【Lancet Haemat】剂量调整的EPOCH-R方案显著提升MYC基因重排DLBCL的生存

2018 年 12 月 23 日 肿瘤资讯
编译:虚怀若谷
来源:肿瘤资讯

在侵袭性B细胞淋巴瘤中,MYC基因重排的发生率约为10%,是预后不良的因素之一。多项回顾性研究显示,R-CHOP方案对MYC基因重排的初治弥漫大B细胞淋巴瘤(DLBCL)患者疗效及生存结局欠佳。近来,The Lancet Haematology杂志上发布了一篇研究,其结果表明剂量调整的EPOCH-R方案可显著改善MYC基因重排的初治DLBCL患者生存。

研究背景

弥漫大B细胞淋巴瘤(DLBCL)在细胞起源、肿瘤基因突变及信号通路调控等方面存在明显异质性,MYC基因突变重排在DLBCL患者中的发生率约为10%,并且MYC基因重排常同时伴有BCL-2及BCL-6基因易位,称之为“双打击或三打击淋巴瘤(Double or Triple-hit Lymphoma)”。此类DLBCL患者的预后极差,对R-CHOP方案的治疗反应欠佳。剂量调整的EPOCH-R(DA-EPOCH-R)是高强度的免疫化疗方案,在侵袭性细胞淋巴瘤中具有较好的疗效,包括MYC基因重排的DLBCL患者。该研究旨在评估DA-EPOCH-R方案对MYC基因重排的DLBCL患者的疗效。

研究方法

该研究是一项前瞻性、多中心、非随机、II期临床试验,共纳入53例MYC基因重排的初治DLBCL患者,平均年龄为61岁,其中43例患者为III-IV期,分别有5例及22例患者伴有BCL-2或BCL-6基因重排(double-hit,双打击),3例患者同时伴有BCL-2及BCL-6基因重排(Triple-hit,三打击)。

所有患者均接受剂量调整的EPOCH-R方案(DA-EPOCH-R)治疗, 此方案中的起始剂量分别为:①依托泊苷50mg/m2/d;②阿霉素10 mg/m2/d;③长春新碱0.4 mg/m2/d(以上三种药物连续输注96h,d1~d5);④环磷酰胺750 mg/m2/d(d5);⑤利妥昔单抗375 mg/m2/d(d1)。此外,在d6时应用非格司亭(G-CSF)提升中性粒细胞计数(ANC),直至ANC>0.5×109/L。该研究的主要终点指标为无事件生存期(EFS)及总体生存期(OS)。次要终点指标为PET-CT中期检查时的生存结局及毒副作用。

研究结果

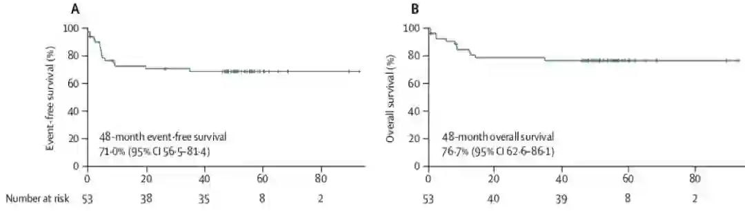
该研究目前的中位随访时间为55.6月,结果显示:①DA-EPOCH-R方案对MYC基因重排初治DLBCL患者的4年EFS达到了71%(95%CI:56.5%~81.4%),而4年OS高达76.7%(95%CI:62.6%~86.1%),详见图1;②亚组分析发现,DA-EPOCH-R方案对单打击DLBCL患者(指仅有MYC基因重排)、双打击DLBCL患者的4年EFS分别为62.7% vs 73.4%(P=0.4),4年OS则分别为63.2% vs 82%(P=0.12),详见图2。

图1:DA-EPOCH-R方案对MYC基因重排初治DLBCL患者的EFS及OS

 

图2:DA-EPOCH-R方案对双打击、单打击DLBCL患者的EFS及OS

在PET-CT中期检查时,对于PET-CT结果为阴性的初治DLBCL患者而言, 其4年EFS为87.4%, 4年OS为87.5%,而PET-CT阳性患者的4年EFS和OS分别为64.5%和72.3%(P值为0.057或0.23),详见图3。 在毒副反应(AEs)方面,4级中性粒细胞减少、血小板减少的发生率分别为53%及13%;2~3级的神经毒性发生率分别为21%(11/53)及7.5%(4/53)。

图3:PET-CT中期检查阴性及阳性DLBCL患者的4年EFS和OS

研究结论

本研究的中位随访时间达55.6月,其结果证实了剂量调整的EPOCH-R方案可显著改善MYC基因重排初治DLBCL患者的预后及生存结局,可使得双打击或三打击淋巴瘤这类预后极差的患者获得良好的EFS和OS。因此,该研究的深入能带来更多的治疗进展。

讨论

MYC基因重排是初治DLBCL患者的不良预后因素,并且经常伴有BCL-2或BCL-6基因重排(双打击或三打击淋巴瘤),这无疑更为加大了此类DLBCL患者的治疗难度。而既往的研究显示,R-CHOP方案对于双打击或三打击DLBCL患者的2年OS基本不超过50%。而该研究中,剂量调整的EPOCH-R方案(DA-EPOCH-R)对双打击DLBCL患者的4年EFS及OS可高达73.4%和82%,显著优于R-CHOP方案。当然,该研究也存在一定的限制性,例如患者例数偏少、存在一定的混杂因素等,需要通过深入的研究进一步证实。 

参考文献

Kieron Dunleavy, Michelle A Fanale, Jeremy S Abramson,et al. Dose-adjusted EPOCH-R (etoposide, prednisone,vincristine, cyclophosphamide, doxorubicin, and rituximab) in untreated aggressive diffuse large B-cell lymphoma with MYC  rearrangement: a prospective, multicentre, single-arm phase 2 study.Lancet Haematol. 2018 Dec;5(12):e609-e617

登录查看更多
0

相关内容

专知会员服务
29+阅读 · 2020年3月6日
【Blood】去甲基化治疗失败后,MDS应如何治疗?
Arxiv
3+阅读 · 2018年3月27日
VIP会员
最新内容
《美陆军条例:陆军指挥政策(2026版)》
专知会员服务
10+阅读 · 4月21日
《军用自主人工智能系统的治理与安全》
专知会员服务
6+阅读 · 4月21日
《系统簇式多域作战规划范畴论框架》
专知会员服务
10+阅读 · 4月20日
高效视频扩散模型:进展与挑战
专知会员服务
5+阅读 · 4月20日
乌克兰前线的五项创新
专知会员服务
8+阅读 · 4月20日
 军事通信系统与设备的技术演进综述
专知会员服务
8+阅读 · 4月20日
《北约标准:医疗评估手册》174页
专知会员服务
6+阅读 · 4月20日
相关VIP内容
专知会员服务
29+阅读 · 2020年3月6日
相关资讯
Top
微信扫码咨询专知VIP会员