等了159年, Atiyah用1页PPT宣布他证明了黎曼猜想

2018 年 9 月 24 日 镁客网


注:图片来源于网络

每一种证明思路都将进一步推进这一理论的发展,以及对其他学科的渗透。

策划&撰写:Lynn


刚刚,在德国召开的海德堡获奖者论坛演讲上,菲尔兹和阿贝尔奖双料得主迈克尔·阿蒂亚爵士在45分钟中的演讲中,用40分钟介绍了黎曼猜想,仅用五分钟,凭借1张ppt,从量子力学中的概念出发,给出了他对159年里悬而未决的黎曼猜想的证明。

对此,众说纷纭,数学界也尚未有进一步的评论给出。

通过量子力学证明

 159年未解之谜得“解”


迈克尔·阿蒂亚(Michael Atiyah,1929.4.22-), 主要研究领域为几何,被誉为当代最伟大的数学家之一。于1966年荣获菲尔兹奖,在2004年与辛格共同获得阿贝尔奖。

图 | 迈克尔·阿蒂亚

不久之前,他提前公布了此次演讲的摘要,称:“黎曼猜想是1859年提出的著名问题,至今悬而未决。我会基于冯·诺依曼(1936)、希策布鲁克(1954)和狄拉克(1928)的相关工作,给出一个使用全新方法的简洁证明。”话语一出,在数学界里引起了巨大的轰动。

今天上午,据称是他的证明论文的预印版被流出,短短五页纸的长度与黎曼实现了隔空的遥相呼应,时隔159年,时代不同,但不变的是依然简洁。

论文摘要中写道,他希望理解量子力学中的无量纲常数——精细结构常数,并将此过程中发展出来的数学方法用于理解黎曼猜想。

图 | TODD函数

在演讲中,他抛出了自己定义的Todd函数,通过常数结构的解析,并利用反证法给出了证明思路,值得赞叹的是,尽管演讲时间只有四十五分钟,他也没有忘记向给过自己启发的数学家们和物理学家们致敬。

同时,他也表示:“此次只是给出了思路,未来也还有很多事需要我们去做。”

黎曼猜想的起源


黎曼猜想的证明如此重要,不是因为它是数学史上仅有的价值“100万美元”奖金的几个难题之一,而是它的成果已经渗入几何、代数、空间物理等众多基础科学研究中,从而足以撼动密码体系、信号分析等诸多工程的基础。

图 | 波恩哈德·黎曼

但在1859年当选柏林科学院院士时,黎曼似乎对自己会带来的惊人贡献毫不自知。作为对这一崇高荣誉的回报,他提交了一篇《论小于给定数值的素数个数》的小论文,在这篇论文中,黎曼用一个简短函数描述了一个数学家长期感兴趣的话题——素数的分布问题。而这一论文就是黎曼猜想的发源地。

整篇论文只有八页长,可想而知,黎曼的文字描述和证明过程十分简洁精炼。要命的是,论文中多处出现的“证明从略”,即黎曼认为显而易见的推理过程,有些花费了后世数学家们几十年的努力才得以补全,而有些直到今天仍是空白。

但这并不能说明黎曼不严谨,毕竟事隔三百多年才被证明出来的费马大定理,其提出者费马也没有意识到他给数学界留下了个多么大的难题。在发现费马大定理时,人们发现在公式的旁边,他只留下了一句话:因为边上没有空白,所以证明就不写了。

事实证明,数学家们也确实喜欢开这样的“玩笑”,可查阅的资料表明,黎曼就更偏爱将自己的重大思考和疑问写在给父亲的信中。

黎曼猜想是什么?


正如黎曼猜想起源的论文名一般,其重大意义就是利用了复分析解读了素数分布定律。而被采用的这道大家早已熟知的函数公式,在黎曼的“点化”下,就像一道智慧之光,打通了数论和解析几何在复分析领域的通道。自此,该函数公式就被正式定义为“黎曼zeta函数”。

图 | 黎曼zeta函数

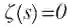
对于zeta函数,黎曼给出了这样的猜想:

如果

且s不是实数,那么一定存在某个实数y,使得

黎曼认为,这些零点有一定的排列规律,除了分布在横轴上的零点(如4,2,-2,-4,等,被称为“平凡零点”),所有的非平凡零点都集中在实部为1/2的直线上,无一例外。

基于已有的数论研究,在调整各种各样的s值时,我们会发现,ζ(s)里面合数项部分很容易就被质数项部分“吸收”了(任意合数可以分解为质数之和),而质数和质数的幂项则很难被消掉,往往会残留下来。

而对于某些s,ζ(s)居然等于0,也就意味着质数都消解光了。这就说明质数里面必然存在某种针对这个s的结构,而这就是一直被数学家们猜测探讨的质数分布规律。

不难意识到,黎曼给出这里的s值实部为1/2的结果,即分布在一条直线上,这几乎等同于告诉大家,质数随机分布在直线1/2上。

黎曼猜想被证明的重大意义


如大家所知,随机分布因无规律可循,所以也是最为安全。因此,现阶段的密码学系统,包括新兴的区块链底层架构,都是基于质数分布的随机性来构建和设计的,以确保一定的安全性。

除了对数论有着非常大的影响,物理、机械、信号等与频率(复分析)有着密切联系的应用领域,都将会或多或少的受到这一证明过程的影响和启发。

某种程度上,黎曼做的事情就是给后辈们指引一条极具意义的方向,而每一种证明思路都将进一步推进这一理论的发展,以及对其他学科的渗透。

附上网络流出的 Atiyah论文图,仅供参考:

/- 推荐阅读 -/


占据手机市场62%利润的苹果,为什么那么贵?


