今日Nature: 如鲨鱼般灵敏感知的钙钛矿材料——强关联量子材料跨界海洋探测

2017 年 12 月 18 日 知社学术圈 知社

海归学者发起的公益学术平台

分享信息,整合资源

交流学术,偶尔风月


身为众多海洋生物中的霸主之一,鲨鱼在地球上迄今已存在超过五亿年。在海洋生态平衡以及地球生态平衡中,鲨鱼占据着及其重要的位置。极为灵敏的嗅觉、听觉、视觉、味觉、侧线,以及一种尤为独特的“第六感”– 弱电场感知是让鲨鱼能够站在广袤海洋食物链顶端的最重要因素之一。鲨鱼的弱电感知器官名为洛伦兹壶腹(ampullae of Lorenzini), 由意大利解刨学家Stefano Lorenzini于1687年发现并得名。除了鲨鱼,洛伦兹壶腹也发现在多种软骨鱼(如鳐鱼、魟鱼)的身上。洛伦兹壶腹底部的薄膜中存在大量弱电感知细胞,在外界电场作用下能与壶腹中的胶体发生离子交换,并释放神经递质(neurotransmitters)。其中离子交换的主要介质就是氢离子。利用这一弱电感知器官,鲨鱼能轻松感知生物电信号、海流电信号、并利用海洋中微弱的电信号进行捕猎和导航。可以设想,如果物质科学探索者能够找到或模拟一种如鲨鱼般灵敏弱电感知的材料并构造传感器,人们进行海洋探索和海洋环境监测的能力将大大的提升。

 

左图:位于鲨鱼嘴部附近的弱电感知器官---洛伦兹壶腹的探测和神经传导原理。

右图:钙钛矿型稀土金属镍酸盐(SNO)作为电场感应材料的工作原理。在海水中电场作用下,氢离子嵌插扩散进入镍酸盐的晶格之中并伴随着电荷转移。本征态和氢化镍酸盐中镍离子的3d电子结构完全不同。由于eg轨道双电子占据而诱发的强库伦排斥作用,氢化镍酸盐(HSNO)的电子传输完全局域化。


钙钛矿型稀土金属镍酸盐材料由于其特殊的电子强关联性和量子状态,近年来已被广泛应用于能源转化(Nature, 2016, 534, 231),神经形态模拟 (Nature Communication,2017, 8, 240)等前沿物质科学领域。最近,由普渡大学(Purdue University)Shriram Ramanathan 教授课题组联合阿贡国家实验室 (Argonne National Laboratory)、罗格斯大学(Rutgers University)等研究团队首次发现,钙钛矿型稀土金属镍酸盐材料在模拟海水的环境中具有独特的与鲨鱼相似的灵敏弱电感知能力,该研究成果于12月18日线上发表于自然(Nature)杂志:Nature,10.1038/nature25008。文章第一作者为Ramanathan教授课题组博士后: 张祯博士(Dr. Zhen Zhang)及博士生 Derek Schwanz。

 

该研究首次发现,具有强关联性质的稀土金属镍酸盐与鲨鱼的电感知器官具有相似的感知弱电场能力。在模拟海洋的水溶液环境中,当有电场信号出现,稀土金属镍酸盐的电导及光学性质会同时发生巨大的响应。这印证了其具有电感应能力!进一步的机理研究发现,该材料的电感知机制与鲨鱼的洛伦兹壶腹非常相似:在电场下,水中的质子能在电场诱导下,注入材料晶格,并引发电子掺杂。镍酸盐随之产生电子强关联效应,并引发莫特转变(Mott transition),导致相应的光学及电学性质共同巨变,也为多信道弱电探测提供了可能。同时在反向电场的作用下,整个物理化学过程都是可逆回复的。在不同电场及水溶液条件下连续测试表明,该电感应现象在极小的电场区间内(5 mV)仍能实现可逆。这就使得SNO材料电感应可以跨越整个海洋电场工作区间(从海洋鱼类产生的毫伏级生物弱电到船舶和无人潜水器产生的伏特级流电电势)。对应用来说更为重要的是, SNO和HSNO材料体系在水溶液环境中(模拟海水环境,包括弱酸或弱碱的条件)表现的长时间很稳定,不腐坏。这也让系统性地原位研究该材料的电场响应机制变的很便利。


 SNO材料在海水电场中的电阻与光学物性的同时巨变,以及反向电场下的可回复性

 SNO材料电感应测试与整个海洋电场分布区间的关系,结合纳欧姆级高分辨电阻测量SNO材料可以灵敏地探测微伏级极弱电场


在接受知社采访时,清华大学于浦副教授点评称:近年来,材料的质子化(或者氢离子注入)逐渐成长为调控关联材料的一个利器,在金属-绝缘体转变,磁性、光学乃至超导调控领域都发挥了令人瞩目的强劲实力。该工作中Shiram研究组通过对比功能材料SmNiO3在电场下的质子化过程与海洋生物体内的离子交换过程,提出了一个在海洋环境下灵敏探测弱电信号的有效途径。该研究跨越物理,材料,生物等多个学科,无疑为质子调控这个新型领域注入了新的活力,赋予其无限的可能。此前,于浦博士等一石三鸟,通过氢、氧双离子实现氧化物三种物相与磁、电、光及输运等多重性能的调控,引起广泛关注,并荣获2017中国新锐科技知社特别奖。



