注意力机制在分类网络中的应用:SENet、SKNet、CBAM

2020 年 5 月 17 日 极市平台

加入极市专业CV交流群,与 10000+来自港科大、北大、清华、中科院、CMU、腾讯、百度 等名校名企视觉开发者互动交流!

同时提供每月大咖直播分享、真实项目需求对接、干货资讯汇总,行业技术交流。关注 极市平台 公众号 ,回复 加群,立刻申请入群~


前面的话


上次文章中,我们主要关注了视觉应用中的Self-attention机制及其应用——Non-local网络模块,从最开始的了解什么是视觉注意力机制到对自注意力机制的细节把握,再到Non-local模块的学习。这次的文章我主要来关注视觉注意力机制在分类网络中的应用——SENet、SKNet、CBAM。

我们通常将软注意力机制中的模型结构分为三大注意力域来分析:空间域、通道域、混合域

(1) 空间域——将图片中的的空间域信息做对应的空间变换,从而能将关键的信息提取出来。对空间进行掩码的生成,进行打分,代表是Spatial Attention Module。

(2) 通道域——类似于给每个通道上的信号都增加一个权重,来代表该通道与关键信息的相关度的话,这个权重越大,则表示相关度越高。对通道生成掩码mask,进行打分,代表是senet, Channel Attention Module。

(3) 混合域——空间域的注意力是忽略了通道域中的信息,将每个通道中的图片特征同等处理,这种做法会将空间域变换方法局限在原始图片特征提取阶段,应用在神经网络层其他层的可解释性不强

而通道域的注意力是对一个通道内的信息直接全局平均池化,而忽略每一个通道内的局部信息,这种做法其实也是比较暴力的行为。所以结合两种思路,就可以设计出混合域的注意力机制模型。同时对通道注意力和空间注意力进行评价打分,代表的有BAM, CBAM。

下面,将主要介绍视觉注意力机制在分类网络中的应用。

Squeeze-and-Excitation Networks(SENet)


论文地址:https://arxiv.org/abs/1709.01507

代码地址:https://github.com/hujie-frank/SENet


SENet是Squeeze-and-Excitation Networks的简称,由Momenta公司所作并发于2017CVPR,论文中的SENet赢得了ImageNet最后一届(ImageNet 2017)的图像识别冠军,论文的核心点对CNN中的feature channel(特征通道依赖性)利用和创新提出的SE模块思想简单,易于实现,并且很容易可以加载到现有的网络模型框架中。SENet主要是通过显式地建模通道之间的相互依赖关系,自适应地重新校准通道的特征响应,换句话说,就是学习了通道之间的相关性,筛选出了针对通道的注意力,整个网络稍微增加了一点计算量,但是效果比较好。


上图是SENet的Block单元,图中的Ftr是传统的卷积结构,X和U是Ftr的输入(C'xH'xW')和输出(CxHxW),这些都是以往结构中已存在的。


SENet增加的部分是U后的结构:对U先做一个Global Average Pooling(图中的Fsq(.),作者称为Squeeze过程),输出的1x1xC数据再经过两级全连接(图中的Fex(.),作者称为Excitation过程),最后用sigmoid(论文中的self-gating mechanism)限制到[0,1]的范围,把这个值作为scale乘到U的C个通道上, 作为下一级的输入数据。



这种结构的原理是想通过控制scale的大小,把重要的特征增强,不重要的特征减弱,从而让提取的特征指向性更强。


通俗的说就是:通过对卷积的到的feature map进行处理,得到一个和通道数一样的一维向量作为每个通道的评价分数,然后将改分数分别施加到对应的通道上,得到其结果,就在原有的基础上只添加了一个模块。


这是文中给出的一个嵌入Inception结构的一个例子。由(H*W*C)全局平均池化得到(1*1*C),即S步;接着利用两个全连接层和相应的激活函数建模通道之间的相关性,即E步。E步中包含参数r的目的是为了减少全连接层的参数。输出特征通道的权重通过乘法逐通道加权到原来的特征上,得到(H*W*C)的数据,与输入形状完全相同。


