RecSys 2022 | 面向人岗匹配的双向选择偏好建模

2022 年 9 月 24 日 PaperWeekly


本文为 BOSS 直聘联合中国人民大学提出的建模双边选择偏好的人岗匹配模型。目前,该论文已被推荐系统国际会议 RecSys 2022 接收。


论文标题:

Modeling Two-Way Selection Preference for Person-Job Fit

收录会议:

RecSys 2022

论文链接:

https://arxiv.org/pdf/2208.08612




引言

求职招聘是一个双向选择的过程,作为参与方的求职者和招聘岗位应当同时满足双边的需要,而不仅仅满足其中某一方。针对该场景下的人岗匹配问题,本文提出了一种双视角图表示学习方法,同时建模求职者和招聘岗位之间的双向选择偏好。

为了从求职者和岗位的双重视角对双方偏好进行建模,本文为每个求职者(或岗位)引入两个不同的节点,并通过统一的双重视角交互图对不同方向和类型的交互进行建模,同时为了有效地学习双视角节点表示,本文还设计了一种有效的优化算法,包含四元损失和双视角对比学习损失。




背景介绍
随着互联网技术的快速发展,在线招聘平台中的求职者和招聘岗位的数量迅速增长,在这一背景下,如何能够设计有效的算法并通过推荐机制在求职者和招聘岗位之间建立高质量的联系是至关重要的。

现有的研究或者对单向选择过程(如根据岗位要求推荐合适的求职者)进行建模,或者对静态匹配关系(如简历/职位文本匹配方法)进行建模。由于求职招聘过程涉及求职者和招聘岗位双方,自然应当体现从求职者和招聘岗位两个角度的双向选择偏好,为了实现求职者与岗位的匹配,参与互动的双方应该同时满足对方的需要,单方面的满意无法使得匹配成功,双边期望的达成才是人岗匹配成功的关键。




问题定义

本文定义的人岗匹配为求职者和招聘岗位的匹配问题,最终目标是为人岗双方做推荐,所以可以视作为求职者和招聘岗位双方做推荐的排序问题。

在该场景下,每一个求职者和招聘岗位都有一段描述简历或职位的文本,同时在招聘平台中也沉淀了求职者和招聘方的一系列行为记录,比如求职者主动沟通岗位和招聘方主动联系求职者等,我们将其定义为三种不同的行为,求职者单向行为,招聘方单向行为以及成功匹配达成。
我们认为在求职招聘过程中,提供和接受职位是一个双向的过程,求职者和招聘方都会对对方表达自己的意图,这是双方的选择偏好。我们显式地将求职者和招聘方的选择偏好建模为  和  ,通过融合双视角的选择偏好来提升人岗匹配的效果。




方法描述


人岗匹配需要考虑双向选择偏好,本文提出双视角图卷积神经网络来建模求职者和岗位之间不同的有向行为。上图为所提出的 DPGNN 模型的总体框架,以下将从双视角图表示学习、自监督增强的双视角排序优化两个方面来介绍本文所提出的模型的细节内容。
4.1 双视角表示学习

1. 构建双视角交互图

为了刻画不同方向的行为,给定一个求职者 ,我们将其主动偏好和被动偏好分开表示,记为 和 ,类似的,用 代表岗位 的主动和被动表示,也就是说,在图的构建过程中,每个求职者和岗位分别建立两个节点,分别刻画他们的主动偏好和被动偏好。此交互图中的边通过三种不同的交互行为及其自身关联来构建,具体如下:
  • 求职者主动申请但是没有被接受:这种情况代表了招聘岗位满足求职者的期望,但是求职者没有满足招聘岗位的期望,这种单向行为反映了求职者的主动偏好,因此建立 与 之间的边。
  • 招聘方主动联系求职者但是被拒绝:与第一种情况类似,建立 与 之间的边。
  • 双方达成了面试约定:这种情况代表双方都满足了对方的期望,因此建立对应的两条边(即 与 , 与
举例来讲,如上图左下角所示,红色代表主动节点,绿色代表被动节点,方形代表岗位,圆形代表求职者,对于一个给定的求职者 ,岗位 3 主动沟通了该求职者却没被接受,其主动联系岗位 2 却被拒绝,而其与岗位 1 最终达成了面试约定,因此建立的边结构如图所示。

2. 节点初始化

对于图中每个节点 ,首先根据 ID 获取一个偏好嵌入,其次,每一个求职者和岗位都与一段描述性文本(简历文本/职位描述),我们进一步利用 BERT 模型对这段文本进行编码:保留文本的原始顺序,在文本的前面插入一个特殊的 token ——[CLS],然后将这段文本序列送入 BERT 模型,添加一个线性层以获取最终文本表示。这里同一求职者(岗位)的两个节点的文本表示相同。
如上图左上角所示,最终的节点表示由两部分拼接而成:



其中, 表示节点的偏好嵌入, 表示节点的文本表示嵌入。

3. 混合偏好的传播

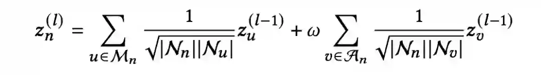
本文用交互图的形式来描述交互行为,采用图卷积网络(GCN)来学习节点表示。与之前的 GCN 研究不同,我们对每个涉及的求职者和岗位有两种不同的边,因此我们提出了一种混合偏好传播算法来学习节点表示。需要注意的是,这些差异体现在在边类型而不是节点类型上,因此可以统一定义所有节点的偏好传播:

在图卷积的第 层,对于每个节点 ,考虑来自两个不同交互集的偏好传播:与节点 相关的匹配集 和与节点 相关的单向交互集 。形式上,采用了一种轻量级的传播机制来更新节点表示:



其中 分别表示具有匹配交互和单向交互的邻居, 、 和 是节点 、节点 和节点 的邻居,这里因为这两种交互在学习节点表示时传递了不同层次的偏好,我们引入一个特定的超参数 ω 来平衡两种传播类型。
我们将来自(L+1)层的表示平均为每个节点 的最终表示,如下所示:



4. 预测

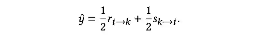
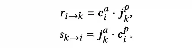
在学习了节点表示之后,我们可以计算双向选择偏好  (求职者选择该岗位的意愿)和  (招聘方选择该求职者的意愿),从双视角对意图进行建模。形式上,给定求职者 和岗位 ,我们使用内积来计算这两种意图得分:



最后,我们融合两种意图得分来预测最终匹配得分:


4.2 自监督增强的双视角排序优化

1. 四元损失函数

我们提出了一种新的四元损失函数。在求职招聘场景中,一个成功的匹配通常意味着从求职者的角度来看,该职位的排序应该很高,反之亦然。这两种视角都同样重要,必须同时满足双方偏好。

给定一个匹配的人岗对,通过采样获取一个与该岗位不匹配的求职者以及一个与该求职者不匹配的岗位,构建一个四元组 $$,直观上看,匹配记录的得分即正例得分应该同时高于双边负例得分,因此将广泛使用的 BPR 损失扩展为四元损失如下:



2. 双视角对比学习

对于每个求职者和岗位,我们设置了两种不同的表示,这两种表示应该具有一定的相似性,受上述见解的启发,我们设计了一个双视角对比学习优化函数,具体来讲,我们将同一求职者(岗位)的主动和被动表示看作正例对,求职者间(岗位间)的表示看作负例对,正例对的监督促进同一求职者(或岗位)不同视角表征的一致性,而负例的监督则试图扩大不同主体之间的差异性。形式上,采用 InfoNCE 来最大化正例对的一致性,以及最大化负例对的差异性:



其中, 为超参数,组合求职者和岗位双端的对比损失之后,最终自监督任务表示如下:


4.3 算法流程




实验结果


5.1 数据集介绍

本文基于在线招聘平台 BOSS 直聘的数据集进行相关实验,数据集包括三个职位类别:技术类、销售类和设计类。下表统计了处理后的实验数据统计信息:


5.2 对比实验

本文选取的基线模型包括三类:基于协同过滤的方法(BPRMF [1] ,NCF [2] ,LightGCN [3] ,LFRR [4] ),基于内容的方法(PJFNN [5] ,BPJFNN [6] ,APJFNN [6] ),混合方法(LIGCN_BERT,IPJF [7] ,PJFFF [8] ),主实验的实验结果如下图:



根据表中的实验结果,对于 4 种协同过滤模型,LightGCN 的性能最好,但与 BPRMF、NCF 和 LFRR 相比改进不显著。对于 BPJFNN、PJFNN 和 APJFNN 这三种基于内容的模型,其对文本内容的依赖程度较高,在大多数情况下表现不佳,可能的原因是,他们要求简历和岗位文本的结构性和完整性,而在我们的场景中,平台上的用户有不同的文本组织习惯。

IPJF 在销售方面表现不佳,这是由于不同类型交互的数量不平衡造成的。在大多数情况下,PJFFF 的性能更好,因为 PJFFF 集成了历史交互简历或职位描述。此外,技术类的岗位通常比其他岗位有更具体的技能要求,使得基于文本的模型在技术类中相对更有效。最后,正如我们所看到的,LIGCN_BERT 同时利用了交互行为和文本信息,它在基线模型中表现最好,这表明同时利用文本描述和交互行为是很重要的。

