NeurIPS 2021 | 华为诺亚Oral论文:基于频域的二值神经网络训练方法

2021 年 12 月 17 日 PaperWeekly


©作者 | 机器之心编辑部

来源 | 机器之心


常规符号函数的梯度几乎处处为零,不能用于反向传播。为此,来自华为诺亚方舟实验室等机构的研究者提出一种在频域中估计原始符号函数梯度的新方法


二值神经网络(BNN)将原始全精度权重和激活用符号函数表征成 1-bit。但是由于常规符号函数的梯度几乎处处为零,不能用于反向传播,因此一些研究已经提出尝试使用近似梯度来减轻优化难度。然而,这些近似破坏了实际梯度的主要方向。

基于此,在一篇 NeurIPS 2021 论文中,来自华为诺亚方舟实验室等机构的研究者提出使用傅里叶级数的组合来估计频域中符号函数的梯度以训练 BNN,即频域逼近 (FDA)。所提方法不影响占整体能量大部分的原始符号函数的低频信息,并且将高频系数使用噪声拟合模块 (noise adaptation module) 进行估计以避免大量的计算开销。


论文地址:
https://arxiv.org/pdf/2103.00841.pdf

在几个基准数据集和神经架构上的实验表明,使用该方法学习的二值网络实现了 SOTA 准确率。

数日前,在机器之心 2021 NeurIPS MeetUp China 上,论文一作许奕星为参会者解读了该论文,感兴趣的读者可以查看以下视频。


方法

该研究提出的 FDA 方法,通过利用傅里叶级数 (FS) 来估计频域中的原始符号函数,FS 估计是使用无穷项时符号函数的无损表征。在实际应用中,能量相对较低的高频系数会被忽略,以避免巨大的计算开销,并将符号函数表征为固定数量的不同周期正弦函数的组合。与现有的逼近方法相比,该研究所提出的频域逼近方法不影响原始符号函数的低频域信息,即占用符号函数能量最多的部分。因此,原始符号函数相应梯度的主要方向能够被更准确地保持。


在论文中,该研究对所提方法做了详细的理论表述。

论文中用 f(·)和 f’(·)来表示原始函数及其对应的梯度函数。由于符号函数的梯度是一个无法反向传播的脉冲函数,需要应用进化算法(evolutionary algorithm)等零阶算法来达到最优解,但这是非常低效的。因此该研究提出找到一个代理函数,通过一阶优化算法(如 SGD)依靠实验求解,而理论上具有与符号函数相同的最优解。

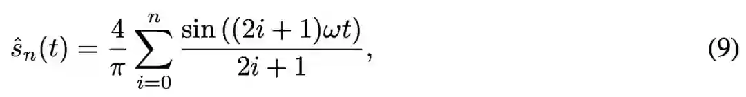
已有研究证明,任何周期为 T 的周期信号都可以分解为傅里叶级数的组合:


其中 ω = 2π/T 是角频率,α_0/2 是直接分量, 是正弦(余弦)分量的系数。具体来说,当周期信号呈方波时,有:


并推导出方波 s(t) 的 FS:


注意到当信号被限制在单个周期内时,符号函数与方波等同:


因此,符号函数也可以被分解为正弦(余弦)函数的组合,并且其导数如下:


然后,该研究提出使用上述等式 (8) 替换 STE 中的导数,以在反向传播期间更好地逼近符号函数。

当将信号从空间域转换到频域,使用无限项时,FS 分解是符号函数的无损表征,因此等式 (6) 可以重写为:


其中,n 是 FS 的项数,相应的导数是:


然后该研究进一步证明了随着 n 的增加,估计值 和 s(t)之间的均方误差会逐渐减小,并在 n → ∞ 时收敛到 0。

为了进一步补偿细微的逼近误差,该研究在训练阶段添加了一个噪声适应模块来细化梯度。


实验及结果

为了展示 FDA-BNN 优越的性能,该研究在 CIFAR-10 数据集上进行了评估实验,实验结果如下表所示。


消融实验

为了验证所提方法中每个组件的有效性、噪声适应模块和超参数的影响,该研究进行了一系列的消融实验。

首先,该研究使用 ResNet-20 架构在 CIFAR-10 上实验验证正弦模块和噪声适应模块的效果,结果如下表所示。


从上表的结果看,使用正弦模块可使训练过程受益,将准确率从 84.44% 提高到 85.83%。将正弦模块和噪声自适应模块组合在一起时得到了最佳性能,即 86.20% 的准确率。

为了进一步验证噪声适应模块的用途,研究者将该模块添加到其他梯度逼近方法中,例如 DSQ 和 BNN+,结果如下表所示。


然后该研究评估了不同 η(·) 对噪声适应模块的影响。结果如下表所示,使用 shortcut 时性能更好,并且 shortcut function η(x) = α sin(x) 在实验过程中表现最好。


在 ImageNet 上的实验

该研究进一步在大规模数据集 ImageNet ILSVRC 2012 上进行了实验,使用 ResNet-18 和 AlexNet 进行实验,结果如下表所示。


对于 ResNet-18,FDA-BNN 实现了 60.2% 的 top-1 准确率和 82.3% 的 top-5 的准确率,比基线方法(Bireal-Net + PReLU)高出 1.2% 和 1.0%,并超过所有其他方法。

当以 ReActNet 作为基线方法,并使用该研究所提方法计算符号函数的梯度, FDA-BNN 达到了 66.0% 的 top-1 准确率,86.4% 的 top-5 准确率,比基线方法分别高出 0.5% 和 0.3%。

