Jointly Improving Summarization and Sentiment Classification

2018 年 6 月 12 日 黑龙江大学自然语言处理实验室

本文来自知乎专栏:西土城的搬砖日常


论文题目:

《A Hierarchical End-to-End Model for Jointly Improving Text Summarization and Sentiment Classification》


abstract: 本文旨在联合训练文本摘要情感分类两个任务,其想法在于,他认为情感分类是一种更抽象的“摘要”,所以,本文在摘要输出层上加上了一个情感分类层,进一步抽取情感信息。本文为生成式摘要任务,情感分类为五分类。


model

本文所用的模型很简单,基本都是基于state-of-the-art结构。其模型如图



首先定义符号:

 x为原始输入文本, y为输出的摘要文本,并且定义 l为情感标签。


下面分层介绍模型:

Text Encoder: 利用目前最优的序列编码模型Bi-LSTM,公式如下:


Summary Decoder: 分为三个部分:

1. uni-directional LSTM

2. multi-view attention mechanism

3.word generator


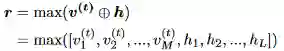
1. uni-directional LSTM: 经典S2S decoder:

其中,前一层输出的hidden state,前一层输出的摘要词。


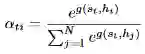
2. multi-view attention mechanism:由于该模型为联合任务,而情感分类和文本摘要对于文本的抽取是应该有区别的,比如,情感分类专注于情感性强的词,文本摘要专注于关键性强的词。所以对encode的信息需要进行权重加权。

上面的公式是针对于文本摘要,为文本摘要向量,情感向量同理可得。


3. word generator: softmax layer


Summary-Aware Sentiment Classifier: 本文利用两部分信息,decode输出的情感分类向量与encode的context向量。

并利用softmax输出标签概率。


Joint Loss Function:

为文本摘要的loss,情感分类的loss。


Experiment:

dataset: Amazon SNAP Review Dataset (SNAP):

-Toys & Games

-Sports & Outdoors

-Movie & TV



文本摘要的三个指标都有提升。


情感分类的结果显示也有一定的提升,效果不明显。


特征消融实验结果如图,其实比较奇怪的结果,highway重要性比attention的高,这证明了其实在encode阶段对sentiment classification的监督信号要更重要,因为文本摘要和情感分类的区别太大。当然在decode阶段的attention也是有效的。


attention weight distribution如图,可以直观的看到两个任务的注意力是不同的。


Conclusion: 本文的想法很直观,也符合联合任务的一贯做法,即启发式学习及更强的监督信号。并且实验结果也证明了文本摘要和情感分类确实有相关性,并且联合训练可以寻找到双方的更优解。在结果的解释性上有更大的优势。



推荐阅读

基础 | TreeLSTM Sentiment Classification

基础 | 详解依存树的来龙去脉及用法

基础 | 基于注意力机制的seq2seq网络

原创 | Simple Recurrent Unit For Sentence Classification

原创 | Attention Modeling for Targeted Sentiment

原创 | cw2vec理论及其实现

基础 | 中英文词向量评测理论与实践



欢迎关注交流



登录查看更多
3

相关内容

情感分类是对带有感情色彩的主观性文本进行分析、推理的过程,即分析对说话人的态度,倾向正面,还是反面。它与传统的文本主题分类又不相同,传统主题分类是分析文本讨论的客观内容,而情感分类是要从文本中得到它是否支持某种观点的信息。
零样本文本分类,Zero-Shot Learning for Text Classification
专知会员服务
97+阅读 · 2020年5月31日
论文浅尝 | Global Relation Embedding for Relation Extraction
开放知识图谱
12+阅读 · 2019年3月3日
论文荐读 | NLP之Attention从入门到精通
人工智能前沿讲习班
5+阅读 · 2018年5月14日
笔记 | Sentiment Analysis
黑龙江大学自然语言处理实验室
10+阅读 · 2018年5月6日
Linguistically Regularized LSTMs for Sentiment Classification
黑龙江大学自然语言处理实验室
8+阅读 · 2018年5月4日
论文浅尝 | Distant Supervision for Relation Extraction
开放知识图谱
4+阅读 · 2017年12月25日
Simple Recurrent Unit For Sentence Classification
哈工大SCIR
6+阅读 · 2017年11月29日
Highway Networks For Sentence Classification
哈工大SCIR
4+阅读 · 2017年9月30日
Arxiv
5+阅读 · 2019年8月22日
Arxiv
25+阅读 · 2018年1月24日
VIP会员
最新内容
ICML2026 | 重新思考顺序知识编辑中的正则化
专知会员服务
2+阅读 · 5月27日
《用于兵力发展选项优先排序的成本效益模型》
AutoResearch AI综述:迈向AI驱动的科学发现自动化
《Palantir边缘人工智能》手册
专知会员服务
22+阅读 · 5月26日
美军“国防自主作战群”(DAWG)概念解析
专知会员服务
3+阅读 · 5月26日
“史诗怒火”行动中的无人机与反无人机作战
专知会员服务
16+阅读 · 5月25日
相关VIP内容
零样本文本分类,Zero-Shot Learning for Text Classification
专知会员服务
97+阅读 · 2020年5月31日
相关资讯
论文浅尝 | Global Relation Embedding for Relation Extraction
开放知识图谱
12+阅读 · 2019年3月3日
论文荐读 | NLP之Attention从入门到精通
人工智能前沿讲习班
5+阅读 · 2018年5月14日
笔记 | Sentiment Analysis
黑龙江大学自然语言处理实验室
10+阅读 · 2018年5月6日
Linguistically Regularized LSTMs for Sentiment Classification
黑龙江大学自然语言处理实验室
8+阅读 · 2018年5月4日
论文浅尝 | Distant Supervision for Relation Extraction
开放知识图谱
4+阅读 · 2017年12月25日
Simple Recurrent Unit For Sentence Classification
哈工大SCIR
6+阅读 · 2017年11月29日
Highway Networks For Sentence Classification
哈工大SCIR
4+阅读 · 2017年9月30日
Top
微信扫码咨询专知VIP会员