案例分享丨AI 物品识别技术解决零售业难题,看看品览怎么做

2020 年 10 月 14 日 TensorFlow

引言:品览是一家基于计算机视觉技术,面向企业客户提供人工智能解决方案的科技服务公司。专注于打造世界一流的 AI 物品识别平台,面向消费品、零售企业提供 AI 智能营销/物流方案。在 AI 应用领域,团队服务过上汽集团(安吉物流)、顶新集团(味全)、欣和集团、喜士多、Farfetch 等客户。




零售行业的货架战争

为了在庞大的线下终端赢得消费者的选择,争夺产品在货架上的露出位置和比例,跟哪些竞品在一起露出,以及如何通过货架陈列,使产品的视觉呈现更能吸引消费者购买,目前成为快消企业终端执行的重中之重。


然而在门店实际执行过程中经常会出现的情况:生动化陈列执行不到位,如缺少必销品,重点商品、新品陈列没有占据醒目位置,排面靠后或被竞品压制,摆放不整齐、生动化物料没有展示出来等情况屡见不鲜。当货架缺货的情况发生时,品牌商可能会失去 46% 的购买者,而零售商可能会失去 30% 的购买者。


因此,要实现线下终端的高效管控,可以从两个角度入手:
  1. 超强且庞大的线下执行团队;
  2. 利用 AI 物品识别技术辅助人工完成陈列审查这件事。


品览基于 TensorFlow 开发了物品识别平台 — AI 亿览通,帮助零售行业客户掌握一手门店数据,优化货架执行和提高坪效。



AI 亿览通技术难点及解题思路

品览旗下主要产品 AI 亿览通,以商品识别引擎为核心,基于自身前沿的结合弱监督与细粒度识别算法,商品识别准确度高达 97% 以上,目前可实现商品 SKU 种类、在货架上的陈列位置、价签及生动化物料识别检测等功能。


(1) 算法难点:
  1. 在货架场景中,商品通常会摆放的非常密集,要想准确无误的统计排面识别每个 SKU,需要超高准确率和召回率的商品检测;
  2. 商品种类繁多,一般商品的 SKU 种类数量上万,甚至高达几十万,单一模型无法完全支持;
  3. 同品牌 SKU 之间非常相似,特征看上去没有明显的差异,需要攻克细粒度分类难题;
  4. 同一款商品可能有不同的规格,比如可乐,可能会有 330 毫升、500 毫升,或一升的,它更像是等比例缩放,因为计算机视觉天然是要求有尺度不变性的,这种情况通常是很难区分的。


(2) 解题思路

1. 商品识别的流程


2. 解决货架倾斜

高质量完成商品识别的前提是拥有完美的数据,巡店员为了快速完成任务多数情况下一张照片拍上整个货架,导致在图片数据中货架倾斜严重,这对后续的商品检测识别十分不利,采用 TF 框架搭建的 Mask R-CNN 实例分割算法对图片中的货架层进行分割,

△ 实例分割 Mask R-CNN 框架


根据分割的货架线,使用仿射变换进行货架的倾斜矫正,完美解决货架倾斜的问题。

△ 货架线分割效果图

  • 分割模型参考
    https://github.com/matterport/Mask_RCNN


3. 复杂场景下的商品检测

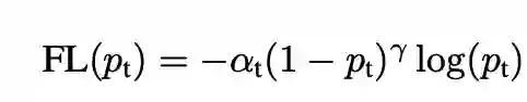
针对零售行业复杂的场景,便利店/超市/小卖店等物品的摆放及巡店人员的拍摄习惯等,我们采用 RetinaNet 目标检测模型进行商品检测,该目标检测模型创新性提出了 Focal loss(如图 1 所示)作为训练的损失函数,可以有效的解决训练过程中正负样本不平衡的问题. 

△ 图 1


结合 Focal Loss 该模型设计了一个简单的 one-stage detector 来进行检测,网络结构名为 RetinaNet(如下图 2):

△ 图 2 RetinaNet


该模型采用了 FPN 结构进行多层网络特征的融合,可以有效的兼容不同尺度训练数据,优化小目标的检测效果。使用 TensorFlow 的内置函数来构建 FPN 结构和计算 Focal Loss,模型训练速度快,可在短时间内进行多次模型迭代,提高了模型的训练效率,并在训练过程中使用 tensorflow.summary 记录 loss 和 accuracy,可以实时监测模型的收敛情况。随着 TensorFlow 的发展完善,搭建新模型时很多结构可以从 TensorFlow 的官方复现中直接提取使用,当成固定的模块,加速了模型构建速度。

  • RetinaNet 请参考
    https://github.com/fizyr/tf-retinanet


4. 商品识别

面对海量 SKU,采用 Resnet50 深度学习网络进行模型训练,该网络结构由何凯明团队在 2015 年提出,一经问世就引起轰动,成为近年来最经典的特征提取网络结构之一,其亮点在于残差网络结构(如下图所示):


