数学与物理间的不合理联系

2018 年 4 月 9 日 中国物理学会期刊网


○ 在这幅漫画中,从左往右分别是:社会学家、心理学家、生物学家、化学家、物理学家和数学家。越右边代表越纯粹。思想的流动是从右往左的,右边的学科不断为左边的学科提供“工具”。| 图片来源:xkcd

数学,是一门科学的语言。从算术到群论,数学构建了科学模型的基础。我们或许会受到一个灵感或一种类比的启发,但是精确的科学语言是需要以数学结构为基础的。或许我们所了解到的关于宇宙最基本的一些东西都和数学有着某种深刻的联系。 


这种联系或许可以上升为这样的一个问题:为什么数学如此有效?或许是因为我们只挑选那些有用的数学模型,而排除那些无法应用到科学的;又或许是因为作为在物理世界中进化而成的灵长类动物,我们认为是“纯粹”的数学其实反映的只是我们眼中的宇宙是如何运作的。无论何种原因,数学看起来似乎有着不合理的有效性。1960年,物理学家尤金·维格纳(Eugene Paul Wigner)在《数学在自然科学中不合理的有效性》中就表达了他惊奇于数学对物理世界的描述能力,远远超出任何纯粹人造工具的想法。的确,许多物理学家都认为数学深刻地表述了物理现实的本质。


他们为什么会这样认为?物理是否也能赠以数学相应的回报?


意想不到的结果


数学在物理学中所起到的重要作用是毋庸置疑的。无论是测量、计数、还是理解世界上的任何模式或关系,数学都是必不可少的工具。


然而令人惊讶的是,即使是那些纯粹为了追求美而发展出的纯数学,也能在它出现的很久之后在物理学中找到完美的应用。


举个例子,数学家波恩哈德·黎曼(Bernhard Riemann)在19世纪发展出了一套特殊的曲率几何概念。当提出这一想法时,黎曼丝毫没在意过物理学。那时的他绝对想不到,在20世纪初,他的工作会在爱因斯坦的笔下为物理学的革命性发展起到推波助澜的作用:黎曼几何正是广义相对论所需要的数学基础。根据广义相对论,引力是由于大质量物体弯曲时空结构而造成的结果。为了描述这种弯曲,爱因斯坦需要定义一个几何物体的曲率,而且不涉及该物体所嵌入的周围空间——这正是黎曼60年之前就已经做到的。


这只是数学意外地在物理学中发挥关键作用的其中一个例子。纯数学思维继续引领着现代物理学的发展道路,而且它们总是能够彰显自己卓越的效力。


简洁性


一旦某一物理学理论的数学描述被找到,就会发现它们通常都非常简单。这并非说物理的数学很容易,其实远非如此。它意味的是物理学的进展并不会带来更复杂的数学。物理学上的突破往往发生在出现一种全新的看待问题的方法时,这种方法需要的是一个从前没被用来思考这一问题的数学框架,又或者是全新的数学框架。在物理学史上,每当这样一个新的框架在物理学上施展时,就会发现最简单的那个方程成了描述宇宙运行规律的方程。


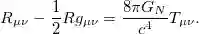
爱因斯坦的广义相对论就是这样一个例子。它的核心方程如下所示:




即使你无法领会其中每个符号的意思,但凭直觉也会感受到,作为一个描述宇宙中所有大型结构和过程的方程,它既优雅又简洁。


精确度


另一个将物理学中的数学与其他科学中所应用的数学区分开来的是令人难以置信的精确度。其中一个例子就是用来描述电子自旋如何对电磁场做出反应的 g 因子。通过实验,物理学家测量得到:



根据物理学中的量子场论,我们可以从第一性原理计算出g的值:



仔细对比就会发现,这两个数值的精确度令人惊讶地达到了小数点后的13位!!!在其他科学领域中,理论值与实验值是无法达到如此精确的。


物理学能回馈数学什么吗?


能!近几十年来,我们观察到了一个有趣的新动态:物理学的观点已经渗透到数学中,解决了原本似乎完全无法企及的数学问题。


一个漂亮的例子来自于物理学家在理解未知物体时最喜欢用的方法。他们会用一大堆他们理解的相当好的粒子,轰击那些未知的物体,再从这些粒子散射的方式推断出物体的属性。这也正是在大型强子对撞机(LHC)等实验中所发生的粒子碰撞的情况。


自黎曼以来,数学家开始对流形(manifold)产生极大的兴趣。如果你没听过流形这一概念,那么可以想象一个弯曲且闭合的表面,比如一个球或甜甜圈的表面,而流形就是这种形状在多维空间的推广。从近处看,这些都是几何物体,看起来与我们熟悉的普通欧几里德空间完全相似。但是,它们的整体结构可以比平面或三维空间要复杂得多。它们甚至可以拥有三个以上的维度。但由于我们无法勾勒出这样的流形,所以数学家们对此仍有许多困惑。


