学界 | 从ICLR2017被拒论文谈起:行走在GAN的Latent Space

2018 年 1 月 11 日 AI科技评论 達聞西

AI 科技评论按:本文作者達聞西,首发于作者的知乎专栏,AI 科技评论授权转载。

从Slerp说起

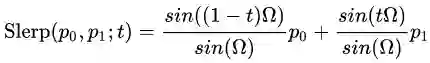
ICLR'2017的投稿里,有一篇很有意思但被拒掉的投稿《Sampling Generative Networks》 by Tom White(https://openreview.net/forum?id=SypU81Ole)。文章比较松散地讲了一些在latent space挺有用的采样和可视化技巧,其中一个重要的点是指出在GAN的latent space中,比起常用的线性插值,沿着两个采样点之间的“弧”进行插值是更合理的办法。实现的方法就是图形学里的 Slerp(spherical linear interpolation)在高维空间中的延伸:

形象理解并不难,以 wiki 上的图为例:



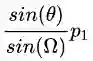
要求的是图中 P 点,在 Wiki 图的基础上我加了 A、B 和 O 三个点,O 就是原点。所以 P 其实就是 。先考虑求  ,第一步引入和  垂直的  ,也就是图中蓝色的箭头。那么  和 的比值就等于他们分别投影到蓝色向量上的部分的比值,也就是蓝色箭头两侧的橙色线段比红色线段。这个比值正是  ,于是  就是 。很显然,同样的方法也可以用来求  ,然后代入  ,并令 ,就得到了 Slerp 的公式。注意虽然推导的时候用的虽然是  和  在同一个(超)球面上,但是实际用的时候不同长度的  和  之间利用 Slerp 也是可以很自然的插值的,得到的向量长度介于二者之间且单调(非线性)增减。ICLR 的 Review 中也讨论到了这个问题。

使用Slerp比起纯线性插值的好处在哪里呢?作者原文这样解释:

Frequently linear interpolation is used, which is easily understood and implemented. But this is often inappropriate as the latent spaces of most generative models are high dimensional (> 50 dimensions) with a Gaussian or uniform prior. In such a space, linear interpolation traverses locations that are extremely unlikely given the prior. As a concrete example, consider a 100 dimensional space with the Gaussian prior µ=0, σ=1. Here all random vectors will generally a length very close to 10 (standard deviation < 1). However, linearly interpolating between any two will usually result in a「tent-pole effect as the magnitude of the vector decreases from roughly 10 to 7 at the midpoint, which is over 4 standard deviations away from the expected length.

就是说在高维(>50)的空间里做线性插值,会路过一些不太可能路过的位置,就好像数据都分布在帐篷布上,但是线性插值走的是帐篷杆。

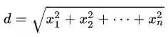
要更具体理解这个现象,还要从 GAN 中常用的prior distribution说起。在 GAN 中,最常用的是 uniform 和 Gaussian(感觉现在 Gaussian 居多)。不管是哪种 prior ,对于一个n维样本  ,到中心的欧式距离为:

而通常 GAN 的采样空间维度还算高,这个时候我们把 d 的平方看作是一连串 n 个独立同分布的随机变量  的和,则由中心极限定理可知 d 的平方近似服从正态分布(实际上是 Chi-square 分布):。考虑很常见的 100 维标准正态分布作为 prior 的情况,平方之后就是 k=1 的 Chi-square 分布,均值为 1,方差为 2。所以每个样本到原点的距离的平方近似服从 N(100, 200),标准差~14.14,如果认为  =14.14/100 已经足够小,使  ,则 d 也可以近似看作是一个高斯分布(实际上是Chi分布),均值为 10,标准差为 0.707,就是作者在原文中说的情况。

uniform prior 的情况也类似,不过更加复杂,因为均匀分布并非各向同性。在高维空间中,一个超立方体形状如果脑补一下就是一个球周边长了很多尖刺,每个尖刺就是象限中的一个极端值。具体推导我不会,不过写个程序很容易模拟。采 10 万个样本得到的结果是 100 维,每个维度[-1, 1]的均匀分布的 prior,样本到中心的距离平均值约为 5.77,标准差约 0.258。所以无论是哪种情况,高维空间里的样本都有一个特点:远离中心,且集中分布在均值附近。所以线性插值就会像在帐篷杆上插值一样,路过真实样本出现概率极低的区域。