董明珠的焦虑


美团:无人车送我上市


镁客网

科技 | 人文 | 行业
微信ID:im2maker
长按识别二维码关注

硬科技第一产业媒体

提供最有价值的行业观察

登录查看更多
0

相关内容

数学是关于数量、结构、变化等主题的探索。
非凸优化与统计学,89页ppt,普林斯顿Yuxin Chen博士
专知会员服务
104+阅读 · 2020年6月28日
最新《自动微分手册》77页pdf
专知会员服务
105+阅读 · 2020年6月6日
少标签数据学习,54页ppt
专知会员服务
205+阅读 · 2020年5月22日
【ACL2020-Allen AI】预训练语言模型中的无监督域聚类
专知会员服务
24+阅读 · 2020年4月7日
简明扼要!Python教程手册,206页pdf
专知会员服务
48+阅读 · 2020年3月24日
机器学习速查手册,135页pdf
专知会员服务
345+阅读 · 2020年3月15日
Python数据分析:过去、现在和未来,52页ppt
专知会员服务
103+阅读 · 2020年3月9日
印度首次挑战登月告败,一步之遥≈多大差距?
人工智能学家
4+阅读 · 2019年9月7日
听完了1000+首古风歌曲,我发现自己也能火
PingWest品玩
4+阅读 · 2019年6月2日
冬日里的一首歌 | 清华快闪女指挥王明媚讲述背后的故事
清华大学研究生教育
60+阅读 · 2019年1月9日
丘成桐:攻克物理难题的数学大师
科技导报
5+阅读 · 2018年7月23日
一杯咖啡背后的拓扑 | 顾险峰
中国物理学会期刊网
7+阅读 · 2018年2月2日
王海峰首谈百度AI战略布局(PPT)
新智元
3+阅读 · 2017年9月15日
酒鬼漫步的数学——随机过程 | 张天蓉专栏
知识分子
10+阅读 · 2017年8月13日
Neural Speech Synthesis with Transformer Network
Arxiv
5+阅读 · 2019年1月30日
A General and Adaptive Robust Loss Function
Arxiv
8+阅读 · 2018年11月5日
VIP会员
最新内容
以色列-美国-伊朗战争中的无人机:关键要点
专知会员服务
1+阅读 · 今天14:04
《Palantir任务保障性软件安全标准(MA-S2)》
专知会员服务
5+阅读 · 今天13:49
基于声学的无人机检测技术综述
专知会员服务
3+阅读 · 今天13:37
《当代混合战争分析框架:俄乌战争经验教训》
专知会员服务
4+阅读 · 今天13:11
战略前沿人工智能的再思考(中文)
专知会员服务
7+阅读 · 5月29日
《量化地基防空系统间接效应的博弈论方法》
专知会员服务
5+阅读 · 5月29日
“史诗怒火行动”中美军损失的作战飞机
专知会员服务
6+阅读 · 5月29日
ICML 2026 | 理解上下文持续学习中的泛化与遗忘
专知会员服务
5+阅读 · 5月28日
相关VIP内容
非凸优化与统计学,89页ppt,普林斯顿Yuxin Chen博士
专知会员服务
104+阅读 · 2020年6月28日
最新《自动微分手册》77页pdf
专知会员服务
105+阅读 · 2020年6月6日
少标签数据学习,54页ppt
专知会员服务
205+阅读 · 2020年5月22日
【ACL2020-Allen AI】预训练语言模型中的无监督域聚类
专知会员服务
24+阅读 · 2020年4月7日
简明扼要!Python教程手册,206页pdf
专知会员服务
48+阅读 · 2020年3月24日
机器学习速查手册,135页pdf
专知会员服务
345+阅读 · 2020年3月15日
Python数据分析:过去、现在和未来,52页ppt
专知会员服务
103+阅读 · 2020年3月9日
相关资讯
印度首次挑战登月告败,一步之遥≈多大差距?
人工智能学家
4+阅读 · 2019年9月7日
听完了1000+首古风歌曲,我发现自己也能火
PingWest品玩
4+阅读 · 2019年6月2日
冬日里的一首歌 | 清华快闪女指挥王明媚讲述背后的故事
清华大学研究生教育
60+阅读 · 2019年1月9日
丘成桐:攻克物理难题的数学大师
科技导报
5+阅读 · 2018年7月23日
一杯咖啡背后的拓扑 | 顾险峰
中国物理学会期刊网
7+阅读 · 2018年2月2日
王海峰首谈百度AI战略布局(PPT)
新智元
3+阅读 · 2017年9月15日
酒鬼漫步的数学——随机过程 | 张天蓉专栏
知识分子
10+阅读 · 2017年8月13日
Top
微信扫码咨询专知VIP会员