夏志宏:趣味数学——分数加法 | “点滴”专栏

2018 年 5 月 15 日 知识分子 夏志宏

点  滴


一直想记下多年来身边发生的一些小事,

以此回忆故事中的朋友和过去的岁月。


撰文 | 夏志宏


   


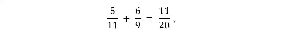
上小学时很不喜欢做分数加减法,先得通分,再加减分子,一不小心就会出错。下面是常见的错误:



或者,


两道题犯了同样的错误:分子加分子,分母加分母。可能你不知道,上面两道题有时是对的,主要看你用在哪里。在概率论里,加法通常就是这么做的。请看下面的例子。


两个口袋里装着围棋,假定第一个口袋里有5个黑子,6个白子,取黑子的概率是5/11;第二个口袋里有6个黑子,3个白子,取黑子的概率是6/9。把两个口袋放在一起,取黑子的概率就是11/20。也就是说,5/11的概率加上6/9的概率是11/20。


同样,第二道题在概率论里也是对的。


因为概率加减法完全不符合分数加减法的基本法则,其结论也就可能违背常识,令人惊叹。


我们还是用上面的数字。如图,两张桌子上各放两口袋,


桌子甲: 口袋A,5黑子+6白子;口袋B,3黑子+4白子;

桌子乙: 口袋A,6黑子+3白子;口袋B,9黑子+5白子。



我们的游戏是取到黑子中奖。

对于桌子甲的中奖概率,



所以口袋A中奖概率大。

对于桌子乙,




所以还是口袋A中奖概率大。



现在是见证数学魔术时刻。两张桌子都是口袋A好,如果把两张桌子A和A放在一起,得奖概率是



如果把B和B放在一起,得奖概率是



结论:选择B更好,得奖概率更大!是不是有点不可思议?


你可能觉得这只是一个数学游戏,事实上这种现象在日常生活中时有发生。


两种新药A、B分别在上海和北京测试,效果都是A比B好。但测试数据放在一起时,却发现是B比A好。


美国加州大学伯克利分校有个课题组,曾研究女生在研究生录取时是否受到歧视,其文章在《科学》Science[1]发表。课题组在两组独立数据下的结论都是女生受到歧视,但数据放在一起后发现,女生并没有受到歧视。


在概率论里,上述现象叫辛普森悖论(Simpson’s Paradox),其基本原因就是概率加减法和我们平常加减法不同,由此衍生了很多有趣的数学问题(是的,可以写好几个博士论文)。看似高深的数学有时其实很简单。


——2018.5. 深圳


加州大学伯克利分校的研究:

P. J. Bickel, E. A. Hammel, J. W. O'Connell. Sex Bias in Graduate Admissions: Data from Berkeley, Science  07 Feb 1975: Vol. 187, Issue 4175, pp. 398-404

DOI: 10.1126/science.187.4175.398

 

 

夏志宏

南方科技大学数学系主任、讲座教授,致诚书院院长



“点滴”专栏之一:初进南科大

“点滴”专栏之二:刘林老师

“点滴”专栏之三:我的物理曾是城管教的

“点滴”专栏之四:导师童傅

“点滴”专栏之五:传奇数学家斯梅尔

“点滴”专栏之六:导师萨瑞与震惊全美的爆炸案

“点滴”专栏之七:大师兄永远不会忘记的20秒

“点滴”专栏之八:有靠谱的大学排名吗

“点滴”专栏之九:喜欢唱歌和垃圾食品的数学家文兰

点滴”专栏之十:父亲二三事

“点滴”专栏之十一:秘书梅兰妮

“点滴”专栏之十二:大学宿舍

“点滴”专栏之十三:童年往事-抄家•石膏像•反标

“点滴”专栏之十四:教美国学生写作

“点滴”专栏之十五:前同事艾米

“点滴”专栏之十六:儿子上大学

“点滴”专栏之十七:儿子的电脑

制版编辑:黄玉莹 |


本页刊发内容未经书面许可禁止转载及使用

公众号、报刊等转载请联系授权

[email protected]

商务合作请联系

[email protected]

知识分子
为更好的智趣生活
ID: The-Intellectual
投稿:[email protected]
长按二维码,关注知识分子


▼▼▼点击“阅读原文”,直达知识分子书店!

