Siamese network 孪生神经网络:一个简单神奇的结构

2019 年 8 月 28 日 CVer

点击上方“CVer”,选择加"星标"或“置顶”

重磅干货,第一时间送达

本文转载自:机器学习小知识


1. 名字的由来


Siamese和Chinese有点像。Siam是古时候泰国的称呼,中文译作暹罗。Siamese也就是“暹罗”人或“泰国”人。Siamese在英语中是“孪生”、“连体”的意思,这是为什么呢?


十九世纪泰国出生了一对连体婴儿,当时的医学技术无法使两人分离出来,于是两人顽强地生活了一生,1829年被英国商人发现,进入马戏团,在全世界各地表演,1839年他们访问美国北卡罗莱那州后来成为“玲玲马戏团” 的台柱,最后成为美国公民。1843年4月13日跟英国一对姐妹结婚,恩生了10个小孩,昌生了12个,姐妹吵架时,兄弟就要轮流到每个老婆家住三天。1874年恩因肺病去世,另一位不久也去世,两人均于63岁离开人间。两人的肝至今仍保存在费城的马特博物馆内。从此之后“暹罗双胞胎”(Siamese twins)就成了连体人的代名词,也因为这对双胞胎让全世界都重视到这项特殊疾病。


连体双胞胎及其妻子们


至于连体双胞胎是如何同英国姐妹分别生下了22个孩子的方法,就靠大家自己脑补了。


简单来说,Siamese network就是“连体的神经网络”,神经网络的“连体”是通过共享权值来实现的,如下图所示。


孪生神经网络


大家可能会有疑问:共享权值是什么意思?左右两个神经网络的权重一模一样?

答:是的,在代码实现的时候,甚至可以是同一个网络,不用实现另外一个,因为权值都一样。对于siamese network,两边可以是lstm或者cnn,都可以。

大家可能还有疑问:如果左右两边不共享权值,而是两个不同的神经网络,叫什么呢?

答:pseudo-siamese network,伪孪生神经网络,如下图所示。对于pseudo-siamese network,两边可以是不同的神经网络(如一个是lstm,一个是cnn),也可以是相同类型的神经网络。


伪孪生神经网络


2. 孪生神经网络的用途是什么?


简单来说,衡量两个输入的相似程度。孪生神经网络有两个输入(Input1 and Input2),将两个输入feed进入两个神经网络(Network1 and Network2),这两个神经网络分别将输入映射到新的空间形成输入在新的空间中的表示。通过Loss的计算,评价两个输入的相似度。

据我查到的资料,养乐村同志在NIPS 1993上发表了论文《Signature Verification using a ‘Siamese’ Time Delay Neural Network》用于美国支票上的签名验证,即验证支票上的签名与银行预留签名是否一致。1993年,养乐村同志就在用两个卷积神经网络做签名验证了,而我刚出生,作为一个出生没几年的新神经网络,在受我爸妈的训练。


signature verification


随着SVM等算法的兴起,neural network被人们遗忘,还好有一些执着的人们,坚守在了神经网络研究的阵地。2010年Hinton在ICML上发表了文章《Rectified Linear Units Improve Restricted Boltzmann Machines》,用来做人脸验证,效果很好。其原理很简单,将两个人脸feed进卷积神经网络,输出same or different。

啥?Siamese network只能做二分类?

不不不,它能做的事情还有很多很多,后面会继续介绍。


3. 孪生神经网络和伪孪生神经网络分别适用于什么场景呢?


先上结论:孪生神经网络用于处理两个输入"比较类似"的情况。伪孪生神经网络适用于处理两个输入"有一定差别"的情况。比如,我们要计算两个句子或者词汇的语义相似度,使用siamese network比较适合;如果验证标题与正文的描述是否一致(标题和正文长度差别很大),或者文字是否描述了一幅图片(一个是图片,一个是文字),就应该使用pseudo-siamese network。也就是说,要根据具体的应用,判断应该使用哪一种结构,哪一种Loss。


4. Siamese network loss function一般用哪一种呢?


Softmax当然是一种好的选择,但不一定是最优选择,即使是在分类问题中。传统的siamese network使用Contrastive Loss。损失函数还有更多的选择,siamese network的初衷是计算两个输入的相似度,。左右两个神经网络分别将输入转换成一个"向量",在新的空间中,通过判断cosine距离就能得到相似度了。Cosine是一个选择,exp function也是一种选择,欧式距离什么的都可以,训练的目标是让两个相似的输入距离尽可能的小,两个不同类别的输入距离尽可能的大。其他的距离度量没有太多经验,这里简单说一下cosine和exp在NLP中的区别。

根据实验分析,cosine更适用于词汇级别的语义相似度度量,而exp更适用于句子级别、段落级别的文本相似性度量。其中的原因可能是cosine仅仅计算两个向量的夹角,exp还能够保存两个向量的长度信息,而句子蕴含更多的信息。


