浅析神经网络与数学之间的一点关系

2017 年 11 月 14 日 机器学习研究会

推荐阅读时间:8~15min


主要内容:神经网络与数学之间的关系



在我们了解过神经网络的人中,都了解神经网络一个有很常见的训练方法,BP训练算法.通过BP算法,我们可以不断的训练网络,最终使得网络可以无限的逼近一种我们想要拟合的函数,最终训练好的网络它既能在训练集上表现好,也能在测试集上表现不错!


那么BP算法具体是什么呢?为什么通过BP算法,我们就可以一步一步的走向最优值(即使有可能是局部最优,不是全局最优,我们也可以通过其它的方法也达到全局最优),有没有一些什么数学原理在里面支撑呢?


1
BP算法


BP算法具体是什么,可以参考我以前文章推送(详细的将BP过程走了一遍,加深理解通俗理解神经网络BP反向传播算法)。


那么下面解决这个问题,为什么通过BP算法,就可以一步一步的走向更好的结果.


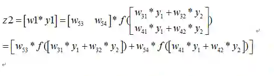
首先我们从神经网络的运行原理来看,假如现在有下面这个简单的网络,如图:



我们定义符号说明如下:


则我们正向传播一次可以得到下面公式:



如果损失函数C定义为


那么我们希望训练出来的网络预测出来的值和真实的值越接近越好.


我们先暂时不管SGD这种方法(感兴趣的可以参考我的这篇文章详解梯度下降法的三种形式BGD,SGD以及MBGD),最暴力的我们希望对于一个训练数据,C能达到最小,而在C表达式中,我们可以把C表达式看做是所有w参数的函数,也就是求这个多元函数的最值问题.那么成功的将一个神经网络的问题引入到数学中最优化的路上了.



转自:机器学习算法与自然语言处理


完整内容请点击“阅读原文”

登录查看更多
0

相关内容

人工神经网络(Artificial Neural Network,即ANN ),是20世纪80 年代以来人工智能领域兴起的研究热点。它从信息处理角度对人脑神经元网络进行抽象, 建立某种简单模型,按不同的连接方式组成不同的网络。在工程与学术界也常直接简称为神经网络或类神经网络。神经网络是一种运算模型,由大量的节点(或称神经元)之间相互联接构成。每个节点代表一种特定的输出函数,称为激励函数(activation function)。每两个节点间的连接都代表一个对于通过该连接信号的加权值,称之为权重,这相当于人工神经网络的记忆。网络的输出则依网络的连接方式,权重值和激励函数的不同而不同。而网络自身通常都是对自然界某种算法或者函数的逼近,也可能是对一种逻辑策略的表达。 最近十多年来,人工神经网络的研究工作不断深入,已经取得了很大的进展,其在模式识别、智能机器人、自动控制、预测估计、生物、医学、经济等领域已成功地解决了许多现代计算机难以解决的实际问题,表现出了良好的智能特性。
神经网络的拓扑结构,TOPOLOGY OF DEEP NEURAL NETWORKS
专知会员服务
35+阅读 · 2020年4月15日
干货书《数据科学数学系基础》2020最新版,266页pdf
专知会员服务
326+阅读 · 2020年3月23日
麻省理工学院MIT-ICLR2020《神经网络能推断出什么?》
专知会员服务
51+阅读 · 2020年2月19日
【电子书】让 PM 全面理解深度学习 65页PDF免费下载
专知会员服务
18+阅读 · 2019年10月30日
复旦大学邱锡鹏老师《神经网络与深度学习》书册最新版
神经网络与深度学习,复旦大学邱锡鹏老师
专知会员服务
123+阅读 · 2019年9月24日
从信息论的角度来理解损失函数
深度学习每日摘要
17+阅读 · 2019年4月7日
干货 | 深入理解深度学习中的激活函数
计算机视觉life
16+阅读 · 2019年1月29日
通俗理解卷积神经网络(小学生都能看懂)
七月在线实验室
9+阅读 · 2018年1月25日
如何轻松解锁神经网络的数学姿势
ImportNew
6+阅读 · 2018年1月4日
从零开始:教你如何训练神经网络
机器之心
5+阅读 · 2017年12月11日
神经网络bp算法推导
统计学习与视觉计算组
11+阅读 · 2017年11月17日
GAN的数学原理
算法与数学之美
16+阅读 · 2017年9月2日
【原理】GAN的数学原理
GAN生成式对抗网络
8+阅读 · 2017年8月30日
神经网络理论基础及 Python 实现
Python开发者
6+阅读 · 2017年7月15日
Arxiv
19+阅读 · 2018年6月27日
Arxiv
5+阅读 · 2018年4月30日
Arxiv
26+阅读 · 2018年2月27日
VIP会员
最新内容
《美陆军条例:陆军指挥政策(2026版)》
专知会员服务
6+阅读 · 今天8:10
《军用自主人工智能系统的治理与安全》
专知会员服务
5+阅读 · 今天8:02
《系统簇式多域作战规划范畴论框架》
专知会员服务
8+阅读 · 4月20日
高效视频扩散模型:进展与挑战
专知会员服务
4+阅读 · 4月20日
乌克兰前线的五项创新
专知会员服务
8+阅读 · 4月20日
 军事通信系统与设备的技术演进综述
专知会员服务
7+阅读 · 4月20日
《北约标准:医疗评估手册》174页
专知会员服务
6+阅读 · 4月20日
相关VIP内容
神经网络的拓扑结构,TOPOLOGY OF DEEP NEURAL NETWORKS
专知会员服务
35+阅读 · 2020年4月15日
干货书《数据科学数学系基础》2020最新版,266页pdf
专知会员服务
326+阅读 · 2020年3月23日
麻省理工学院MIT-ICLR2020《神经网络能推断出什么?》
专知会员服务
51+阅读 · 2020年2月19日
【电子书】让 PM 全面理解深度学习 65页PDF免费下载
专知会员服务
18+阅读 · 2019年10月30日
复旦大学邱锡鹏老师《神经网络与深度学习》书册最新版
神经网络与深度学习,复旦大学邱锡鹏老师
专知会员服务
123+阅读 · 2019年9月24日
相关资讯
从信息论的角度来理解损失函数
深度学习每日摘要
17+阅读 · 2019年4月7日
干货 | 深入理解深度学习中的激活函数
计算机视觉life
16+阅读 · 2019年1月29日
通俗理解卷积神经网络(小学生都能看懂)
七月在线实验室
9+阅读 · 2018年1月25日
如何轻松解锁神经网络的数学姿势
ImportNew
6+阅读 · 2018年1月4日
从零开始:教你如何训练神经网络
机器之心
5+阅读 · 2017年12月11日
神经网络bp算法推导
统计学习与视觉计算组
11+阅读 · 2017年11月17日
GAN的数学原理
算法与数学之美
16+阅读 · 2017年9月2日
【原理】GAN的数学原理
GAN生成式对抗网络
8+阅读 · 2017年8月30日
神经网络理论基础及 Python 实现
Python开发者
6+阅读 · 2017年7月15日
Top
微信扫码咨询专知VIP会员