我们的方法在三个数据集的大多数指标上都取得了最好的性能。具体来说,在技术、销售和设计类数据集上,对比最佳基线模型,平均分别提升了 7.12%、4.81% 和 7.73%。与基线模型不同的是,我们的方法模拟了求职者和岗位的双向选择偏好,更适合于该场景。
5.3 消融实验

本文所提出方法的主要技术贡献在于双视角交互图的构建,以及涉及的两个优化目标,现在我们来分析每个部分对最终性能的影响。我们考虑 DPGNN 的以下三种变体:

(A) DPGNN w/o DPG:将提出的双视角交互图替换为每个用户只有一种表示的传统交互图;

(B) DPGNN w/o QL:将四元损失改为 BPR 损失;

(C) DPGNN w/o SSL:移除双视角对比损失。

在下表中,我们可以看到性能顺序为 DPGNN w/o QL < DPGNN w/o DPG < DPGNN w/o SSL < DPGNN。实验结果表明,这三个部分都有助于提高 DPGNN 的性能,特别是双视角交互图和基于四元的损失函数使我们的方法得到了更多的提升。



参考文献

[1] Steffen Rendle, Christoph Freudenthaler, Zeno Gantner, and Lars Schmidt-Thieme. 2009. BPR: Bayesian Personalized Ranking from Implicit Feedback. In UAI.
[2] Xiangnan He, Lizi Liao, Hanwang Zhang, Liqiang Nie, Xia Hu, and Tat-Seng Chua. 2017. Neural collaborative filtering. In WWW.
[3] Xiangnan He, Kuan Deng, Xiang Wang, Yan Li, Yongdong Zhang, and Meng Wang. 2020. Lightgcn: Simplifying and powering graph convolution network for recommendation. In SIGIR.
[4] James Neve and Ivan Palomares. 2019. Latent factor models and aggregation op- erators for collaborative filtering in reciprocal recommender systems. In RecSys.
[5] ChenZhu,HengshuZhu,HuiXiong,ChaoMa,FangXie,PengliangDing,and Pan Li. 2018. Person-job fit: Adapting the right talent for the right job with joint representation learning. TMIS (2018).
[6] Chuan Qin, Hengshu Zhu, Tong Xu, Chen Zhu, Liang Jiang, Enhong Chen, and Hui Xiong. 2018. Enhancing person-job fit for talent recruitment: An ability- aware neural network approach. In SIGIR.
[7] RanLe,WenpengHu,YangSong,TaoZhang,DongyanZhao,andRuiYan.2019. Towards effective and interpretable person-job fitting. In CIKM.
[8] Junshu Jiang, Songyun Ye, Wei Wang, Jingran Xu, and Xiaosheng Luo. 2020. Learning Effective Representations for Person-Job Fit by Feature Fusion. In CIKM.


更多阅读



#投 稿 通 道#

 让你的文字被更多人看到 



如何才能让更多的优质内容以更短路径到达读者群体,缩短读者寻找优质内容的成本呢?答案就是:你不认识的人。


总有一些你不认识的人,知道你想知道的东西。PaperWeekly 或许可以成为一座桥梁,促使不同背景、不同方向的学者和学术灵感相互碰撞,迸发出更多的可能性。 


PaperWeekly 鼓励高校实验室或个人,在我们的平台上分享各类优质内容,可以是最新论文解读,也可以是学术热点剖析科研心得竞赛经验讲解等。我们的目的只有一个,让知识真正流动起来。


📝 稿件基本要求:

• 文章确系个人原创作品,未曾在公开渠道发表,如为其他平台已发表或待发表的文章,请明确标注 

• 稿件建议以 markdown 格式撰写,文中配图以附件形式发送,要求图片清晰,无版权问题

• PaperWeekly 尊重原作者署名权,并将为每篇被采纳的原创首发稿件,提供业内具有竞争力稿酬,具体依据文章阅读量和文章质量阶梯制结算


📬 投稿通道:

• 投稿邮箱:[email protected] 

