史上最全面最标准的数学符号、公式的英语读法

2017 年 12 月 27 日 中科院物理所 英文茶馆



说起英语和数学,大概每个人都有难忘的回忆。可是学了十几、二十年的英语和数学,你会用英语来表达数学吗?烂熟于心的数学符号和表达式用英语会说吗?想不想挑战一下自己?



先来一个最简单的:1+2=3 用英语怎么说?


One plus two equals three. 哎呦不错哦, 继续!


 尝试:½ (x + y)英语怎么说?


这个呢?


这个呢?



就知道你说不出来咯~今天这篇文章,将从小学到博士后的数学符号和表达式的英文读法一网打尽,全都总结好了!惊不惊喜?意不意外?!



英文茶馆公众号四天没有推送任何内容,就是在准备这篇精品文章。囊括了从小学数学到高等数学,涉及到的主要符号和表达式的英文读法,查阅了很多资料,确保英文100%准确,请放心使用。


数学是所有理工学科的基础,是认识科学世界基本工具,数学的重要性不言而喻。所以,这篇文章是老少咸宜的、吐血总结的干货。可以帮助:


中小学生:了解英语不仅是“I am a student.My name is XXX.”,而是真正用于学习数学、学习知识的工具。

大学生:在外教课堂、国际会议、外企,面对常见的数学符号,简单得不能再简单的数学问题时,不再茶壶里煮饺子倒不出来。

留学党:缩短刚到国外听懂老师课堂讲课的过渡期。

学生家长可以为你家宝宝留着哦~


基本数学符号


1. 加减乘除

 

"+"当作运算符加号时读作plus,比如:

1+2 ➡️ one plus two


当"+"放在数字前表示正数时,读作positive,比如:

+4 ➡️ positive four


同样,“-”也有minusnegative两种读法,分别是减号负数


"×" 两种读法都可以,国外的教授会常常读成times,可能因为比较简单吧,比如:

9x6 ➡️ nine times six


“÷”只有一种读法divided by,就是被…分成几份

15÷3 ➡️ fifteen is divided by three


注意

其中plus和minus是不用第三人称单数形式的,因为plus和minus根本就不是动词,而是介词。


但是乘和除,的的确确是动词,出现第三人称单数的形式。您记住了吗?


2. 比较运算符


比较运算符用来比较两个表达式的大小关系,比如:1+4>3 ➡️ one plus four is greater than three


为什么用is

这里one plus four 是介词plus 连接两个名词,但是one plus four 作为一个整体当作主语,因此不用are,而是is


4+5=9 ➡️ four plus five equals nine 或 four plus five is equal to nine


其他的类推,只要你认识数学符号,应该不难用英语说出来。


3. 括号


括号是最常见的数学符号了。


中文里同类词习惯有相同的部分,比如:卡车、消防车、救护车都有“车”字。小括号,中括号,大括号都是括号。(多么科学啊!)


而英语里卡车、消防车、救护车分别是truck, fire engine, ambulance一点都不像。


英语里小括号,中括号,大括号这三个词也是没有一点相似,分别是:parenthesis,bracket,brace.(太不科学了!)


左括号叫做left或open右括号叫做right或closed. 下次碰到了就大胆地说出来吧!


4. 级数表示


哇~到中学数学了~这张表里的“a”是变量,而不是冠词“一个”的意思哦。


|a|a的绝对值或绝对值a, 英文读作absolute value of a非常好理解。


a'是什么?a就是与a相关又不想重复的时候会用一下,英语里读成a prime, 同样有两撇a double prime, 三撇triple prime


但是注意了,如果a'表示时间分秒里的分,或者其他有具体意义的时候,就要按照具体意义读了。

an次方,na相乘的结果,读作superscript n或者a to the n


这两个初中代数就出现了,读作a bara starBar 就是的意思。a上面有个杆。中文怎么读?a杠,a星。


square是数学里的平方,cube是立方,root是根号,这几个词用于表示开方


是最常出现的了,读作a sub n一定要记住了!!在数学上大量出现。根号a三次方a读作square root of acube root of a


5. 微分和偏微分


升级到了高等数学,经过高考的学生才会碰到这两个。

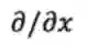
这是什么鬼?这是一个变量对x微分或偏微分的运算符,符号后面还要加上某一个变量。首先,小伙伴知道中文怎么念吗?


嘿嘿,dd x?英文读作d by d x,严谨地读作the derivative with respect to x, with respect to 是关于的意思,就是关于x的微分。


偏 比偏x?英文读作the partial derivative with respect to x或者简单地读作partial over partial xpartial是部分的意思。


顺便显摆一下,微分是单变量时候叫法,如果是多变量就是偏微分喽!看咱这数学是不是杠杠滴!