对于同一品牌包装十分相似的商品,在特征提取网络中加入 Attention 机制,进行细粒度区分,利用 TensorFlow 框架完成模型的搭建,进行 SKU 分类模型的训练,方便快捷。使用 TensorBoard 进行训练过程可视化,不仅可以监测模型训练过程中 loss 的下降趋势,方便训练调参,并可以可视化搭建的网络模型结构,方便更好的学习和理解深度神经网络。

  • Resnet 参考
    https://github.com/ry/tensorflow-resnet


5. TF Serving 完成模型部署高效服务
训练完成的模型需要配合高性能的部署服务才能更快更好的实现模型调用,AI 亿览通使用 TF Serving 进行模型部署,TF Serving 具有如下明显的优势:
  1. 支持 docker 部署:常用的部署方式是使用 docker 部署,将宿主机的模型目录挂载在 docker 的虚拟目录下,拉取的 docker 镜像可选择支持 CPU 或 GPU,也提供了版本选择,方便调试。
  2. 支持多种通信方式:目前 TF Serving 的客户端和服务端支持的的通信方式为:gRPC 和 REST API,前者端口为 8500,后者为 8501,两种方式分别对应了不同的传输方法。
  3. 挂载模型简单:使用 TF Serving 部署模型,不需要部署代码,但需要必要的客户端代码。因为模型使用挂载的方式,对同一模型的不同版本,Serving 会自动刷新选择最新的模型版本,更新版本也不需要重启服务。同时 TF Serving 也支持多模型部署,因而使用起来比较方便。



应用效果展示

以欣和集团为例,旗下拥有 11 个调味品牌,商品覆盖全国 1400 个县区,门店数量极其庞大。在使用 AI 亿览通服务之前,通常采取的是人工抽检的方式,周需要一天 20 人次投入审核工作,使用品览的服务进行 AI 自动化后,仅需 1 人督导即可完成审核


△ 巡店员从小程序拍照上传即可


由于欣和的海量产品和门店,拥有十分复杂的陈列场景。亿览通不仅支持货架、端架、冰箱、堆头、地龙等丰富场景,货架插卡、贴条、价格签、爆炸牌、跳跳卡、颈标、商品贴等多种生动化陈列物料,还能检测图片质量是否过于倾斜、模糊,通过图像/视频拼接呈现品类完整货架陈列,并具备分秒级批量审核数万张货架照片的能力。


△ 分秒级批量审核能力


△ 后台识别结果,显示了货架 SKU 比例分析、是否陈列达标等信息


使用 AI 亿览通后,欣和实现了生动化陈列审核自动化,从抽检改为全面审核每家门店的陈列;检核周期从每周缩短为每天;在释放了人力资源的情况下,整体工作效率提升 95%。



RP2K 数据集发布

AI 技术的落地实践与应用越来越方便,随着各种强大的数据集发布,机器学习模型训练无需再亲自采集数据,数据训练集唾手可得。拥有强大的零售货架商品识别经验的品览,近期正式发布了 RP2K 零售品数据集。


不同于一般聚焦新产品的数据集,RP2K 收录了超过 50 万张零售商品货架图片,商品种类超过 2000 种,该数据集是目前同类别数据集中产品种类数量之最,同时所有图片均来自于真实场景下的人工采集,针对每种商品,我们提供了十分详细的注释,包含尺寸/形状/味道等特征。RP2K 致力于帮助物品识别领域进行学术研究,同时为 AI 物品识别从业者打造真实行业级试炼场,欢迎访问品览官网下载使用。