基于Pytorch的代码实现:

class SELayer(nn.Module):
   def __init__(self, channel, reduction=16):
       super(SELayer, self).__init__()
       self.avg_pool = nn.AdaptiveAvgPool2d(1)
       self.fc = nn.Sequential(
           nn.Linear(channel, channel // reduction, bias=False),
           nn.ReLU(inplace=True),
           nn.Linear(channel // reduction, channel, bias=False),
           nn.Sigmoid()
       )

   def forward(self, x):
       b, c, _, _ = x.size()
       y = self.avg_pool(x).view(b, c)
       y = self.fc(y).view(b, c, 1, 1)
       return x * y.expand_as(x)

2. Convolutional Block Attention Module(CBAM)


论文地址:http://openaccess.thecvf.com/content_ECCV_2018/papers/Sanghyun_Woo_Convolutional_Block_Attention_ECCV_2018_paper.pdf


在该论文中,作者研究了网络架构中的注意力,注意力不仅要告诉我们重点关注哪里,还要提高关注点的表示。目标是通过使用注意机制来增加表现力,关注重要特征并抑制不必要的特征。为了强调空间和通道这两个维度上的有意义特征,作者依次应用通道和空间注意模块,来分别在通道和空间维度上学习关注什么、在哪里关注。此外,通过了解要强调或抑制的信息也有助于网络内的信息流动。



上图为整个CBAM的示意图,先是通过注意力机制模块,然后是空间注意力模块,对于两个模块先后顺序对模型性能的影响,本文作者也给出了实验的数据对比,先通道再空间要比先空间再通道以及通道和空间注意力模块并行的方式效果要略胜一筹。


那么这个通道注意力模块和空间注意力模块又是如何实现的呢?


  • 通道注意力模块



这个部分大体上和SENet的注意力模块相同,主要的区别是CBAM在S步采取了全局平均池化以及全局最大池化,两种不同的池化意味着提取的高层次特征更加丰富。接着在E步同样通过两个全连接层和相应的激活函数建模通道之间的相关性,合并两个输出得到各个特征通道的权重。最后,得到特征通道的权重之后,通过乘法逐通道加权到原来的特征上,完成在通道维度上的原始特征重标定。

   

class ChannelAttention(nn.Module):
def __init__(self, in_planes, rotio=16):
super(ChannelAttention, self).__init__()
self.avg_pool = nn.AdaptiveAvgPool2d(1)
self.max_pool = nn.AdaptiveMaxPool2d(1)

self.sharedMLP = nn.Sequential(
nn.Conv2d(in_planes, in_planes // ratio, 1, bias=False), nn.ReLU(),
nn.Conv2d(in_planes // rotio, in_planes, 1, bias=False))
self.sigmoid = nn.Sigmoid()

def forward(self, x):
avgout = self.sharedMLP(self.avg_pool(x))
maxout = self.sharedMLP(self.max_pool(x))
return self.sigmoid(avgout + maxout)


  • 空间注意力模块



首先输入的是经过通道注意力模块的特征,同样利用了全局平均池化和全局最大池化,不同的是,这里是在通道这个维度上进行的操作,也就是说把所有输入通道池化成2个实数,由(h*w*c)形状的输入得到两个(h*w*1)的特征图。接着使用一个 7*7 的卷积核,卷积后形成新的(h*w*1)的特征图。最后也是相同的Scale操作,注意力模块特征与得到的新特征图相乘得到经过双重注意力调整的特征图。



class SpatialAttention(nn.Module):
def __init__(self, kernel_size=7):
super(SpatialAttention, self).__init__()
assert kernel_size in (3,7), "kernel size must be 3 or 7"
padding = 3 if kernel_size == 7 else 1

self.conv = nn.Conv2d(2,1,kernel_size, padding=padding, bias=False)
self.sigmoid = nn.Sigmoid()

def forward(self, x):
avgout = torch.mean(x, dim=1, keepdim=True)
maxout, _ = torch.max(x, dim=1, keepdim=True)
x = torch.cat([avgout, maxout], dim=1)
x = self.conv(x)
return self.sigmoid(x)