6. 其他数学符号


进阶篇


有点数学基础了吧,来点实用的!进阶篇!


1. 代数(1)


以上几个是代数表达式,是符号之间的运算。表达式不是等式,所以其英文翻译也不是一个句子,类似一个名词短语。


比如ab-c读作a b minus c,介词minus连接两个名词变量,结果还是一堆名词变量。ab直接读 a b 就行。


因为语言的本质是传递信息,懂数学的人已经明白了,没有二义性。


如要更清晰地表达ab是 a times btimes是谓语动词 time的第三人称单数。


a-(b-c)a(b+c)里有一对括号,不用把括号读出来,读出来是赵本山,读信件时读逗号、括号、括号完了(liǎo)


a-(b-c)数学上的意思是a减去bc的差,英文也是这个逻辑,读作a minus the difference b minus c,没有of,其中the difference的意思。


a(b+c)读作a times the sum b plus c,应该很好理解了。


a-(-b-c)读作a minus the quantity minus b minus c,使用quantity是英语语言习惯,避免plus和minus连在一起说。


2. 代数(2)

这几个单独拿来说事,是因为太重要了!


在国外课堂上,老师一边写公式一边嘴里叨咕着,公式里分数是很多,一般都念做over!因为快!比如8/9直接念eight over nine


复杂点的第二个

中文读c分之abd,中文读法有歧义,分不清加d是在分子上还是分数后面。


英文读作the quantity a plus b over c, that fraction plus d, 没有歧义!perfect! 


是拿来绕嘴的,读作the fraction x squared over a squared plus the fraction y

squared over b squared equals 1其中fraction是分数的意思。


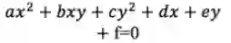
这个是拿来是给你找信心的,很简单吧:a x squared plus b x y plus c y squared plus d x plus e y plus fequals zero完全读对的童鞋奖励自己一根棒棒糖。



3. 几个特殊的

 

这几个特殊的每一个都很珍贵!拿走不谢。


第一个

简单读成a to the x,例子非常多,比如 读作three to four,也可以读的更完整点,three raised to the four power


是以b为底的a的对数,log to the base of a,其中the base就是为底了,介词严谨地表达了准确的数学定义。


是以10为底的3乘4的积的对数,读作log to the base 10 of the product 3 times 4


以此类推,

中注意the fractionthe ratio是一样的,分数就是比的意思嘛。



x的自然对数,读作the natural log of x


自然对数底是多少?哼哼,百度啊,e=2.71828


注意:

中的“点点点”就读做dot dot dot


p(x)数学上是表示一个以x为自变量的函数p,读作p of x。为什么不读成p x, 汉语就是这么读的.应该是避免和px搞混吧。


另外注意,

里也有个of


4. 带of的函数

单独总结一下带of 的函数,数学上是以x为自变量的函数p,其他的都不复杂。


5. 专业课里常出的数学符号

这些在工程学科的专业课里很容易见到,理论力学里用

表示正应力,读作sigma sub x,注意 sub 表示下标。
当有大写字母时,读作Capital q sub one
有括号,读作Capital e of x,结合上面的p(x)印象应该很深吧。


这个比较怪,下标带括号,汉语一般读成下标括号p,英文读作sub p in parenthesesparentheses是括号的意思。

6. 高等数学里面的几个符号

 这几个表达式是求和、求积和求极限。


汉语读西格玛1到大n,英文读作summation from one to capital n


英文里把希腊字母的意思说出来了,求和(summation), 这里多了正无穷,读作summation from i equals one to infinity of x sub i


infinity就是正无穷。数学上是多个量求积的符号,英文product,是名词。


结构和求和一样,product from one to n


同理,

读成product from i equals one to infinity of sub i


的意思是x趋近ay的极限等于blimit as x approaches a of y equals b,limit是极限,名词,approaches 是趋紧的第三人称单数。
的数学意思是当x从左边趋紧a时关于x的函数f的极限,英文读作limit as x approaches a minus of fof x,从左边就是从minus方向
数学意思是函数fx的不定积分,英文读作integral of  f of x d x,其中integral是积分的意思。


7.  线性代数中的英文读法

线性代数是大学生必学的科目,里面全是矩阵向量,英文分别是matrixvector,不明觉厉!

