斯坦福CS230官方指南:CNN、RNN及使用技巧速查(打印收藏)

2018 年 11 月 29 日 新智元




  新智元报道  

来源:Github

编辑:大明、小芹

【新智元导读】吴恩达斯坦福大学CS230《深度学习》课程内容归纳总结放出,全文干货。对于不方便正式上课的同学们来说,相信这份核心内容总结一定会对你有所帮助。

作为全球计算机四大名校之一,斯坦福大学的CS230《深度学习》课程一直受到全球计算机学子和从业人员的热烈欢迎。

 

CS230授课人为全球著名计算机科学家吴恩达和他的助教Kian Katanforoosh。


日前,MIT的Afshine Amidi 和斯坦福大学的Shervine Amidi在博客上整理了一份CS230课程知识点的归纳总结,在Reddit上引发热议。



评论网友纷纷表示喜大普奔,对于没有条件上课或者没赶上授课时间的人来说,看看这份总结贴也能获益颇丰。

 


这份总结提要基本遵循CS230的授课思路和流程,分三大方面由浅入深地介绍了深度学习的基本概念、网络模型、研究和实验操作方法等。三部分内容分别为:卷积神经网络、递归神经网络、提示与技巧。

 

本文主要介绍这份总结的第一部分,即CNN部分的内容,后两部分RNN、窍门与技巧部分,读者可自行参看Github上放出的资源:


卷积神经网络(CNN)

https://stanford.edu/~shervine/teaching/cs-230/cheatsheet-convolutional-neural-networks


递归神经网络(RNN)

https://stanford.edu/~shervine/teaching/cs-230/cheatsheet-recurrent-neural-networks


技巧与窍门

https://stanford.edu/~shervine/teaching/cs-230/cheatsheet-deep-learning-tips-and-tricks

囊括全部内容的“超级VIP”pdf下载

https://github.com/afshinea/stanford-cs-230-deep-learning/blob/master/super-cheatsheet-deep-learning.pdf


卷积神经网络结构:卷积层、池化层、全连接层

传统的卷积神经网络由输入图像、卷积层、池化层和全连接层构成。

卷积层(CONV):使用过滤器执行卷积操作,扫描输入大小。它的超参数包括滤波器的Size和Stride。结果输出O称为特征映射或激活映射。


池化层(POOL)是一种下采样操作,通常在卷积层之下使用,该卷积层执行一些空间不变性。其中最大池化和平均池化属于特殊操作,分别采用最大值和平均值。


全连接层(FC)在平坦输入上运行,每个输入都连接到所有神经元。如果全连接层存在,通常位于网络体系结构的末尾,可用于优化诸如分类评分等目标。


过滤器超参数


过滤器维度: 大小为F×F的过滤器应用在C channel上维度为F×F×C。


Stride:对于卷积和池化操作而言,Stride表示每次操作后窗口移动的像素数量。


Zero-padding表示对输入边界的每一端加入P个零的过程。这个值可以通过下图中所示的三个方式手动指定,也可以自动设置。

 

 

超参数的调整


卷积层中的超参数兼容性:记输入量长度为I,过滤器长度为F,补零数量为P,Stride量为S,则该维度下特征映射的输出大小O可用下式表示:


理解模型的复杂度:为了获取模型复杂度,常常可以通过相应架构下的参数数量来达到这一目标。在给定的卷积神经网络层中,该过程如下图所示:

 

 

感受野:层K上的感受野区域记为Rk×Rk ,即第K次激活映射可以“看见”的每个输入像素。若层j上的过滤器大小为Fj ,层 i 上的 Stride 值为 S i ,且 S0=1 ,则层 k 上的感受野可以由下式计算出:


常用激活函数

 

整流线性单元 整流线性单元层(ReLU)是激活函数g,作用于所有元素。它旨在为网络引入非线性特征,其变量总结在下图中:

 

Softmax:可以视作一个作用于网络架构末端通用逻辑函数,输入为分数向量,输出为概率向量。其定义如下:

 

物体检测


模型的类型:

有三类主要的物体识别算法,其预测的性质是不同的。如下表的描述:


三类物体识别算法


检测(Detection)