对于 AlexNet,该研究使用 Dorefa-Net 中的量化方法作为基线方法,FDA-BNN 实现了 46.2% 的 top-1 准确率和 69.7% 的 top-5 准确率,并优于其他 SOTA 方法。


更多阅读




#投 稿 通 道#

 让你的文字被更多人看到 



如何才能让更多的优质内容以更短路径到达读者群体,缩短读者寻找优质内容的成本呢?答案就是:你不认识的人。


总有一些你不认识的人,知道你想知道的东西。PaperWeekly 或许可以成为一座桥梁,促使不同背景、不同方向的学者和学术灵感相互碰撞,迸发出更多的可能性。 


PaperWeekly 鼓励高校实验室或个人,在我们的平台上分享各类优质内容,可以是最新论文解读,也可以是学术热点剖析科研心得竞赛经验讲解等。我们的目的只有一个,让知识真正流动起来。


📝 稿件基本要求:

• 文章确系个人原创作品,未曾在公开渠道发表,如为其他平台已发表或待发表的文章,请明确标注 

• 稿件建议以 markdown 格式撰写,文中配图以附件形式发送,要求图片清晰,无版权问题

• PaperWeekly 尊重原作者署名权,并将为每篇被采纳的原创首发稿件,提供业内具有竞争力稿酬,具体依据文章阅读量和文章质量阶梯制结算


📬 投稿通道:

• 投稿邮箱:[email protected] 

• 来稿请备注即时联系方式(微信),以便我们在稿件选用的第一时间联系作者

• 您也可以直接添加小编微信(pwbot02)快速投稿,备注:姓名-投稿


△长按添加PaperWeekly小编




🔍


现在,在「知乎」也能找到我们了

进入知乎首页搜索「PaperWeekly」

点击「关注」订阅我们的专栏吧



·


登录查看更多
1

相关内容

【NeurIPS 2021】寻找视觉Transformer的搜索空间
专知会员服务
14+阅读 · 2021年12月1日
结构化剪枝综述
专知会员服务
49+阅读 · 2021年11月18日
专知会员服务
19+阅读 · 2021年8月15日
【NeurIPS 2020】对图神经网络更切实的对抗式攻击
专知会员服务
24+阅读 · 2020年11月5日
专知会员服务
18+阅读 · 2020年10月18日
【CVPR 2020-商汤】8比特数值也能训练卷积神经网络模型
专知会员服务
26+阅读 · 2020年5月7日
NeurIPS 2021 | 微软亚洲研究院机器学习领域最新研究一览
微软研究院AI头条
0+阅读 · 2021年12月8日
【NeurIPS 2020】核基渐进蒸馏加法器神经网络
专知
13+阅读 · 2020年10月19日
CVPR 2019 | 微软亚洲研究院7篇精选论文解读
微软研究院AI头条
23+阅读 · 2019年6月18日
国家自然科学基金
3+阅读 · 2015年12月31日
国家自然科学基金
0+阅读 · 2014年12月31日
国家自然科学基金
0+阅读 · 2013年12月31日
国家自然科学基金
4+阅读 · 2013年12月31日
国家自然科学基金
0+阅读 · 2012年12月31日
国家自然科学基金
0+阅读 · 2011年12月31日
国家自然科学基金
1+阅读 · 2011年12月31日
国家自然科学基金
0+阅读 · 2009年12月31日
国家自然科学基金
1+阅读 · 2008年12月31日
Automated Data Augmentations for Graph Classification
Arxiv
0+阅读 · 2022年4月17日
AdarGCN: Adaptive Aggregation GCN for Few-Shot Learning
VIP会员
最新内容
BES:让语言模型通过双向进化搜索自我改进
专知会员服务
1+阅读 · 5月30日
以色列-美国-伊朗战争中的无人机:关键要点
专知会员服务
3+阅读 · 5月30日
《Palantir任务保障性软件安全标准(MA-S2)》
专知会员服务
8+阅读 · 5月30日
基于声学的无人机检测技术综述
专知会员服务
5+阅读 · 5月30日
《当代混合战争分析框架:俄乌战争经验教训》
战略前沿人工智能的再思考(中文)
专知会员服务
7+阅读 · 5月29日
《量化地基防空系统间接效应的博弈论方法》
专知会员服务
5+阅读 · 5月29日
相关VIP内容
【NeurIPS 2021】寻找视觉Transformer的搜索空间
专知会员服务
14+阅读 · 2021年12月1日
结构化剪枝综述
专知会员服务
49+阅读 · 2021年11月18日
专知会员服务
19+阅读 · 2021年8月15日
【NeurIPS 2020】对图神经网络更切实的对抗式攻击
专知会员服务
24+阅读 · 2020年11月5日
专知会员服务
18+阅读 · 2020年10月18日
【CVPR 2020-商汤】8比特数值也能训练卷积神经网络模型
专知会员服务
26+阅读 · 2020年5月7日
相关基金
国家自然科学基金
3+阅读 · 2015年12月31日
国家自然科学基金
0+阅读 · 2014年12月31日
国家自然科学基金
0+阅读 · 2013年12月31日
国家自然科学基金
4+阅读 · 2013年12月31日
国家自然科学基金
0+阅读 · 2012年12月31日
国家自然科学基金
0+阅读 · 2011年12月31日
国家自然科学基金
1+阅读 · 2011年12月31日
国家自然科学基金
0+阅读 · 2009年12月31日
国家自然科学基金
1+阅读 · 2008年12月31日
Top
微信扫码咨询专知VIP会员