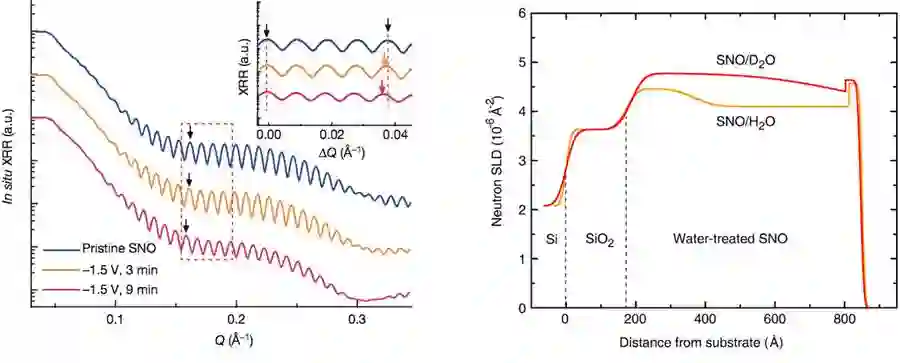
除了发现电感应效应中的相关物性表征,普渡大学领衔的这一联合团队也结合了多模式先进原位表征手段和基于第一原理的分子动力学模拟来全面深入地理解SNO材料的环境电场相应机理和复杂的物理化学过程。阿贡国家实验室先进光源(Advanced Photon Source) 周华博士及 Ramanathan教授课题组孙毅飞博士等为SNO材料提供了原位同步辐射X射线反射率及X射线衍射谱表征测试。结果发现,除了相应光电物性响应,在模拟海水中外加电场下,该材料晶格会发生相应的由于离子嵌入和脱出而造成的膨胀-收缩。进一步美国国家标准与技术研究院(National Institute of Standards and Technology) Joseph Dura博士在氢同位素替换下(使用重水)的中子反射率测试很明确地探测到在电场作用后SNO薄膜厚度的变化和大量氢同位素在体内的出现。另一方面,麻省理工学院 (Massachusetts Institute of Technology) Riccardo Comin教授和博士生JiaruiLi,及加拿大光源 (Canadian Light Source) Ronny Sutarto 博士和Feizhou He博士利用软X射线吸收能谱研究了电场诱发材料相变过程中的电子轨道填充机理。麻省大学阿姆斯特分校(University of Massachusetts Amherst) Stephen Nonnenmann 教授和博士生JiaxinZhu为该研究提供了纵断面导电原子力显微镜分析。哥伦比亚大学 (Columbia University) 虞南方教授和Chongzhao Wu博士为该研究提供了光学探针分析及模拟。同时,阿贡国家实验室 Sankaranarayanan团队和罗格斯大学的Karin Rabe 教授团队利用第一性原理计算电子结构与表面反应能垒以及基于第一原理的分子动力学模拟,特别是展现氢离子从水中嵌入SNO晶格的动态过程,都为该研究提供了非常深入的理论依据。


原位X射线及中子反射率表征揭示了SNO电场灵敏感应的物理过程

基于第一性原理的分子动力学模拟展现氢离子嵌入SNO晶格的初始动态过程

扩展阅读

 

今日Nature: 中国学者一石三鸟、开辟离子调控物相新篇章 | 大家点评

今日Science: 钙钛矿材料特刊, Gratzel报道稳定效率超20%!

高性能半导体纳米材料:增强待检分子拉曼信号10⁷倍

AM:一种新型的压力传感器材料


欢迎广大学者投稿

投稿、授权、合作事宜请联系

[email protected] 或微信ID: scholarset

回复“目录”或“”,浏览知社更多精华。长按二维码识别,可以关注/进入公众号进行回复。

登录查看更多
1

相关内容

普渡大学是世界著名的研究型大学,位于美国印第安纳州,毗邻芝加哥和印第安纳波利斯。根据 U.S. News & World Report 2021 年的排名,普渡大学工学院(College of Engineering)名列全美第四。普渡大学电子计算机工程学院(Elmore Family School of Electrical and Computer Engineering)排名全美第 11 名。
机器学习在材料科学中的应用综述,21页pdf
专知会员服务
50+阅读 · 2019年9月24日
Nature 一周论文导读 | 2019 年 8 月 8 日
科研圈
6+阅读 · 2019年8月18日
Nature 一周论文导读 | 2019 年 5 月 30 日
科研圈
15+阅读 · 2019年6月9日
【材料课堂】TEM复杂电子衍射花样的标定原理
材料科学与工程
39+阅读 · 2019年4月12日
Nature 一周论文导读 | 2019 年 2 月 28 日
科研圈
13+阅读 · 2019年3月10日
Nature 一周论文导读 | 2019 年 2 月 14 日
科研圈
7+阅读 · 2019年2月24日
Nature 一周论文导读 | 2018 年 5 月 24 日
科研圈
11+阅读 · 2018年5月27日
Learning by Abstraction: The Neural State Machine
Arxiv
6+阅读 · 2019年7月11日
Arxiv
7+阅读 · 2018年11月1日
Arxiv
14+阅读 · 2018年5月15日
Arxiv
6+阅读 · 2018年4月4日
VIP会员
最新内容
《美陆军条例:陆军指挥政策(2026版)》
专知会员服务
6+阅读 · 今天8:10
《军用自主人工智能系统的治理与安全》
专知会员服务
5+阅读 · 今天8:02
《系统簇式多域作战规划范畴论框架》
专知会员服务
8+阅读 · 4月20日
高效视频扩散模型:进展与挑战
专知会员服务
4+阅读 · 4月20日
乌克兰前线的五项创新
专知会员服务
8+阅读 · 4月20日
 军事通信系统与设备的技术演进综述
专知会员服务
7+阅读 · 4月20日
《北约标准:医疗评估手册》174页
专知会员服务
6+阅读 · 4月20日
相关VIP内容
机器学习在材料科学中的应用综述,21页pdf
专知会员服务
50+阅读 · 2019年9月24日
Top
微信扫码咨询专知VIP会员