○ 六维卡拉比-丘流形。| 图片来源:Jeff Bryant / Visualization


这时便可以借鉴物理学中的散射思维了。物理学家允许那些用数学方程描述的假想粒子在这些抽象流形上来回移动,使它们“感受”到它们移动时所处的空间。当所使用的假想粒子是那些可以同时出现在很多地方的量子粒子时,这种方法被证明尤其有效,而且在弦理论中粒子的概念会被弦所取代。例如,这种弦使物理学家发现某些流形是成对的,这是数学家完全没有想到的一个事实。这种方法彻底改变了几何学,并解答了一百年来都无法解决的几何问题。


那么数学和物理学真的享有某种特殊的关系吗?自然的内秉是数学吗?或者这些例子只是我们选择的、或演化出的看待周围世界的方式?这是留给哲学家的问题了,或许未来我们也会找到其中的答案。


最后,引用维格纳曾说过的一句话来结尾:“数学语言在表述物理定律时的适当性是一个奇迹,一个我们既不理解也不应得的奇妙天赐。”


扩展阅读:


《以物理之眼,探索几何世界》


编译:佐佑

参考链接:https://plus.maths.org/content/unreasonable-relationship-between-mathematics-and-physics

本文经授权转载自《原理》微信公众号



十大热门文章

1.送别郝柏林先生

2. 我所知道的郝柏林 | 刘寄星

3. 周末大家谈—初访赵凯华先生

4. 物理给予我创新原动力 | 宣丽

5.  物理学咬文嚼字之九十五:紧绷的世界

6.  超导“小时代”之二十八:费米海里钓铁鱼

7.  则贤问学录之一—刘寄星篇(上)

8.  则贤问学录之一—刘寄星篇(下)

9. 中国高功率固体激光技术发展中的两次突破

10.2017年度物理科学二处科学基金项目评审工作综述

END

登录查看更多
0

相关内容

数学是关于数量、结构、变化等主题的探索。
【纽约大学】最新《离散数学》笔记,451页pdf
专知会员服务
132+阅读 · 2020年5月26日
最新《机器学习理论初探》概述
专知会员服务
48+阅读 · 2020年5月19日
机器学习速查手册,135页pdf
专知会员服务
345+阅读 · 2020年3月15日
图神经网络表达能力的研究综述,41页pdf
专知会员服务
173+阅读 · 2020年3月10日
特征方程的物理意义
算法与数学之美
7+阅读 · 2019年5月13日
【机器学习】深入剖析机器学习中的统计思想
产业智能官
17+阅读 · 2019年1月24日
做机器学习和AI必备的42个数学知识点
AI前线
9+阅读 · 2018年12月6日
丘成桐:攻克物理难题的数学大师
科技导报
5+阅读 · 2018年7月23日
吴军:数学,为人生之题解出漂亮的答案
算法与数学之美
7+阅读 · 2018年4月8日
学习人工智能需要哪些必备的数学基础?
人工智能,机器学习和深度学习之间的差异是什么?
大数据技术
6+阅读 · 2017年11月22日
大学数学不好,或许是数学教材的锅?
算法与数学之美
15+阅读 · 2017年8月1日
Learning Dynamic Routing for Semantic Segmentation
Arxiv
8+阅读 · 2020年3月23日
Arxiv
10+阅读 · 2020年2月15日
Arxiv
5+阅读 · 2019年6月5日
Arxiv
23+阅读 · 2018年10月1日
Adversarial Reprogramming of Neural Networks
Arxiv
3+阅读 · 2018年6月28日
VIP会员
最新内容
BES:让语言模型通过双向进化搜索自我改进
专知会员服务
3+阅读 · 5月30日
以色列-美国-伊朗战争中的无人机:关键要点
专知会员服务
4+阅读 · 5月30日
《Palantir任务保障性软件安全标准(MA-S2)》
专知会员服务
10+阅读 · 5月30日
基于声学的无人机检测技术综述
专知会员服务
7+阅读 · 5月30日
《当代混合战争分析框架:俄乌战争经验教训》
战略前沿人工智能的再思考(中文)
专知会员服务
8+阅读 · 5月29日
《量化地基防空系统间接效应的博弈论方法》
专知会员服务
6+阅读 · 5月29日
相关资讯
特征方程的物理意义
算法与数学之美
7+阅读 · 2019年5月13日
【机器学习】深入剖析机器学习中的统计思想
产业智能官
17+阅读 · 2019年1月24日
做机器学习和AI必备的42个数学知识点
AI前线
9+阅读 · 2018年12月6日
丘成桐:攻克物理难题的数学大师
科技导报
5+阅读 · 2018年7月23日
吴军:数学,为人生之题解出漂亮的答案
算法与数学之美
7+阅读 · 2018年4月8日
学习人工智能需要哪些必备的数学基础?
人工智能,机器学习和深度学习之间的差异是什么?
大数据技术
6+阅读 · 2017年11月22日
大学数学不好,或许是数学教材的锅?
算法与数学之美
15+阅读 · 2017年8月1日
Top
微信扫码咨询专知VIP会员