网络整体代码:


class BasicBlock(nn.Module):
expansion = 1
def __init__(self, inplanes, planes, stride=1, downsample=None):
super(BasicBlock, self).__init__()
self.conv1 = conv3x3(inplanes, planes, stride)
self.bn1 = nn.BatchNorm2d(planes)
self.relu = nn.ReLU(inplace=True)
self.conv2 = conv3x3(planes, planes)
self.bn2 = nn.BatchNorm2d(planes)
self.ca = ChannelAttention(planes)
self.sa = SpatialAttention()
self.downsample = downsample
self.stride = stride
def forward(self, x):
residual = x
out = self.conv1(x)
out = self.bn1(out)
out = self.relu(out)
out = self.conv2(out)
out = self.bn2(out)
out = self.ca(out) * out # 广播机制
out = self.sa(out) * out # 广播机制
if self.downsample is not None:
residual = self.downsample(x)
out += residual
out = self.relu(out)
return out


Selective Kernel Networks(SKNet)


论文地址https://arxiv.org/abs/1903.06586
代码地址https://github.com/implus/SKNet


Selective Kernel Networks(SKNet)发表在CVPR 2019,是对Momenta发表于CVPR 2018上论文SENet的改进,且这篇的作者中也有Momenta的同学参与。


SENet是对特征图的通道注意力机制的研究,之前的CBAM提到了对特征图空间注意力机制的研究。这里SKNet针对卷积核的注意力机制研究。


不同大小的感受视野(卷积核)对于不同尺度(远近、大小)的目标会有不同的效果。尽管比如Inception这样的增加了多个卷积核来适应不同尺度图像,但是一旦训练完成后,参数就固定了,这样多尺度信息就会被全部使用了(每个卷积核的权重相同)。


SKNet提出了一种机制,即卷积核的重要性,即不同的图像能够得到具有不同重要性的卷积核。

据作者说,该模块在超分辨率任务上有很大提升,并且论文中的实验也证实了在分类任务上有很好的表现。

SKNet对不同图像使用的卷积核权重不同,即一种针对不同尺度的图像动态生成卷积核。整体结构如下图所示:

此图为GiantPandaCV公众号作者根据代码重画的网络图


网络主要由Split、Fuse、Select三部分组成。


  • Split部分是对原特征图经过不同大小的卷积核部分进行卷积的过程,这里可以有多个分支。


对输入X使用不同大小卷积核分别进行卷积操作(图中的卷积核size分别为3x3和5x5两个分支,但是可以有多个分支)。操作包括卷积、efficient grouped/depthwise convolutions、BN。


  • Fuse部分计算每个卷积核权重的部分。


将两部分的特征图按元素求和
U通过全局平均池化(GAP)生成通道统计信息。得到的Sc维度为C * 1
经过全连接生成紧凑的特征z(维度为d * 1), δ是RELU激活函数,B表示批标准化(BN),z的维度为卷积核的个数,W维度为d×C, d代表全连接后的特征维度,L在文中的值为32,r为压缩因子。


  • Select部分是根据不同权重卷积核计算后得到的新的特征图的过程。

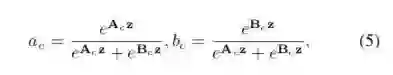
进行softmax计算每个卷积核的权重,计算方式如下图所示。如果是两个卷积核,则 ac + bc = 1。z的维度为(d * 1)A的维度为(C * d),B的维度为(C * d),则a = A x z的维度为1 * C。

Ac、Bc为A、B的第c行数据(1 * d)。ac为a的第c个元素,这样分别得到了每个卷积核的权重。
将权重应用到特征图上。其中V = [V1,V2,...,VC], Vc 维度为(H x W),如果
select中softmax部分可参考下图(3个卷积核)

下图是针对SKNet总结的思维导图,参考地址:https://blog.csdn.net/qq_34784753/article/details/89381947?depth_1-utm_source=distribute.pc_relevant.none-task&utm_source=distribute.pc_relevant.none-task

