码器网络,由标准卷积、深度可分离卷积、反向残差块、上采样和下采样模块组成。

为了有效减少生成器的参数数量,AnimeGAN的网络中使用了8个连续且相同的IRB(inverted residual blocks)。

在生成器中,具有1×1卷积核的最后一个卷积层不使用归一化层,跟随其后的是tanh非线性激活函数。

上图中,K为内核大小,C为特征图数量,S为每个卷积层的跨度,H是特征图的高度,W是特征图的宽度,Resize值用于设置特征图大小的插值方法,⊕表示逐元素加法。

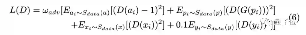
损失函数

论文还提出了三个新的损失函数,以提升风格化的动漫视觉效果。

不同权重的定性比较

灰度风格损失:

灰度对抗损失:

生成器网络的颜色重建损失(基于图像像元的损失):

实验结果

与CartoonGAN相比,可以明显看出AnimeGAN参数更少,模型更小,计算量更少,推理速度更快,是一个相对轻量级的GAN。

细节甚至还更胜一筹。

与此前的SOTA方法相比,可以看出,CartoonGAN生成的动漫图像中通常会存在颜色伪影区域(图中红框),ComixGAN生成的动漫图像中通常会存在过度风格化的区域(失去了原始照片的内容,目标纹理难以辨识),而AnimeGAN很好地解决了这些问题。

定性分析,AnimeGAN取得了比SOTA方法更高质量的视觉动漫效果。

目前,AnimeGAN已经开源,数据集和预训练模型均可下载。如果你也想把自己记录的风景用宫崎骏/新海诚/今敏的风格呈现,不妨一试~

One More Thing

或许你已经猜出来了,AnimeGAN的作者们本身也是二次元文化爱好者,出于兴趣开始了这样一个研究项目,真·「我的兴趣就是我的工作」。

论文作者,是湖北工业大学刘罡副教授,陈颉博士,以及他们的学生Xin Chen。

此前,刘教授和Xin Chen还研究了一个动漫线稿自动上色模型,GitHub用户@pradeeplam根据他们的论文进行了复现,效果也很不错。

传送门

GitHub地址(含论文):
https://github.com/TachibanaYoshino/AnimeGAN

作者知乎专栏:
https://zhuanlan.zhihu.com/p/76574388

上色项目:
https://github.com/pradeeplam/Anime-Sketch-Coloring-with-Swish-Gated-Residual-UNet

作者系网易新闻·网易号“各有态度”签约作者


如何关注、学习、用好人工智能? 

每个工作日,量子位AI内参精选全球科技和研究最新动态,汇总新技术、新产品和新应用,梳理当日最热行业趋势和政策,搜索有价值的论文、教程、研究等。

同时,AI内参群为大家提供了交流和分享的平台,更好地满足大家获取AI资讯、学习AI技术的需求。扫码即可订阅:

了解AI发展现状,抓住行业发展机遇

AI社群 | 与优秀的人交流


量子位 QbitAI · 头条号签约作者


վ'ᴗ' ի 追踪AI技术和产品新动态


喜欢就点「在看」吧 ! 



登录查看更多
0

相关内容

GAN:生成性对抗网,深度学习模型的一种,在神经网络模型中引入竞争机制,非常流行。
【CVPR2020】时序分组注意力视频超分
专知会员服务
31+阅读 · 2020年7月1日
【CVPR2020】MSG-GAN:用于稳定图像合成的多尺度梯度GAN
专知会员服务
29+阅读 · 2020年4月6日
专知会员服务
63+阅读 · 2020年3月4日
必读的10篇 CVPR 2019【生成对抗网络】相关论文和代码
专知会员服务
33+阅读 · 2020年1月10日
能生成逼真图像的不只有 GAN
机器学习算法与Python学习
8+阅读 · 2019年6月6日
低清视频也能快速转高清:超分辨率算法TecoGAN
机器之心
13+阅读 · 2019年4月16日
项目 | 基于GAN的人脸照片涂鸦编辑
机器学习算法与Python学习
5+阅读 · 2019年3月1日
基于GAN的极限图像压缩框架
论智
12+阅读 · 2018年4月15日
GAN猫的脸
机械鸡
11+阅读 · 2017年7月8日
Revisiting CycleGAN for semi-supervised segmentation
Arxiv
3+阅读 · 2019年8月30日
A Probe into Understanding GAN and VAE models
Arxiv
9+阅读 · 2018年12月13日
Arxiv
4+阅读 · 2018年9月25日
Arxiv
3+阅读 · 2018年4月3日
Arxiv
5+阅读 · 2015年9月14日
VIP会员
最新内容
美国当前高超音速导弹发展概述
专知会员服务
1+阅读 · 今天15:03
《高超音速武器:一项再度兴起的技术》120页slides
无人机蜂群建模与仿真方法
专知会员服务
1+阅读 · 今天14:08
澳大利亚发布《国防战略(2026年)》
专知会员服务
0+阅读 · 今天13:42
【CMU博士论文】迈向基于基础先验的 4D 感知研究
专知会员服务
0+阅读 · 今天13:46
全球高超音速武器最新发展趋势
专知会员服务
1+阅读 · 今天13:17
相关资讯
能生成逼真图像的不只有 GAN
机器学习算法与Python学习
8+阅读 · 2019年6月6日
低清视频也能快速转高清:超分辨率算法TecoGAN
机器之心
13+阅读 · 2019年4月16日
项目 | 基于GAN的人脸照片涂鸦编辑
机器学习算法与Python学习
5+阅读 · 2019年3月1日
基于GAN的极限图像压缩框架
论智
12+阅读 · 2018年4月15日
GAN猫的脸
机械鸡
11+阅读 · 2017年7月8日
Top
微信扫码咨询专知VIP会员