我们在论文里使用了exp距离做多分类,解决Fakenewschallenge上标题与正文立场是否一致的问题。


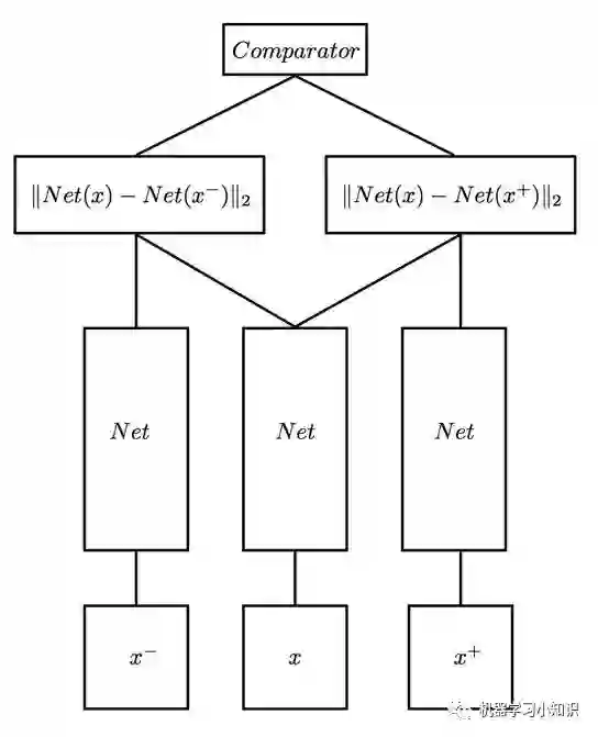
5. Siamese network是双胞胎连体,整一个三胞胎连体行不行?


不好意思,已经有人整过了,叫Triplet network,论文是《Deep metric learning using Triplet network》,输入是三个,一个正例+两个负例,或者一个负例+两个正例,训练的目标是让相同类别间的距离尽可能的小,让不同类别间的距离尽可能的大。Triplet在cifar, mnist的数据集上,效果都是很不错的,超过了siamese network。四胞胎,五胞胎会不会更屌?。。。。。目前还没见过。。。。


Triplet network


6. Siamese network的用途有哪些?


这个可以说太多了,nlp&cv领域都有很多应用。

  • 前面提到的词汇的语义相似度分析,QA中question和answer的匹配,签名/人脸验证。

  • 手写体识别也可以用siamese network,网上已有github代码。

  • 还有kaggle上Quora的question pair的比赛,即判断两个提问是不是同一问题,冠军队伍用的就是n多特征+Siamese network,知乎团队也可以拿这个模型去把玩一下。

  • 在图像上,基于Siamese网络的视觉跟踪算法也已经成为热点《Fully-convolutional siamese networks for object tracking》。


重磅!CVer学术交流群成立啦


扫码添加CVer助手,可申请加入CVer-目标检测、图像分割、目标跟踪、人脸检测&识别、OCR、姿态估计、超分辨率、SLAM、医疗影像、Re-ID、GAN、NAS、深度估计、自动驾驶、强化学习、车道线检测和模型剪枝&压缩等群。一定要备注:研究方向+地点+学校/公司+昵称(如目标检测+上海+上交+卡卡)

▲长按加群


▲长按关注我们

麻烦给我一个在看

登录查看更多
1

相关内容

【IJCAJ 2020】多通道神经网络 Multi-Channel Graph Neural Networks
专知会员服务
26+阅读 · 2020年7月19日
神经网络的拓扑结构,TOPOLOGY OF DEEP NEURAL NETWORKS
专知会员服务
35+阅读 · 2020年4月15日
【CVPR2020】图神经网络中的几何原理连接
专知会员服务
57+阅读 · 2020年4月8日
【ICLR2020-】基于记忆的图网络,MEMORY-BASED GRAPH NETWORKS
专知会员服务
110+阅读 · 2020年2月22日
论文浅尝 | 使用孪生BERT网络生成句子的嵌入表示
开放知识图谱
25+阅读 · 2019年10月31日
CVPR19 | SiamMask作者有话说——我对Siamese网络的一点思考
人工智能前沿讲习班
4+阅读 · 2019年3月10日
从零开始一起学习SLAM | 神奇的单应矩阵
计算机视觉life
9+阅读 · 2018年11月11日
SNN,像你的大脑一样工作
中国科学院自动化研究所
80+阅读 · 2018年11月7日
人工神经网络算法及其简易R实现
R语言中文社区
18+阅读 · 2017年8月5日
CNN之卷积层
机器学习算法与Python学习
8+阅读 · 2017年7月2日
Arxiv
7+阅读 · 2020年3月1日
Arxiv
6+阅读 · 2019年9月25日
A Survey on Deep Transfer Learning
Arxiv
11+阅读 · 2018年8月6日
Arxiv
5+阅读 · 2017年10月27日
VIP会员
最新内容
《美陆军条例:陆军指挥政策(2026版)》
专知会员服务
3+阅读 · 今天8:10
《军用自主人工智能系统的治理与安全》
专知会员服务
3+阅读 · 今天8:02
《系统簇式多域作战规划范畴论框架》
专知会员服务
7+阅读 · 4月20日
高效视频扩散模型:进展与挑战
专知会员服务
3+阅读 · 4月20日
乌克兰前线的五项创新
专知会员服务
7+阅读 · 4月20日
 军事通信系统与设备的技术演进综述
专知会员服务
5+阅读 · 4月20日
《北约标准:医疗评估手册》174页
专知会员服务
5+阅读 · 4月20日
相关资讯
论文浅尝 | 使用孪生BERT网络生成句子的嵌入表示
开放知识图谱
25+阅读 · 2019年10月31日
CVPR19 | SiamMask作者有话说——我对Siamese网络的一点思考
人工智能前沿讲习班
4+阅读 · 2019年3月10日
从零开始一起学习SLAM | 神奇的单应矩阵
计算机视觉life
9+阅读 · 2018年11月11日
SNN,像你的大脑一样工作
中国科学院自动化研究所
80+阅读 · 2018年11月7日
人工神经网络算法及其简易R实现
R语言中文社区
18+阅读 · 2017年8月5日
CNN之卷积层
机器学习算法与Python学习
8+阅读 · 2017年7月2日
Top
微信扫码咨询专知VIP会员