【方向导数, 梯度向量和切平面】图解高等数学 -下 12

2017 年 12 月 30 日 遇见数学 李想

11.5 方向导数, 梯度向量和切平面

根据链式求导法则可知, 如果 f(x,y) 是可微的,则 f 沿曲线 x=g(t), y=h(t) 对于 t 的变化率是下面式子:

上面式子 f 对于 t增量的变化率依赖于沿曲线运动的方向.

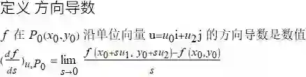
方向导数的解释

函数 z=f(x,y) 表示空间曲面 S. 则点  P( x 0 y 0 , z 0 )  在 S 上. 过点 P 和  P 0  的 u 方向的垂直平面交 S 与曲线 C. f 沿方向 u 的变化率是 C 在点 P 的切线的斜率. 观察下面动画:

方向导数推广了两个偏导数, 现在可以求沿任何方向的变化率了.

计算

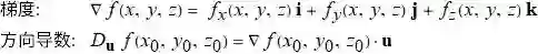
一个更有效的计算 f 在  cbf; P 0 方向 u 的方向导数的公式,就是 u 与 f 在  P 0  梯度的点击.

方向导数的性质

根据上式, 当  cos θ =1  时, u 与 [Del]f 同方向时, 函数 f 增加最快, 类似, 反方向减少最快. 而正交于梯度的方式 u 是 f 变化率为 0 的方向, 此时 [Theta]=pi/2.

函数  f(x) =  x 2 2 + y 2 2  在 (1,1) 增加最快的方向梯度的方向, 它对应于在点 (1,1,1) 在曲面上最陡峭的方向.

梯度和等高线的切线

函数 f(x,y) 的定义域的每个点  ( x 0 , y 0 ) , f 的梯度正交于过  ( x 0 , y 0 )  的等高线.

创建互动等高线,把法线显示为一个点:

增量和距离

f 沿方向 u 的变化有多少, 如从点  P 0  沿 u 移动一点点距离 ds , f 的值变化多少等于方向导数乘以ds .

三元函数

现在再看三元可微函数 f(x,y,z), 与之对应的单位向量  ,FontWeight- > Bold,FontSlant- > Plain] )= u 1 , u 2 , u 3 ! ( *StyleBox[ u . 则

切平面和法线

三元可微函数 f(x,y,z) 的梯度向量满足二元函数梯度的所有性质.

观察下面 "-17+x+2 y+4 z=0" 的等位面上的切平面动画:

(完)

「予人玫瑰, 手留余香」

转发既是支持, 我们会努力走得更远! 

登录查看更多
0

相关内容

【伯克利】再思考 Transformer中的Batch Normalization
专知会员服务
41+阅读 · 2020年3月21日
 第八届中国科技大学《计算机图形学》暑期课程课件
专知会员服务
62+阅读 · 2020年3月4日
特征方程的物理意义
算法与数学之美
7+阅读 · 2019年5月13日
面试时让你手推公式不在害怕 | 梯度下降
计算机视觉life
14+阅读 · 2019年3月27日
谷歌官方:反向传播算法图解
新智元
9+阅读 · 2018年6月29日
条件概率和贝叶斯公式 - 图解概率 03
遇见数学
10+阅读 · 2018年6月5日
机器之心最干的文章:机器学习中的矩阵、向量求导
深度学习世界
12+阅读 · 2018年2月7日
小白都能看懂的神经网络入门,快收下吧~
码农翻身
3+阅读 · 2018年1月4日
【直观详解】支持向量机SVM
机器学习研究会
18+阅读 · 2017年11月8日
图解高等数学|线性代数
遇见数学
39+阅读 · 2017年10月18日
机器学习(19)之支持向量回归机
机器学习算法与Python学习
12+阅读 · 2017年10月3日
【基础数学】- 01
遇见数学
20+阅读 · 2017年7月25日
VIP会员
最新内容
《人工智能赋能电磁战》(报告)
专知会员服务
2+阅读 · 今天14:47
【CMU博士论文】迈向可扩展的开放世界三维感知
专知会员服务
1+阅读 · 今天14:06
前馈式三维场景建模
专知会员服务
1+阅读 · 今天14:03
(译文)认知战:以士兵为目标,塑造战略
专知会员服务
3+阅读 · 今天3:12
相关资讯
特征方程的物理意义
算法与数学之美
7+阅读 · 2019年5月13日
面试时让你手推公式不在害怕 | 梯度下降
计算机视觉life
14+阅读 · 2019年3月27日
谷歌官方:反向传播算法图解
新智元
9+阅读 · 2018年6月29日
条件概率和贝叶斯公式 - 图解概率 03
遇见数学
10+阅读 · 2018年6月5日
机器之心最干的文章:机器学习中的矩阵、向量求导
深度学习世界
12+阅读 · 2018年2月7日
小白都能看懂的神经网络入门,快收下吧~
码农翻身
3+阅读 · 2018年1月4日
【直观详解】支持向量机SVM
机器学习研究会
18+阅读 · 2017年11月8日
图解高等数学|线性代数
遇见数学
39+阅读 · 2017年10月18日
机器学习(19)之支持向量回归机
机器学习算法与Python学习
12+阅读 · 2017年10月3日
【基础数学】- 01
遇见数学
20+阅读 · 2017年7月25日
Top
微信扫码咨询专知VIP会员