在对象检测的上下文中,根据我们是仅想要定位对象还是想要在图像中检测更复杂的形状,可以使用不同的方法。下面总结了两个主要的方法:


边界框检测和特征点检测


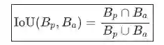
Intersection over Union:

Intersection over Union(交并比),也称为IoU,是一种量化预测边界框在实际边界框上的正确定位的函数。它的定义是:


备注:IoU∈[0,1]。按照惯例,如果IoU(Bp,Ba)⩾0.5,预测边界框Bp被认为是合理的。



Anchor boxes:

Anchor boxing是一种用于预测重叠边界框的技术。在实际应用中,网络可以同时预测多个box,其中每个box的预测被约束具有给定的一组几何特性。例如,第一个预测可能是给定形状的矩形框,而第二个预测可能是另一个形状不同的矩形框。


Non-max suppression:

Non-max suppression技术旨在通过选择最具代表性的对象来删除同一对象的重叠边界框。在删除了概率预测低于0.6的所有框之后,在剩余框中重复以下步骤:

对于一个给定的类,

步骤1:选择具有最大预测概率的框。

步骤2:删除任何与前一个框的IoU⩾0.5的框。



YOLO - You Only Look Once这是一种对象检测算法,它执行以下步骤:

步骤1:将输入图像分割成G×G的网格。

步骤2:对于每个网格单元,运行一个CNN网络,预测下面公式中的y:


其中是检测对象的概率,是检测到的边界框的属性,是检测到的p类的one-hot representation,k是anchor boxes的数量。


步骤3:运行 non-max suppression 算法,删除任何可能的重复重叠边界框。



R-CNN

Region with Convolutional Neural Networks (R-CNN) 是一种对象检测算法,它首先对图像进行分割以找到潜在的相关边界框,然后运行检测算法,在那些边界框中找到最可能的对象。



备注:虽然原始算法计算成本高且速度慢,但新的架构能让算法运行得更快,例如Fast R-CNN和Faster R-CNN。


面部验证和识别


模型类型:下面总结了两种主要类型的模型:



One Shot Learning

One Shot Learning是一种面部验证算法,它使用有限的训练集来学习相似函数,该函数量化两个给定图像的差异。应用于两个图像的相似度函数通常被标注为d(image 1,image 2).。


Siamese Network

Siamese Networks的目的是学习如何编码图像,然后量化不同的两个图像。对于给定的输入图像,编码输出通常记为


Triplet loss

Triplet loss ℓ是在图像A (anchor), P (positive) 和N (negative)这三个图像的嵌入表示上计算的损失函数。 anchor和positive示例属于同一个类,negative示例属于另一个类。通过调用margin参数,该损失定义如下:


神经风格迁移


动机:

神经风格转移(neural style transfer)的目标是基于给定内容C和给定风格S,生成图像G。



激活:

在给定层l中,激活被标记为,并且具有维度


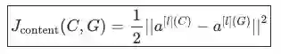
内容成本函数(Content cost function)

内容成本函数用于确定生成的图像G与原始内容图像C的不同之处。它的定义如下:



风格矩阵(Style matrix)

style matrix是一个Gram矩阵,其中每个元素量化了通道k和k'的相关性。它是根据激活定义的:


风格成本函数(Style cost function )

风格成本函数用于确定生成的图像G与风格S的不同之处。它的定义如下:



总成本函数(Overall cost function)

总成本函数的定义是内容和风格成本函数的组合,由参数α, β加权,如下所示:


使用计算技巧的架构


生成对抗网络(Generative Adversarial Network)

生成对抗网络,也称为GAN,由生成模型和判别模型组成,其中生成模型旨在生成最真实的输出,这些输出将被用于区分生成图像和真实图像。



ResNet(Residual Network)

残差网络架构(也称为ResNet),使用具有大量层的residual blocks来减少训练误差。 residual blocks 具有以下特征:



Inception Network 

该架构使用 inception modules,目的是尝试不同的卷积,以通过特征的多样化来提高其性能。具体来说,它使用1×1卷积技巧来限制计算负担。


原文链接:

https://stanford.edu/~shervine/teaching/cs-230/cheatsheet-convolutional-neural-networks