• 来稿请备注即时联系方式(微信),以便我们在稿件选用的第一时间联系作者

• 您也可以直接添加小编微信(pwbot02)快速投稿,备注:姓名-投稿


△长按添加PaperWeekly小编




🔍

现在,在「知乎」也能找到我们了
进入知乎首页搜索「PaperWeekly」
点击「关注」订阅我们的专栏吧

·

登录查看更多
0

相关内容

基于图学习的推荐系统研究综述
专知会员服务
89+阅读 · 2022年9月17日
EMNLP 2021 | 预训练跨语言模型中的大词表构建及使用
专知会员服务
22+阅读 · 2022年1月5日
专知会员服务
17+阅读 · 2021年9月18日
专知会员服务
42+阅读 · 2021年3月21日
专知会员服务
33+阅读 · 2021年2月12日
【CIKM2020】利用自注意力网络使搜索结果多样化
专知会员服务
13+阅读 · 2020年11月6日
CIKM 2022 | 基于动态搜索流的个性化搜索提示建模
PaperWeekly
0+阅读 · 2022年10月15日
SIGIR2022 | 基于领域交互的点击率预估模型
机器学习与推荐算法
0+阅读 · 2022年8月11日
SIGIR2022 | 基于森林的深度推荐算法
机器学习与推荐算法
0+阅读 · 2022年7月18日
史上最全推荐系统传统算法合集
PaperWeekly
4+阅读 · 2022年1月13日
CIKM'21 | 自监督图神经网络在社会化推荐中的应用
图与推荐
3+阅读 · 2021年11月16日
推荐系统之矩阵分解家族
图与推荐
13+阅读 · 2020年3月28日
国家自然科学基金
0+阅读 · 2015年12月31日
国家自然科学基金
3+阅读 · 2015年12月31日
国家自然科学基金
5+阅读 · 2015年12月31日
国家自然科学基金
1+阅读 · 2014年12月31日
国家自然科学基金
2+阅读 · 2012年12月31日
国家自然科学基金
6+阅读 · 2012年12月31日
国家自然科学基金
3+阅读 · 2012年12月31日
国家自然科学基金
3+阅读 · 2012年12月31日
国家自然科学基金
0+阅读 · 2012年12月31日
国家自然科学基金
1+阅读 · 2012年12月31日
Arxiv
15+阅读 · 2020年2月5日
Arxiv
20+阅读 · 2019年11月23日
Position-aware Graph Neural Networks
Arxiv
15+阅读 · 2019年6月11日
Arxiv
14+阅读 · 2018年4月18日
Arxiv
12+阅读 · 2018年1月28日
Arxiv
24+阅读 · 2017年3月9日
VIP会员
最新内容
人工智能在战场行动中的演进及伊朗案例
专知会员服务
2+阅读 · 今天13:08
美AI公司Anthropic推出网络安全模型“Mythos”
专知会员服务
2+阅读 · 今天12:58
【博士论文】面向城市环境的可解释计算机视觉
专知会员服务
0+阅读 · 今天12:57
大语言模型的自改进机制:技术综述与未来展望
专知会员服务
0+阅读 · 今天12:50
《第四代军事特种作战部队选拔与评估》
专知会员服务
1+阅读 · 今天6:23
相关资讯
CIKM 2022 | 基于动态搜索流的个性化搜索提示建模
PaperWeekly
0+阅读 · 2022年10月15日
SIGIR2022 | 基于领域交互的点击率预估模型
机器学习与推荐算法
0+阅读 · 2022年8月11日
SIGIR2022 | 基于森林的深度推荐算法
机器学习与推荐算法
0+阅读 · 2022年7月18日
史上最全推荐系统传统算法合集
PaperWeekly
4+阅读 · 2022年1月13日
CIKM'21 | 自监督图神经网络在社会化推荐中的应用
图与推荐
3+阅读 · 2021年11月16日
推荐系统之矩阵分解家族
图与推荐
13+阅读 · 2020年3月28日
相关基金
国家自然科学基金
0+阅读 · 2015年12月31日
国家自然科学基金
3+阅读 · 2015年12月31日
国家自然科学基金
5+阅读 · 2015年12月31日
国家自然科学基金
1+阅读 · 2014年12月31日
国家自然科学基金
2+阅读 · 2012年12月31日
国家自然科学基金
6+阅读 · 2012年12月31日
国家自然科学基金
3+阅读 · 2012年12月31日
国家自然科学基金
3+阅读 · 2012年12月31日
国家自然科学基金
0+阅读 · 2012年12月31日
国家自然科学基金
1+阅读 · 2012年12月31日
相关论文
Arxiv
15+阅读 · 2020年2月5日
Arxiv
20+阅读 · 2019年11月23日
Position-aware Graph Neural Networks
Arxiv
15+阅读 · 2019年6月11日
Arxiv
14+阅读 · 2018年4月18日
Arxiv
12+阅读 · 2018年1月28日
Arxiv
24+阅读 · 2017年3月9日
Top
微信扫码咨询专知VIP会员