基于pytorch的代码实现:


class SKConv(nn.Module):
def __init__(self, features, WH, M, G, r, stride=1, L=32):
super(SKConv, self).__init__()
d = max(int(features / r), L)
self.M = M
self.features = features
self.convs = nn.ModuleList([])
for i in range(M):
# 使用不同kernel size的卷积
self.convs.append(
nn.Sequential(
nn.Conv2d(features,
features,
kernel_size=3 + i * 2,
stride=stride,
padding=1 + i,
groups=G), nn.BatchNorm2d(features),
nn.ReLU(inplace=False)))

self.fc = nn.Linear(features, d)
self.fcs = nn.ModuleList([])
for i in range(M):
self.fcs.append(nn.Linear(d, features))
self.softmax = nn.Softmax(dim=1)

def forward(self, x):
for i, conv in enumerate(self.convs):
fea = conv(x).unsqueeze_(dim=1)
if i == 0:
feas = fea
else:
feas = torch.cat([feas, fea], dim=1)
fea_U = torch.sum(feas, dim=1)
fea_s = fea_U.mean(-1).mean(-1)
fea_z = self.fc(fea_s)
for i, fc in enumerate(self.fcs):
print(i, fea_z.shape)
vector = fc(fea_z).unsqueeze_(dim=1)
print(i, vector.shape)
if i == 0:
attention_vectors = vector
else:
attention_vectors = torch.cat([attention_vectors, vector],
dim=1)
attention_vectors = self.softmax(attention_vectors)
attention_vectors = attention_vectors.unsqueeze(-1).unsqueeze(-1)
fea_v = (feas * attention_vectors).sum(dim=1)
return fea_v



参考:

1.https://blog.csdn.net/xjz18298268521/article/details/79078551

2.https://blog.csdn.net/qq_28454857/article/details/88837601

  3.https://zhuanlan.zhihu.com/p/59690223

4.https://blog.csdn.net/qq_39027890/article/details/86656182

推荐阅读:



添加极市小助手微信(ID : cv-mart),备注:研究方向-姓名-学校/公司-城市(如:AI移动应用-小极-北大-深圳),即可申请加入AI移动应用极市技术交流群,更有每月大咖直播分享、真实项目需求对接、求职内推、算法竞赛、干货资讯汇总、行业技术交流一起来让思想之光照的更远吧~