【加入社群】


新智元 AI 技术 + 产业社群招募中,欢迎对 AI 技术 + 产业落地感兴趣的同学,加小助手微信号:aiera2015_2  入群;通过审核后我们将邀请进群,加入社群后务必修改群备注(姓名 - 公司 - 职位;专业群审核较严,敬请谅解)。


登录查看更多
0

相关内容

计算机科学(Computer Science, CS)是系统性研究信息与计算的理论基础以及它们在计算机系统中如何实现与应用的实用技术的学科。 它通常被形容为对那些创造、描述以及转换信息的算法处理的系统研究。计算机科学包含很多分支领域;其中一些,比如计算机图形学强调特定结果的计算,而另外一些,比如计算复杂性理论是学习计算问题的性质。还有一些领域专注于挑战怎样实现计算。比如程序设计语言理论学习描述计算的方法,而程序设计是应用特定的程序设计语言解决特定的计算问题,人机交互则是专注于挑战怎样使计算机和计算变得有用、可用,以及随时随地为 所用。 现代计算机科学( Computer Science)包含理论计算机科学和应用计算机科学两大分支。
一份循环神经网络RNNs简明教程,37页ppt
专知会员服务
173+阅读 · 2020年5月6日
MATLAB玩转深度学习?新书「MATLAB Deep Learning」162页pdf
专知会员服务
104+阅读 · 2020年1月13日
【电子书】让 PM 全面理解深度学习 65页PDF免费下载
专知会员服务
18+阅读 · 2019年10月30日
【新书】Python编程基础,669页pdf
专知会员服务
197+阅读 · 2019年10月10日
太值得收藏了!秒懂各种深度CNN操作
机器学习算法与Python学习
11+阅读 · 2019年3月18日
误差反向传播——CNN
统计学习与视觉计算组
31+阅读 · 2018年7月12日
资源 |《解析卷积神经网络—深度学习实践手册》
黑龙江大学自然语言处理实验室
4+阅读 · 2017年12月21日
RNN | RNN实践指南(3)
KingsGarden
7+阅读 · 2017年6月5日
RNN | RNN实践指南(2)
KingsGarden
19+阅读 · 2017年5月4日
RNN | RNN实践指南(1)
KingsGarden
21+阅读 · 2017年4月4日
Do RNN and LSTM have Long Memory?
Arxiv
19+阅读 · 2020年6月10日
3D Deep Learning on Medical Images: A Review
Arxiv
13+阅读 · 2020年4月1日
Arxiv
18+阅读 · 2019年1月16日
Arxiv
22+阅读 · 2018年8月30日
Recurrent Fusion Network for Image Captioning
Arxiv
3+阅读 · 2018年7月31日
VIP会员
最新内容
超越网格:作战环境对炮兵的影响
专知会员服务
1+阅读 · 今天15:35
KDD 2026 | MixRAGRec:面向LLM推荐的混合专家KG-RAG框架
BES:让语言模型通过双向进化搜索自我改进
专知会员服务
4+阅读 · 5月30日
以色列-美国-伊朗战争中的无人机:关键要点
专知会员服务
4+阅读 · 5月30日
《Palantir任务保障性软件安全标准(MA-S2)》
专知会员服务
14+阅读 · 5月30日
基于声学的无人机检测技术综述
专知会员服务
8+阅读 · 5月30日
《当代混合战争分析框架:俄乌战争经验教训》
相关资讯
太值得收藏了!秒懂各种深度CNN操作
机器学习算法与Python学习
11+阅读 · 2019年3月18日
误差反向传播——CNN
统计学习与视觉计算组
31+阅读 · 2018年7月12日
资源 |《解析卷积神经网络—深度学习实践手册》
黑龙江大学自然语言处理实验室
4+阅读 · 2017年12月21日
RNN | RNN实践指南(3)
KingsGarden
7+阅读 · 2017年6月5日
RNN | RNN实践指南(2)
KingsGarden
19+阅读 · 2017年5月4日
RNN | RNN实践指南(1)
KingsGarden
21+阅读 · 2017年4月4日
Top
微信扫码咨询专知VIP会员