原文还提到了在 100 维 Gaussian prior 的情况下,线性插值取到的点到中心的距离会从 10 到 7 ,这怎么理解呢?我的数学水平脑补不了这件事,定性来看随机采两个样本,这两个样本趋于垂直的倾向会很高,因为要趋于同向或者反向需要每一维的距离都足够近或足够远,这个概率会很低。定量的话可以写个程序模拟:

import numpy
from matplotlib import pyplot


def dist_o2l(p1, p2):
   # distance from origin to the line defined by (p1, p2)
   p12 = p2 - p1
   u12 = p12 / numpy.linalg.norm(p12)
   l_pp = numpy.dot(-p1, u12)
   pp = l_pp*u12 + p1
   return numpy.linalg.norm(pp)

dim = 100
N = 100000

rvs = []
dists2l = []
for i in range(N):
   u = numpy.random.randn(dim)
   v = numpy.random.randn(dim)
   rvs.extend([u, v])
   dists2l.append(dist_o2l(u, v))

dists = [numpy.linalg.norm(x) for x in rvs]

print('Distances to samples, mean: {}, std: {}'.format(numpy.mean(dists), numpy.std(dists)))
print('Distances to lines, mean: {}, std: {}'.format(numpy.mean(dists2l), numpy.std(dists2l)))

fig, (ax0, ax1) = pyplot.subplots(ncols=2, figsize=(11, 5))
ax0.hist(dists, 100, normed=1, color='g')
ax1.hist(dists2l, 100, normed=1, color='b')
pyplot.show()

结果如下:


左边是在 latent space 里随机采样的样本到中心距离的分布,右边是原点在随机采样的两个样本所在直线上的投影点到中心距离的分布,也就是线性插值中到中心最近点的距离的分布。可以看到随机采样并进行线性插值的办法还真的是容易路过样本几乎不可能出现的区域(距原点距离 5~7.5)。可是《Sampling Generative Networks》(https://openreview.net/forum?id=SypU81Ole)被拒的 comment 里有一句:「neither the reviewers nor I were convinced that spherical interpolation makes more sense than linear interpolation」。就这一点来说,感觉 Tom White 有些冤枉,虽然确实不是什么眼前一亮的大改进,但是有理有据。那为什么 reviewer 们没觉得比线性插值好多少呢?原因可能就是:

基于ReLU网络的线性

CNN 在 12 年的时候一鸣惊人,应该说 ReLU 一系的激活函数扮演了一个至关重要的角色:让深层网络可训练。后续的无论是 LeakyReLU、ELU 还是 Swish 等等,大于 0 的部分都是非常线性的。所以虽然非线性变换(激活函数)是神经网络作为 universal approximator 的基础,但基于 ReLU 系的神经网络其实是线性程度很高的。对于常见判别式网络,Ian Goodfellow 认为这种线性再加上 Distributed Representation 的超强表达能力是使得网络容易被对抗样本攻击的基础(详见这篇 https://arxiv.org/abs/1412.6572),并据此发明了 Fast Gradient Sign 方法快速生成对抗样本。

那么基于 ReLU 的 CNN 的线性有多强呢?先来看生成式网络,以 DCGAN 为例,示意图如下

从结构上来看,DCGAN 比常见的判别式网络更加线性,因为连 max pooling 都没了,不那么线性的部分就只有最后输出图片的Tanh。尤其是从 latent space 到第一组 feature map 这一步,常见的实现方法是把100维的噪声看成是 100 个channel,1x1 的feature map,然后直接用没有 bias 的 transposed convolution 上采样,是一个纯线性变换!定性来看,如果整个后续的网络部分线性程度也足够高,则在 latent space 的任意样本,同时对所有维度进行缩放的话,得到的图像应该差不多就是同一幅图不同的对比度。

