深度学习基础总结(附完整思维导图)

2020 年 5 月 14 日 THU数据派

来源:Python与算法社区


本文约 957字 ,建议阅读 3分钟
文为读者详细总结了深度学习的基础知识。

1 线型回归

预测气温、预测销售额、预测商品价格等
模型:权重,偏差
模型训练:feed 数据学习模型参数值,使得误差尽可能小
训练集、测试集、验证集、样本、标签、特征
损失函数:回归常用平方误差函数;
优化算法:小批量随机梯度下降(每次选一小批样本训练参数),每批样本大小叫做 batch size
学习率:正数
超参数:不是通过训练学出的,如学习率,批量大小
网络输出层只有一个神经元节点
全连接层:输出层中的神经元和输入层中各个输入完全连接
基本要素:模型、训练数据、损失函数和优化算法

2 softmax 回归

图像分类、垃圾邮件识别、交易诈骗识别、恶意软件识别等
softmax运算符将输出值变换成值为正,且和为1的概率分布
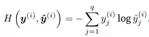
交叉熵损失函数:更适合衡量两个概率分布差异
softmax 回归是一个单层神经网络,输出个数等于类别个数

3 多层神经网络

激活函数:一种非线性函数
ReLU函数:只保留正数元素,负数元素清零
sigmoid函数:将元素值变换到0到1
tanh(双曲正切):元素值变换到-1到1

4 模型选择

模型在训练集上更准确时,不代表在测试集上就一定准确
训练误差:训练数据集上表现出的误差;泛化误差:模型在测试集上表现的误差期望
机器学习需要关注降低泛化误差
模型选择:评估若干候选模型的表现并从中选择模型
候选模型可以是有着不同超参数的同类模型
验证集:预留训练和测试集之外的数据;  折交叉验证:训练集分成 份,共 次轮询 训练集
欠拟合:模型无法得到较低的训练误差
过拟合:模型的训练误差远小于测试集上的误差
模型复杂度:低,容易欠拟合;高,容易过拟合
数据集大小:训练样本少,尤其少于学习参数数时,容易过拟合;层数多时尽量数据大些

5 必知技巧

过拟合解决措施之一:权重衰减,常用L2正则
L2惩罚系数越大,惩罚项在损失函数中比重就越大
丢弃法(dropout):一定概率丢弃神经元
正向传播:沿着输入层到输出层的顺序,依次计算并存储模型的中间变量
反向传播:从输出层到输入层参数调整过程
训练深度学习模型时,正向传播和反向传播间相互依赖
数值稳定性的问题:衰减和爆炸
层数较多时容易暴露,如每层都是一个神经元的30层网络,如果权重参数为0.2,会出现衰减;如果权重参数为2,会出现爆炸
权重参数初始化方法:正态分布的随机初始化;Xavier 随机初始化。

6 思维导图

以上1-5节的完整思维导图,制作出来方便大家更好学习:

——END——


登录查看更多
1

相关内容

【2020新书】监督机器学习,156页pdf,剑桥大学出版社
专知会员服务
154+阅读 · 2020年6月27日
深度学习自然语言处理概述,216页ppt,Jindřich Helcl
专知会员服务
216+阅读 · 2020年4月26日
Sklearn 与 TensorFlow 机器学习实用指南,385页pdf
专知会员服务
131+阅读 · 2020年3月15日
【新书】傻瓜式入门深度学习,371页pdf
专知会员服务
194+阅读 · 2019年12月28日
谷歌机器学习速成课程中文版pdf
专知会员服务
147+阅读 · 2019年12月4日
深度学习算法与架构回顾
专知会员服务
84+阅读 · 2019年10月20日
深度学习面试100题(第71-75题)
七月在线实验室
6+阅读 · 2018年8月2日
深度学习面试100题(第41-45题)
七月在线实验室
15+阅读 · 2018年7月18日
推荐 | 掌握这12条经验,对理解机器学习至关重要!(可下载PDF)
机器学习算法与Python学习
11+阅读 · 2018年6月29日
入门 | 深度学习模型的简单优化技巧
机器之心
10+阅读 · 2018年6月10日
BAT机器学习面试1000题系列(第76~80题)
七月在线实验室
5+阅读 · 2017年10月13日
深度学习模型、概念思维导图分享
深度学习与NLP
8+阅读 · 2017年8月22日
神经网络理论基础及 Python 实现
Python开发者
6+阅读 · 2017年7月15日
Meta-Transfer Learning for Zero-Shot Super-Resolution
Arxiv
43+阅读 · 2020年2月27日
Deep Graph Infomax
Arxiv
17+阅读 · 2018年12月21日
Arxiv
7+阅读 · 2018年12月10日
Arxiv
6+阅读 · 2018年2月24日
VIP会员
相关VIP内容
【2020新书】监督机器学习,156页pdf,剑桥大学出版社
专知会员服务
154+阅读 · 2020年6月27日
深度学习自然语言处理概述,216页ppt,Jindřich Helcl
专知会员服务
216+阅读 · 2020年4月26日
Sklearn 与 TensorFlow 机器学习实用指南,385页pdf
专知会员服务
131+阅读 · 2020年3月15日
【新书】傻瓜式入门深度学习,371页pdf
专知会员服务
194+阅读 · 2019年12月28日
谷歌机器学习速成课程中文版pdf
专知会员服务
147+阅读 · 2019年12月4日
深度学习算法与架构回顾
专知会员服务
84+阅读 · 2019年10月20日
相关资讯
深度学习面试100题(第71-75题)
七月在线实验室
6+阅读 · 2018年8月2日
深度学习面试100题(第41-45题)
七月在线实验室
15+阅读 · 2018年7月18日
推荐 | 掌握这12条经验,对理解机器学习至关重要!(可下载PDF)
机器学习算法与Python学习
11+阅读 · 2018年6月29日
入门 | 深度学习模型的简单优化技巧
机器之心
10+阅读 · 2018年6月10日
BAT机器学习面试1000题系列(第76~80题)
七月在线实验室
5+阅读 · 2017年10月13日
深度学习模型、概念思维导图分享
深度学习与NLP
8+阅读 · 2017年8月22日
神经网络理论基础及 Python 实现
Python开发者
6+阅读 · 2017年7月15日
相关论文
Meta-Transfer Learning for Zero-Shot Super-Resolution
Arxiv
43+阅读 · 2020年2月27日
Deep Graph Infomax
Arxiv
17+阅读 · 2018年12月21日
Arxiv
7+阅读 · 2018年12月10日
Arxiv
6+阅读 · 2018年2月24日
Top
微信扫码咨询专知VIP会员