△长按添加极市小助手


△长按关注极市平台,获取最新CV干货


觉得有用麻烦给个在看啦~  

登录查看更多
15

相关内容

基于改进卷积神经网络的短文本分类模型
专知会员服务
26+阅读 · 2020年7月22日
【KDD2020】自适应多通道图卷积神经网络
专知会员服务
121+阅读 · 2020年7月9日
【CVPR2020-百度】用于视觉识别的门控信道变换
专知会员服务
13+阅读 · 2020年3月30日
注意力图神经网络的多标签文本分类
专知会员服务
112+阅读 · 2020年3月28日
图卷积神经网络蒸馏知识,Distillating Knowledge from GCN
专知会员服务
96+阅读 · 2020年3月25日
【ICLR-2020】网络反卷积,NETWORK DECONVOLUTION
专知会员服务
39+阅读 · 2020年2月21日
注意力机制介绍,Attention Mechanism
专知会员服务
172+阅读 · 2019年10月13日
语义分割中的Attention和低秩重建
极市平台
37+阅读 · 2019年9月1日
模块设计之 SKNet, GCNet, GloRe, Octave
极市平台
16+阅读 · 2019年5月20日
GCNet:当Non-local遇见SENet
极市平台
11+阅读 · 2019年5月9日
图像分类:常用分类网络结构(附论文下载)
极市平台
13+阅读 · 2019年4月8日
后ResNet时代:SENet与SKNet
PaperWeekly
23+阅读 · 2019年3月25日
自注意力机制在计算机视觉中的应用
GAN生成式对抗网络
19+阅读 · 2018年12月20日
《pyramid Attention Network for Semantic Segmentation》
统计学习与视觉计算组
44+阅读 · 2018年8月30日
干货 | ImageNet冠军模型SE-Net详解
AI科技评论
5+阅读 · 2018年2月6日
CVPR | ImageNet冠军模型SE-Net详解!
全球人工智能
3+阅读 · 2017年8月2日
Arxiv
19+阅读 · 2020年7月13日
Arxiv
102+阅读 · 2020年3月4日
OD-GCN: Object Detection by Knowledge Graph with GCN
Arxiv
4+阅读 · 2019年9月30日
Arxiv
6+阅读 · 2019年4月8日
Arxiv
19+阅读 · 2019年4月5日
Logic Rules Powered Knowledge Graph Embedding
Arxiv
7+阅读 · 2019年3月9日
Arxiv
3+阅读 · 2018年3月29日
Arxiv
3+阅读 · 2018年3月5日
VIP会员
最新内容
BES:让语言模型通过双向进化搜索自我改进
专知会员服务
0+阅读 · 今天16:48
以色列-美国-伊朗战争中的无人机:关键要点
专知会员服务
3+阅读 · 今天14:04
《Palantir任务保障性软件安全标准(MA-S2)》
专知会员服务
6+阅读 · 今天13:49
基于声学的无人机检测技术综述
专知会员服务
5+阅读 · 今天13:37
《当代混合战争分析框架:俄乌战争经验教训》
专知会员服务
5+阅读 · 今天13:11
战略前沿人工智能的再思考(中文)
专知会员服务
7+阅读 · 5月29日
《量化地基防空系统间接效应的博弈论方法》
专知会员服务
5+阅读 · 5月29日
相关VIP内容
基于改进卷积神经网络的短文本分类模型
专知会员服务
26+阅读 · 2020年7月22日
【KDD2020】自适应多通道图卷积神经网络
专知会员服务
121+阅读 · 2020年7月9日
【CVPR2020-百度】用于视觉识别的门控信道变换
专知会员服务
13+阅读 · 2020年3月30日
注意力图神经网络的多标签文本分类
专知会员服务
112+阅读 · 2020年3月28日
图卷积神经网络蒸馏知识,Distillating Knowledge from GCN
专知会员服务
96+阅读 · 2020年3月25日
【ICLR-2020】网络反卷积,NETWORK DECONVOLUTION
专知会员服务
39+阅读 · 2020年2月21日
注意力机制介绍,Attention Mechanism
专知会员服务
172+阅读 · 2019年10月13日
相关资讯
语义分割中的Attention和低秩重建
极市平台
37+阅读 · 2019年9月1日
模块设计之 SKNet, GCNet, GloRe, Octave
极市平台
16+阅读 · 2019年5月20日
GCNet:当Non-local遇见SENet
极市平台
11+阅读 · 2019年5月9日
图像分类:常用分类网络结构(附论文下载)
极市平台
13+阅读 · 2019年4月8日
后ResNet时代:SENet与SKNet
PaperWeekly
23+阅读 · 2019年3月25日
自注意力机制在计算机视觉中的应用
GAN生成式对抗网络
19+阅读 · 2018年12月20日
《pyramid Attention Network for Semantic Segmentation》
统计学习与视觉计算组
44+阅读 · 2018年8月30日
干货 | ImageNet冠军模型SE-Net详解
AI科技评论
5+阅读 · 2018年2月6日
CVPR | ImageNet冠军模型SE-Net详解!
全球人工智能
3+阅读 · 2017年8月2日
相关论文
Arxiv
19+阅读 · 2020年7月13日
Arxiv
102+阅读 · 2020年3月4日
OD-GCN: Object Detection by Knowledge Graph with GCN
Arxiv
4+阅读 · 2019年9月30日
Arxiv
6+阅读 · 2019年4月8日
Arxiv
19+阅读 · 2019年4月5日
Logic Rules Powered Knowledge Graph Embedding
Arxiv
7+阅读 · 2019年3月9日
Arxiv
3+阅读 · 2018年3月29日
Arxiv
3+阅读 · 2018年3月5日
Top
微信扫码咨询专知VIP会员