登录查看更多
0

相关内容

阿里云旗下一站式大数据平台
深度学习可解释性研究进展
专知会员服务
103+阅读 · 2020年6月26日
商业数据分析,39页ppt
专知会员服务
165+阅读 · 2020年6月2日
简明扼要!Python教程手册,206页pdf
专知会员服务
48+阅读 · 2020年3月24日
【经典书】Python数据数据分析第二版,541页pdf
专知会员服务
199+阅读 · 2020年3月12日
广东疾控中心《新型冠状病毒感染防护》,65页pdf
专知会员服务
19+阅读 · 2020年1月26日
知乎八年,大而不美
新榜
7+阅读 · 2019年1月26日
创业者和伪创业者的10大区别
创业财经汇
8+阅读 · 2018年6月5日
强化学习——蒙特卡洛方法介绍
论智
12+阅读 · 2018年6月3日
普通本科没毕业的我,收到年薪30w的offer...
码农翻身
5+阅读 · 2018年1月21日
从PM到GAN——LSTM之父Schmidhuber横跨22年的怨念
AI研习社
6+阅读 · 2017年11月11日
专栏 | 贝叶斯学习与未来人工智能
机器之心
10+阅读 · 2017年9月19日
酒鬼漫步的数学——随机过程 | 张天蓉专栏
知识分子
10+阅读 · 2017年8月13日
概率论与随机过程相关书籍点评
算法与数学之美
9+阅读 · 2017年8月11日
Single-frame Regularization for Temporally Stable CNNs
Risk-Aware Active Inverse Reinforcement Learning
Arxiv
8+阅读 · 2019年1月8日
Arxiv
5+阅读 · 2018年12月18日
Implicit Maximum Likelihood Estimation
Arxiv
7+阅读 · 2018年9月24日
Arxiv
4+阅读 · 2018年5月24日
Arxiv
29+阅读 · 2017年12月6日
VIP会员
最新内容
人工智能在战场行动中的演进及伊朗案例
专知会员服务
4+阅读 · 4月18日
美AI公司Anthropic推出网络安全模型“Mythos”
专知会员服务
2+阅读 · 4月18日
【博士论文】面向城市环境的可解释计算机视觉
大语言模型的自改进机制:技术综述与未来展望
《第四代军事特种作战部队选拔与评估》
专知会员服务
1+阅读 · 4月18日
相关VIP内容
深度学习可解释性研究进展
专知会员服务
103+阅读 · 2020年6月26日
商业数据分析,39页ppt
专知会员服务
165+阅读 · 2020年6月2日
简明扼要!Python教程手册,206页pdf
专知会员服务
48+阅读 · 2020年3月24日
【经典书】Python数据数据分析第二版,541页pdf
专知会员服务
199+阅读 · 2020年3月12日
广东疾控中心《新型冠状病毒感染防护》,65页pdf
专知会员服务
19+阅读 · 2020年1月26日
相关资讯
知乎八年,大而不美
新榜
7+阅读 · 2019年1月26日
创业者和伪创业者的10大区别
创业财经汇
8+阅读 · 2018年6月5日
强化学习——蒙特卡洛方法介绍
论智
12+阅读 · 2018年6月3日
普通本科没毕业的我,收到年薪30w的offer...
码农翻身
5+阅读 · 2018年1月21日
从PM到GAN——LSTM之父Schmidhuber横跨22年的怨念
AI研习社
6+阅读 · 2017年11月11日
专栏 | 贝叶斯学习与未来人工智能
机器之心
10+阅读 · 2017年9月19日
酒鬼漫步的数学——随机过程 | 张天蓉专栏
知识分子
10+阅读 · 2017年8月13日
概率论与随机过程相关书籍点评
算法与数学之美
9+阅读 · 2017年8月11日
Top
微信扫码咨询专知VIP会员