训练一个 GAN 的生成器就可以验证这个结论,感谢何之源在文章《GAN学习指南:从原理入门到制作生成 Demo》(https://zhuanlan.zhihu.com/p/24767059)提供了一份对 GAN 而言高质量且好下载的动漫头像数据。基于这个数据和 PyTorch 的官方 DCGAN 例子(https://github.com/pytorch/examples/blob/master/dcgan/main.py)就可以很轻松的训练出一个模型。基于训练出的模型随机采样并分别进行 Slerp 和线性插值,结果如下:

1、3、5 行是线性插值的结果,2、4、6 是Slerp结果,仔细看的话会发现线性插值结果的中间部分和 Slerp 相比,颜色淡了那么一点点,除此以外差别微乎其微。也难怪 Reviewer 会觉得 Tom White 的结论不令人信服,如果没有对比,线性插值的结果看起来很好。并且由于高维空间中样本远离中心的特性,所以线性插值的均匀性和 Slerp 也差不多。不过有了上面的分析,再回过头来看 DCGAN 原文中的线性插值结果,好像中间部分看起来颜色还真是有点淡……

直接对比 Slerp 和线性插值并不是很有说服力,我们可以做一个更暴力的实验,让样本沿着一个随机方向从原点出发一直到距离原点20的位置,结果如下:

还是挺一目了然的,随着 latent sample 渐渐远离原点,图像的变化基本上是对比度越来越高,直至饱和。起码就人眼来说,这是很线性的。那么实际上呢?如果去掉 Tanh 层,随机取一些样本和输出图像随机位置的值,画出随着 latent sample 距中心距离变化的趋势,大概是下面这样:

可以看到,只有在距离中心很远的时候,线性才比较明显,这和 Goodfellow 论文中的图性质一致。在样本最集中的10附近,线性程度一般般,甚至有些输出都不是单调的。

那么更进一步,如果 latent sample 只产生在超球面上呢?或是到原点距离均匀分布呢?不妨试一试,结果如下:

1) 在到原点距离为10的超球面上产生 latent sample


肉眼看上去还是很线性,输出曲线的结果看上去和直接 Gaussian 采样差别也不大。

2) latent sample 到原点距离从0到10均匀分布

从曲线来看和前两种情况明显不一样了,生成图像质量也下降了一些。但是从产生的图片来看线性仍然较强,至少到中心距离<10 的部分,图片“身份”无区分度的结论还是基本成立。

这是个很有趣的现象,无论是 Gaussian 采样,还是1)和2)的情况,对人眼来说,这种很粗略程度的线性已经足够让沿着某个方向上的latent sample产生从“身份”角度看上去无差别的样本了。不管怎么样,基于这个现象,得到一个粗略的推论:GAN的Latent Space只有沿着超球面的变化才是有区分力的。

在Great Circle上行走

经过一番分析,得到了一个好像也没什么用的结论。再回来看最初的问题,线性插值会路过低概率区域(虽然并没有什么影响),Slerp 比线性插值也没什么视觉上的本质提高,那么有没有什么更优雅地行走在 latent space 的方法呢?我觉得是:Great Circle。比起 Slerp,Greate Circle 通常要经过多 3 倍的距离,虽然这和 Slerp 其实也没什么本质区别,但是感觉上要更屌,而且沿着 great circle 走起点和终点是同一个点,这感觉更屌。

产生 great circle 路径比 Slerp 要简单得多:1)根据所使用分布产生一个超球面半径r(按前面讨论,Gaussian 的话就是 chi 分布,或者 Gaussian 近似);2)产生一个随机向量 u 和一个与 u 垂直的随机向量 v ,然后把 u 和 v 所在平面作为 great circle 所在平面;3)u 和 v 等效于一个坐标系的两轴,所以 great circle 上任一点就用在 u 和 v 上的投影表示就可以,最后在乘上 r 就得到了行走在 great circle 上的采样。代码如下:

