晶体几何系列之四:只有五种柏拉图多面体的证明

2019 年 6 月 10 日 中国物理学会期刊网

作者:曹则贤 (中国科学院物理研究所)


一般的数学教育内容都会包含简单的欧几里得几何学。那里面的几何形状,大体上都是一些多边形,且是区分形状和大小的。随着人们对几何认识的深入,还发展出了更高深的学问,拓扑学。拓扑学,topology,关切几何体的拓扑性质,与大小、形状无关而只和topos( 可理解为某种相对位置关系) 有关。几何学的意义怎么强调都不为过,几何是物理学的语言,甚至有物理学几何化的说法。拓扑学近年来深刻地影响了物理理论的发展,量子力学、相对论都纳入了拓扑学的语汇。学习拓扑学常被视为畏途。本文介绍关于只存在五种规则凸多面体的证明,读者可从中找到一点从几何学顺利地过渡到拓扑学的感觉。


1 多面体的欧拉公式


在大自然中,液滴的外观可能是光滑的曲面,小水珠几乎是完美的球形,而晶体的外观常常是由一些平的小面(facet)围成的。比如,图1 中的天然金刚石颗粒,外观就明显呈现多个规则的小面。这样的几何形状叫多面体,它的特征包括顶点(vertex,0 维)、边(棱,edge,1 维)和面(face,2 维)。如果多面体是凸的,即往外鼓的,则其顶点数V、边数E 和面数F 要满足一定关系,V-E+F=2。此乃所谓的欧拉多面体公式。从前用32 块皮子(20块六边形,12 块五边形)缝制的足球,就有60 个顶点和90 个边,满足V-E+F=2。记χ=V-E+F,称为欧拉示性数(Euler characteristic)。笔者以为,对于多面体这个公式,引入体(3 维)数S,可写为V-E+F-S=1,注意公式里的几何特征数目,随着几何特征的维度从0 开始逐步增加,其前面的+/-符号是交替变化的(这个符号的交替是其中学问的硬核,与其它学问分支有内在的联系)。这种写法的好处是,可以轻松推广到其它维度的情形而无需记忆不同的公式。比如二维情形,即对多边形,有V-E+F=1。当然了,因为F=1,它实际上是V-E=0,即多边形的顶点数和边数相同,这是人所共知的事实。容易想到,对于四维情形,即对polytype,有V-E+F-S+P=1,其中P是四维空间体的数目。因为P=1,相应的欧拉公式应为V-E+F-S=0。欧拉公式的证明可见文后所列的文献。本章则要利用欧拉公式证明一个有趣的观察事实,即只存在五种规则多面体,或称柏拉图多变体。


图1 长成凸多面体的金刚石颗粒


2 柏拉图多面体


如果一个凸多面体的小面是全等的规则多边形,则称为规则多面体。这样的规则凸多面体只有五种,即正四面体(tetrahedron,小面为三角形),正六面体(cube,立方体,小面为正方形),正八面体(octahedron, 小面为三角形), 正十二面体(dodecahedron,小面为五边形) 和正二十面体(icosahedron,小面为三角形),见图2。柏拉图时期人们就知道这五种规则多面体。在《蒂迈欧》一书中,柏拉图猜测地上的四种元素风、火、水和土以及天上的quintessence (即第五种存在)就分别对应这五种形状,因此这五种规则多面体又称为柏拉图多面体(Platonic solids)。具体地,正四面体对应火,正六面体对应土,正八面体对应气,正二十面体对应水, 而正十二面体对应quintessence 或者宇宙。整个天体为球体。后来,开普勒用它们构造宇宙的模型(图3)。柏拉图和开普勒这类人之所以是智者,就在于他们模糊的认识在后来被发现包含着最深刻的道理。这些多面体由球脱胎而来,数学上这些几何体的对称群是球对称群SO(3)的子群,而物理上一个球形液滴冷却后结晶,即发生对称性破缺,留下了对称性较低的固体颗粒。据信人类在四千年前就制作出这五种规则多面体了(图4)。不过,远古人类为什么要用石头制作正多(曲)面体,十分费解。