表里第一个是个矩阵,有四个元素,第一行是2 和 7, 第二行是3和10,用英文读时也和中文表达类似。


Two by two matrix (意思是2x2 矩阵),first row two seven, second row tree ten


注意此处没有is 等动词。 


第二个是行向量,读作row vector 


第三个是列向量,读作column vector


8. 其他常用的表达式

读时汉语从不强调 大写delta ,英文要读 capital delta y



其他的都在前面出现过,列在此处再此强调一下。


后记


目前国内绝大部分的英语学习,仍然停留在日常交流和一些常识性知识的英语。


说的直白一些,口语练的再棒,英语水平也仅相当于英语国家受教育程度低的人的英语水平。


很多人native speakers没有读过书,照样可以交流。但是在他们的语言里找不到自然科学、文学、艺术等英语的痕迹。


我们虽然受过高等教育,但是专业的、学术的英语学习仍然匮乏。我们的课本是中文的、老师用中文授课、我们的知识体系也是中文的。


所以在阅读原版教材、写英文论文、参加国际学术交流等很多时候,会遇到英语瓶颈。真正能够应用英语来进行知识的学习,工作等,起码需要明白数学中的英语,希望这篇文章能给您带来帮助。


来源:英文茶馆

编辑:太阳骑士07


近期热门文章Top10

↓ 点击标题即可查看 ↓

1. 美哭了!原来诺贝尔的获奖证书,每张都是一幅画!

2. 45组超炫数学动图!让你看的目不转睛!目不暇接!

3. 第一个也是唯一一个葬在月亮的人

4. 换头手术真的成功了吗?

5. 9个让你夜不能寐的思想实验

6. 十大不可思议的自然奇观,绝大多数人恐怕一个都没见过!

7. 大吉大利,今晚吃……好晕!这鸡有毒!

8. 别去赌场了,你永远赢不了“凯利公式”

9. 这是一件占据你三分之一人生的大事,然而大多数人却对其背后的故事一无所知

10. 作死小能手再开脑洞:如果一个硬币大小的黑洞在你面前,会发生什么现象?

点此查看以往全部热门文章


登录查看更多
0

相关内容

数学是关于数量、结构、变化等主题的探索。
【斯坦福】凸优化圣经- Convex Optimization (附730pdf下载)
专知会员服务
231+阅读 · 2020年6月5日
机器学习速查手册,135页pdf
专知会员服务
345+阅读 · 2020年3月15日
《深度学习》圣经花书的数学推导、原理与Python代码实现
专知会员服务
162+阅读 · 2020年1月16日
面试时让你手推公式不在害怕 | 梯度下降
计算机视觉life
14+阅读 · 2019年3月27日
做机器学习和AI必备的42个数学知识点
AI前线
9+阅读 · 2018年12月6日
SVM大解密(附代码和公式)
机器学习算法与Python学习
6+阅读 · 2018年5月22日
入门 | 一文介绍机器学习中基本的数学符号
机器之心
28+阅读 · 2018年4月9日
机器学习各种熵:从入门到全面掌握
AI研习社
10+阅读 · 2018年3月22日
图解高等数学|线性代数
遇见数学
39+阅读 · 2017年10月18日
PCA的基本数学原理
算法与数学之美
11+阅读 · 2017年8月8日
【基础数学】- 01
遇见数学
20+阅读 · 2017年7月25日
[有意思的数学] 参数估计
机器学习和数学
15+阅读 · 2017年6月4日
Few-shot Learning: A Survey
Arxiv
363+阅读 · 2019年4月10日
Arxiv
8+阅读 · 2018年1月25日
Arxiv
8+阅读 · 2018年1月19日
VIP会员
最新内容
人工智能在战场行动中的演进及伊朗案例
专知会员服务
2+阅读 · 今天13:08
美AI公司Anthropic推出网络安全模型“Mythos”
专知会员服务
2+阅读 · 今天12:58
【博士论文】面向城市环境的可解释计算机视觉
专知会员服务
0+阅读 · 今天12:57
大语言模型的自改进机制:技术综述与未来展望
专知会员服务
0+阅读 · 今天12:50
《第四代军事特种作战部队选拔与评估》
专知会员服务
1+阅读 · 今天6:23
相关资讯
面试时让你手推公式不在害怕 | 梯度下降
计算机视觉life
14+阅读 · 2019年3月27日
做机器学习和AI必备的42个数学知识点
AI前线
9+阅读 · 2018年12月6日
SVM大解密(附代码和公式)
机器学习算法与Python学习
6+阅读 · 2018年5月22日
入门 | 一文介绍机器学习中基本的数学符号
机器之心
28+阅读 · 2018年4月9日
机器学习各种熵:从入门到全面掌握
AI研习社
10+阅读 · 2018年3月22日
图解高等数学|线性代数
遇见数学
39+阅读 · 2017年10月18日
PCA的基本数学原理
算法与数学之美
11+阅读 · 2017年8月8日
【基础数学】- 01
遇见数学
20+阅读 · 2017年7月25日
[有意思的数学] 参数估计
机器学习和数学
15+阅读 · 2017年6月4日
Top
微信扫码咨询专知VIP会员