from __future__ import print_function
import argparse
import os
import numpy
from scipy.stats import chi
import torch.utils.data
from torch.autograd import Variable
from networks import NetG
from PIL import Image

parser = argparse.ArgumentParser()
parser.add_argument('--nz', type=int, default=100, help='size of the latent z vector')
parser.add_argument('--niter', type=int, default=10, help='how many paths')
parser.add_argument('--n_steps', type=int, default=23, help='steps to walk')
parser.add_argument('--ngf', type=int, default=64)
parser.add_argument('--ngpu', type=int, default=1, help='number of GPUs to use')
parser.add_argument('--netG', default='netG_epoch_49.pth', help="trained params for G")

opt = parser.parse_args()
output_dir = 'gcircle-walk'
os.system('mkdir -p {}'.format(output_dir))
print(opt)

ngpu = int(opt.ngpu)
nz = int(opt.nz)
ngf = int(opt.ngf)
nc = 3

netG = NetG(ngf, nz, nc, ngpu)
netG.load_state_dict(torch.load(opt.netG, map_location=lambda storage, loc: storage))
netG.eval()
print(netG)

for j in range(opt.niter):
   # step 1
   r = chi.rvs(df=100)

   # step 2
   u = numpy.random.normal(0, 1, nz)
   w = numpy.random.normal(0, 1, nz)
   u /= numpy.linalg.norm(u)
   w /= numpy.linalg.norm(w)

   v = w - numpy.dot(u, w) * u
   v /= numpy.linalg.norm(v)

   ndimgs = []
   for i in range(opt.n_steps):
       t = float(i) / float(opt.n_steps)
       # step 3
       z = numpy.cos(t * 2 * numpy.pi) * u + numpy.sin(t * 2 * numpy.pi) * v
       z *= r

       noise_t = z.reshape((1, nz, 1, 1))
       noise_t = torch.FloatTensor(noise_t)
       noisev = Variable(noise_t)
       fake = netG(noisev)
       timg = fake[0]
       timg = timg.data

       timg.add_(1).div_(2)
       ndimg = timg.mul(255).clamp(0, 255).byte().permute(1, 2, 0).numpy()
       ndimgs.append(ndimg)

   print('exporting {} ...'.format(j))
   ndimg = numpy.hstack(ndimgs)

   im = Image.fromarray(ndimg)
   filename = os.sep.join([output_dir, 'gc-{:0>6d}.png'.format(j)])
   im.save(filename)

结果如下:

虽然感觉没什么用,不过万一有人想试试,代码在此:great-circle-interp(http://t.cn/RHRlqyf

-------------------------------------

感谢 @李韶华指出普通 CNN 如果改变输入强度会否有同样特性,用 pyTorch 自带的预训练 resnet-18 试了试,随便找了 6 张图,取输入强度从 0 到原图 10倍,结果如下:

输入强度大了之后可以看到预期中的强线性。定性来看输入强度越大,任意神经元上的值偏离「零点」越来越远,这个过程中路过 ReLU 的零点的可能性就越来越低,所以线性会越来越强。从图上看,在合理范围内(0~2),resnet-18 的非线性响应比 GAN 明显很多,个人猜测可能是因为分类网络对输入输出都没有假设,不像 GAN 的 latent space 是有简单 prior,而且都是高度对称的分布,很可能起到了 regularization 的作用。定性来看这也许解释了为什么 PPGN 一类的网络产生 diversity 强的图片质量高很多,广义看 C-GAN 也可以这么理解。这也许并不是那么无聊的问题,我也想知道答案。

(完)

————— 新人福利 —————

关注AI 科技评论,回复 1 获取

【数百 G 神经网络 / AI / 大数据资源,教程,论文】


—————  AI 科技评论招人了  —————

AI 科技评论期待你的加入,和我们一起见证未来!

现诚招学术编辑、学术兼职、学术外翻

详情请点击招聘启事


—————  给爱学习的你的福利  —————

上海交通大学博士讲师团队

从算法到实战应用,涵盖CV领域主要知识点;

手把手项目演示

全程提供代码

深度剖析CV研究体系

轻松实战深度学习应用领域!