图2 五种柏拉图多面体


图3 开普勒用球和正多面体构造的宇宙模型


3 只有五种柏拉图多面体的证明


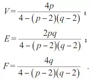
古人虽然感觉到只有五种柏拉图多面体,但却没有证明。关于这个问题,基于欧拉多面体公式,可以得出一个非常简单的证明。注意观察正多面体的边,每一个边都是由两个顶点规定了的,且每一个边又都是由两个面所规定了的:“两个顶点连一个边,两个面交于一个边。”这样,假设正多面体的小面是p-边形(p>2),每个顶点连接着q 条边(q>2),则有pF=2E=qV。由欧拉公式V-E+F=2,可联立求解得

可以得出如下解:

p=3,q=3,对应正四面体;

p=3,q=4,对应正八面体;

p=3,q=5,对应正二十面体;

p=4,q=3,对应正六面体;p=5,q=3,对应正十二面体。QED.

或者,将pF=2E=qV 带入欧拉公式V-E+F=2,得关系式2E/q- E + 2E/p=2 ,进一步地有1/q+ 1/p= 1/2+ 1/E> 12。因此,{p,q}的组合只有{3,3},{3,4},{3,5},{4,3},{5,3}这五种可能。


图4 苏格兰出土的人类四千多年前用石头制作的正多面体


4 多余的话


关于只有五种凸多面体的证明,当然还联系着别的数学,比如代数方程的解,比如群论。从实用性的角度来看,关于多面体性质的学问关系到对晶体学的理解,因此它是晶体学、固体物理进而材料科学的几何基础。晶体结构可看作是能充满整个三维空间的某种多面体或者多种多面体之组合在空间中的排列。图5 中的多面体,是由正八面体截去六个顶角得到的十四面体,也称截角八面体。它是常见的晶体单胞。试试数一数它的顶角数和边数是多少,看看是否满足欧拉多面体公式?这个多面体是一种典型的Wigner—Seitz 单胞。开尔文爵士曾猜测这种多面体充满空间, 是表面积之和最小的那种选择,这被称为开尔文猜想。类似地在二维情形,把平面充满的多边形,六角结构(蜂窝、炭单层)是边长之和最小的那种。开尔文猜想在2003年被证明是错的。


再啰嗦一句,当我们学习某个内容发现其极其难以理解时,很可能是预备知识不够。物理学是一条思想的河流,如果沿着其发展的脉络探寻的话,会发现它虽然有些起伏跳跃,但不会有大峡谷式的罅隙。如果真有这样的罅隙,那你的机会来了, remplir cette lacune,科学发展的一个模式就是填补空隙。


图5 截角八面体排列起来充满整个三维空间


参考文献

[1] Richeson D S. Euler's Gem:The Polyhedron Formula and the Birth of Topology. Princeton University Press,2008

[2] Flegg H G. From Geometry to Topology. Dover,2001


晶体几何系列:

晶体几何系列之一:晶体的点群与空间群

晶体几何系列之二:平面上圆密排定理的证明

晶体几何系列之三:准晶是高维晶体投影的证明


本文选自《物理》2019年第5期



往期精彩回顾

1.大型强子对撞机上的实验进展

2.认识黑洞的首个直接“视觉”证据

3.现实中的“降维攻击”导致二维拓扑量子物态 | 文小刚点评

4.物理学的忧伤

5.特别二的物理学——节选自《物理学咬文嚼字》彩色四卷本全集

6.晶体几何系列之三:准晶是高维晶体投影的证明

7.物理学交流的语言

8.建好2年多了,FAST干了啥?