  • 数据集
    https://www.pinlandata.com/rp2k_dataset

  • RP2K 数据集论文
    https://arxiv.org/abs/2006.12634



总结

本文从零售品牌商普遍存在的门店执行痛点出发,分析了赢得“货架战争”的关键点——利用AI物品识别技术替代人工完成陈列审查,提高货架数据准确度和效率。


在商品识别的技术实践中,我们进行了多角度的检测模型实验和数据优化方法。从检测到分类到可视化调参,TensorFlow 都起到了不可替代的作用和帮助。



如果您想在 TensorFlow 社区分享经验与用例,点击 “阅读原文” 填写相关信息,我们会尽快与您联系。

登录查看更多
1

相关内容

RetinaNet是2018年Facebook AI团队在目标检测领域新的贡献。它的重要作者名单中Ross Girshick与Kaiming He赫然在列。来自Microsoft的Sun Jian团队与现在Facebook的Ross/Kaiming团队在当前视觉目标分类、检测领域有着北乔峰、南慕容一般的独特地位。这两个实验室的文章多是行业里前进方向的提示牌。 RetinaNet只是原来FPN网络与FCN网络的组合应用,因此在目标网络检测框架上它并无特别亮眼创新。文章中最大的创新来自于Focal loss的提出及在单阶段目标检测网络RetinaNet(实质为Resnet + FPN + FCN)的成功应用。Focal loss是一种改进了的交叉熵(cross-entropy, CE)loss,它通过在原有的CE loss上乘了个使易检测目标对模型训练贡献削弱的指数式,从而使得Focal loss成功地解决了在目标检测时,正负样本区域极不平衡而目标检测loss易被大批量负样本所左右的问题。此问题是单阶段目标检测框架(如SSD/Yolo系列)与双阶段目标检测框架(如Faster-RCNN/R-FCN等)accuracy gap的最大原因。在Focal loss提出之前,已有的目标检测网络都是通过像Boot strapping/Hard example mining等方法来解决此问题的。作者通过后续实验成功表明Focal loss可在单阶段目标检测网络中成功使用,并最终能以更快的速率实现与双阶段目标检测网络近似或更优的效果。
应用知识图谱的推荐方法与系统
专知会员服务
118+阅读 · 2020年11月23日
【KDD2020】 半监督迁移协同过滤推荐
专知会员服务
20+阅读 · 2020年10月21日
个性化推荐系统技术进展
专知会员服务
66+阅读 · 2020年8月15日
社区检测的深度学习:进展、挑战和机遇
专知会员服务
47+阅读 · 2020年7月9日
专知会员服务
126+阅读 · 2020年3月26日
【阿里技术干货】知识结构化在阿里小蜜中的应用
专知会员服务
98+阅读 · 2019年12月14日
我是怎么走上推荐系统这条(不归)路的……
全球人工智能
11+阅读 · 2019年4月9日
竹间智能AI+保险解决方案
竹间智能Emotibot
25+阅读 · 2019年3月4日
盘它!40篇+阿里技术经典案例,看完必收藏
阿里技术
6+阅读 · 2019年2月18日
竞赛推荐 | 奖金池20万:钢筋数量AI识别比赛
极市平台
3+阅读 · 2019年1月12日
如何系统性提升中后台产品体验
互联网er的早读课
3+阅读 · 2018年12月4日
面对信用卡欺诈,AI 能做些什么?
雷锋网
4+阅读 · 2018年2月12日
微信OCR(1)——公众号图文识别中的文本检测
微信AI
17+阅读 · 2017年11月22日
干货|深度学习目标检测的主要问题和挑战!
全球人工智能
6+阅读 · 2017年9月6日
Arxiv
0+阅读 · 2020年11月30日
Arxiv
8+阅读 · 2014年6月27日
VIP会员
最新内容
美军多域作战现状分析:战略、概念还是幻想?
专知会员服务
0+阅读 · 11分钟前
无人机与反无人机系统(书籍)
专知会员服务
11+阅读 · 今天6:45
美陆军2026条令:安全与机动支援
专知会员服务
3+阅读 · 今天5:49
技术、多域威慑与海上战争(报告)
专知会员服务
8+阅读 · 4月13日
“在云端防御”:提升北约数据韧性(报告)
专知会员服务
5+阅读 · 4月13日
人工智能及其在海军行动中的整合(综述)
专知会员服务
7+阅读 · 4月13日
相关VIP内容
应用知识图谱的推荐方法与系统
专知会员服务
118+阅读 · 2020年11月23日
【KDD2020】 半监督迁移协同过滤推荐
专知会员服务
20+阅读 · 2020年10月21日
个性化推荐系统技术进展
专知会员服务
66+阅读 · 2020年8月15日
社区检测的深度学习:进展、挑战和机遇
专知会员服务
47+阅读 · 2020年7月9日
专知会员服务
126+阅读 · 2020年3月26日
【阿里技术干货】知识结构化在阿里小蜜中的应用
专知会员服务
98+阅读 · 2019年12月14日
相关资讯
我是怎么走上推荐系统这条(不归)路的……
全球人工智能
11+阅读 · 2019年4月9日
竹间智能AI+保险解决方案
竹间智能Emotibot
25+阅读 · 2019年3月4日
盘它!40篇+阿里技术经典案例,看完必收藏
阿里技术
6+阅读 · 2019年2月18日
竞赛推荐 | 奖金池20万:钢筋数量AI识别比赛
极市平台
3+阅读 · 2019年1月12日
如何系统性提升中后台产品体验
互联网er的早读课
3+阅读 · 2018年12月4日
面对信用卡欺诈,AI 能做些什么?
雷锋网
4+阅读 · 2018年2月12日
微信OCR(1)——公众号图文识别中的文本检测
微信AI
17+阅读 · 2017年11月22日
干货|深度学习目标检测的主要问题和挑战!
全球人工智能
6+阅读 · 2017年9月6日
Top
微信扫码咨询专知VIP会员