点击阅读原文详细了解

————————————————————

登录查看更多
0

相关内容

ICLR,全称为「International Conference on Learning Representations」(国际学习表征会议),2013 年才刚刚成立了第一届。这个一年一度的会议虽然今年才办到第五届,但已经被学术研究者们广泛认可,被认为「深度学习的顶级会议」。 ICLR由位列深度学习三大巨头之二的 Yoshua Bengio 和 Yann LeCun 牵头创办。 ICLR 希望能为深度学习提供一个专业化的交流平台。但实际上 ICLR 不同于其它国际会议,得到好评的真正原因,并不只是他们二位所自带的名人光环,而在于它推行的 Open Review 评审制度。
专知会员服务
63+阅读 · 2020年3月4日
49篇ICLR2020高分「图机器学习GML」接受论文及代码
专知会员服务
62+阅读 · 2020年1月18日
GANs最新综述论文: 生成式对抗网络及其变种如何有用
专知会员服务
72+阅读 · 2019年10月19日
强化学习最新教程,17页pdf
专知会员服务
182+阅读 · 2019年10月11日
GAN新书《生成式深度学习》,Generative Deep Learning,379页pdf
专知会员服务
208+阅读 · 2019年9月30日
【学界】DeepMind论文:深度压缩感知,新框架提升GAN性能
GAN生成式对抗网络
14+阅读 · 2019年5月23日
带你读论文 | 生成对抗网络GAN论文TOP 10
微软研究院AI头条
25+阅读 · 2019年4月11日
再谈变分自编码器VAE:从贝叶斯观点出发
PaperWeekly
13+阅读 · 2018年4月2日
探幽深度生成模型的两种方法:VAE和GAN
AI前线
15+阅读 · 2018年3月10日
条件GAN重大改进!cGANs with Projection Discriminator
CreateAMind
8+阅读 · 2018年2月7日
细数10个隐藏在Python中的彩蛋
七月在线实验室
4+阅读 · 2018年1月16日
GAN的数学原理
算法与数学之美
16+阅读 · 2017年9月2日
【原理】GAN的数学原理
GAN生成式对抗网络
8+阅读 · 2017年8月30日
Auto-Encoding GAN
CreateAMind
7+阅读 · 2017年8月4日
Graph Analysis and Graph Pooling in the Spatial Domain
Learning Implicit Fields for Generative Shape Modeling
Arxiv
11+阅读 · 2018年12月6日
q-Space Novelty Detection with Variational Autoencoders
Arxiv
5+阅读 · 2018年5月21日
VIP会员
最新内容
《第四代军事特种作战部队选拔与评估》
专知会员服务
1+阅读 · 今天6:23
不对称优势上升:自主系统如何强化海上拒止
专知会员服务
1+阅读 · 今天5:51
《人工智能赋能电磁战》(报告)
专知会员服务
2+阅读 · 4月17日
【CMU博士论文】迈向可扩展的开放世界三维感知
相关资讯
【学界】DeepMind论文:深度压缩感知,新框架提升GAN性能
GAN生成式对抗网络
14+阅读 · 2019年5月23日
带你读论文 | 生成对抗网络GAN论文TOP 10
微软研究院AI头条
25+阅读 · 2019年4月11日
再谈变分自编码器VAE:从贝叶斯观点出发
PaperWeekly
13+阅读 · 2018年4月2日
探幽深度生成模型的两种方法:VAE和GAN
AI前线
15+阅读 · 2018年3月10日
条件GAN重大改进!cGANs with Projection Discriminator
CreateAMind
8+阅读 · 2018年2月7日
细数10个隐藏在Python中的彩蛋
七月在线实验室
4+阅读 · 2018年1月16日
GAN的数学原理
算法与数学之美
16+阅读 · 2017年9月2日
【原理】GAN的数学原理
GAN生成式对抗网络
8+阅读 · 2017年8月30日
Auto-Encoding GAN
CreateAMind
7+阅读 · 2017年8月4日
Top
微信扫码咨询专知VIP会员