9.一场学习革命

10.周光召先生与开放的中科院理论物理所 | 贺周光召先生从事科学事业65周年


登录查看更多
0

相关内容

【斯坦福大学博士论文】自监督场景表示学习, 97页pdf
专知会员服务
96+阅读 · 2020年6月19日
【CVPR2020】图神经网络中的几何原理连接
专知会员服务
57+阅读 · 2020年4月8日
【学科交叉】抗生素发现的深度学习方法
专知会员服务
25+阅读 · 2020年2月23日
【BAAI|2019】用深度学习模拟原子间势,王涵  (附pdf)
专知会员服务
18+阅读 · 2019年11月21日
3D重建:硬派几何求解vs深度学习打天下?
机器之心
5+阅读 · 2019年7月8日
特征方程的物理意义
算法与数学之美
7+阅读 · 2019年5月13日
可视化理解四元数,愿你不再掉头发
计算机视觉life
31+阅读 · 2019年1月2日
条件概率和贝叶斯公式 - 图解概率 03
遇见数学
10+阅读 · 2018年6月5日
再谈变分自编码器VAE:从贝叶斯观点出发
PaperWeekly
13+阅读 · 2018年4月2日
傅里叶变换和拉普拉斯变换的物理解释及区别
算法与数学之美
11+阅读 · 2018年2月5日
一杯咖啡背后的拓扑 | 顾险峰
中国物理学会期刊网
7+阅读 · 2018年2月2日
酒鬼漫步的数学——随机过程 | 张天蓉专栏
知识分子
10+阅读 · 2017年8月13日
Self-Attention Graph Pooling
Arxiv
5+阅读 · 2019年4月17日
The Evolved Transformer
Arxiv
5+阅读 · 2019年1月30日
Physical Primitive Decomposition
Arxiv
4+阅读 · 2018年9月13日
Doubly Attentive Transformer Machine Translation
Arxiv
4+阅读 · 2018年7月30日
Arxiv
3+阅读 · 2018年6月1日
VIP会员
最新内容
美国与以色列如何在攻击伊朗中使用人工智能
专知会员服务
2+阅读 · 57分钟前
《自动化战略情报管控》
专知会员服务
1+阅读 · 今天14:31
得失评估:审视对伊朗战争的轨迹(简报)
专知会员服务
2+阅读 · 今天14:19
【CMU博士论文】迈向可解释机器学习的理论基础
专知会员服务
2+阅读 · 今天12:23
基于数据优化的人机协同与机器人僚机
专知会员服务
5+阅读 · 今天2:08
相关资讯
3D重建:硬派几何求解vs深度学习打天下?
机器之心
5+阅读 · 2019年7月8日
特征方程的物理意义
算法与数学之美
7+阅读 · 2019年5月13日
可视化理解四元数,愿你不再掉头发
计算机视觉life
31+阅读 · 2019年1月2日
条件概率和贝叶斯公式 - 图解概率 03
遇见数学
10+阅读 · 2018年6月5日
再谈变分自编码器VAE:从贝叶斯观点出发
PaperWeekly
13+阅读 · 2018年4月2日
傅里叶变换和拉普拉斯变换的物理解释及区别
算法与数学之美
11+阅读 · 2018年2月5日
一杯咖啡背后的拓扑 | 顾险峰
中国物理学会期刊网
7+阅读 · 2018年2月2日
酒鬼漫步的数学——随机过程 | 张天蓉专栏
知识分子
10+阅读 · 2017年8月13日
相关论文
Self-Attention Graph Pooling
Arxiv
5+阅读 · 2019年4月17日
The Evolved Transformer
Arxiv
5+阅读 · 2019年1月30日
Physical Primitive Decomposition
Arxiv
4+阅读 · 2018年9月13日
Doubly Attentive Transformer Machine Translation
Arxiv
4+阅读 · 2018年7月30日
Arxiv
3+阅读 · 2018年6月1日
Top
微信扫码咨询专知VIP会员