【深度学习】小白也可以做深度学习应用:入门篇

2017 年 7 月 31 日 产业智能官
 

一、人工智能和新科技革命


2017年围棋界发生了一件比较重要事,Master(Alphago)以 60 连胜横扫天下,击败各路世界冠军,人工智能以气势如虹的姿态出现在我们人类的面前。从2016 年三月份 AlphaGo 击败李世石开始,AI 全面进入我们大众的视野,对于它的讨论变得更为火热起来,整个业界普遍认为,它很可能带来下一次科技革命,并且,在未来可预见的10多年里,深刻得改变我们的生活。


当前,人工智能已经在图像、语音等多个领域的技术上,取得了全面的突破。与此同时,另外一个问题随之而来,如果这一轮的 AI 浪潮真的将会掀起新的科技革命,那么在可预见的未来,我们整个互联网都将发生翻天覆地的变化,深刻影响我们的生活。那么作为程序员和工程师的我们,又应该以何种态度和方式应对这场时代洪流的冲击呢?

 

在回答这个问题之前,我们先一起看看上一轮由计算机信息技术引领的科技革命中,过去30多年中国程序员的角色变化:



通过上图可以简总结:编程技术在不断地发展并且走向普及,从最开始掌握在科学家和专家学者手中的技能,逐渐发展为一门大众技能。如果基于这个理解,或许,我们可以通过积极学习,争取成为第一代 AI 工程师。

 



 

二、深度学习技术




我用了一个多月的业务时间,去了解和学习了深度学习技术,在这里,我尝试以一名小白工程师的视角,以尽量容易让大家理解的方式一起探讨下深度学习的原理,尽管,受限于我个人的技术水平和掌握程度,未必完全准确。

 

  • 人的智能和神经元


人类智能最重要的部分是大脑,大脑虽然复杂,它的组成单元却是相对简单的,大脑皮层以及整个神经系统,是由神经元细胞组成的。而一个神经元细胞,由树突和轴突组成,它们分别代表输入和输出。连在细胞膜上的分叉结构叫树突,是输入,那根长长的“尾巴”叫轴突,是输出。

 


一个神经元有成千上万个上游神经元,积累它们的输入,产生输出。



人脑有1000亿个神经元,1000万亿个突触,它们组成人脑中庞大的神经网络,最终产生的结果即是人的智能。

 

  •  人工神经元和神经网络


一个神经元的结构相对来说是比较简单的,于是,科学家们就思考,我们的AI是否可以从中获得借鉴?神经元接受激励,输出一个响应的方式,同计算机中的输入输出非常类似,看起来简直就是量身定做的,刚好可以用一个函数来模拟。

 


通过借鉴和参考神经元的机制,科学家们模拟出了人工神经元和人工神经网络。


当然,通过上述这个抽象的描述和图,比较难让大家理解它的机制和原理。我们以“房屋价格测算”作为例子,一起来看看:


一套房子的价格,会受到很多因素的影响,例如地段、朝向、房龄、面积、银行利率等等,这些因素如果细分,可能会有几十个。

一般在深度学习模型里,这些影响结果的因素我们称之为特征。

我们先假设一种极端的场景,例如影响价格的特征只有一种,就是房子面积。于是我们收集一批相关的数据,例如,50平米50万、93平米95万等一系列样本数据,如果将这些样本数据放到而为坐标里看,则如下图:


 


然后,正如我们前面所说的,我们尝试用一个“函数”去拟合这个输入(面积x)和输出(价格y),简而言之,我们就是要通过一条直线或者曲线将这些点“拟合”起来。


假设情况也比较极端,这些点刚好可以用一条“直线”拟合(真实情况通常不会是直线),如下图:



那么我们的函数是一个一次元方程f(x) = ax +b,当然,如果是曲线的话,我们得到的将是多次元方程。我们获得这个f(x) = ax +b的函数之后,接下来就可以做房价“预测”,例如,我们可以计算一个我们从未看见的面积案例81.5平方米,它究竟是多少钱?


这个新的样本案例,可以通过直线找到对应的点(黄色的点),如图下:



粗略的理解,上面就是AI的概括性的运作方式。


这一切似乎显得过于简单了?


当然不会,因为,我们前面提到,影响房价其实远不止一个特征,而是有几十个,这样问题就比较复杂了,接下来,这里则要继续介绍深度学习模型的训练方式。这部分内容相对复杂一点,我尽量以工程师的视角来做一个粗略而简单的阐述。

 

  • 深度学习模型的训练方式


当有好几十个特征共同影响价格的时候,自然就会涉及权重分配的问题,例如有一些对房价是主要正权重的,例如地段、面积等,也有一些是负权重的,例如房龄等。


(1)初始化权重计算

那么,第一个步其实是给这些特征加一个权重值,但是,最开始我们根本不知道这些权重值是多少?怎么办呢?不管那么多了,先给它们随机赋值吧。随机赋值,最终计算出来的估算房价肯定是不准确的,例如,它可能将价值100万的房子,计算成了10万。


(2)损失函数

因为现在模型的估值和实际估值差距比较大,于是,我们需要引入一个评估“不准确”程度的衡量角色,也就是损失(loss)函数,它是衡量模型估算值和真实值差距的标准,损失函数越小,则模型的估算值和真实值的察觉越小,而我们的根本目的,就是降低这个损失函数。让刚刚的房子特征的模型估算值,逼近100万的估算结果。


(3)模型调整

通过梯度下降和反向传播,计算出朝着降低损失函数的方向调整权重参数。举一个不恰当的比喻,我们给面积增加一些权重,然后给房子朝向减少一些权重(实际计算方式,并非针对单个个例特征的调整),然后损失函数就变小了。


(4)循环迭代

调整了模型的权重之后,就可以又重新取一批新的样本数据,重复前面的步骤,经过几十万次甚至更多的训练次数,最终估算模型的估算值逼近了真实值结果,这个模型的则是我们要的“函数”。



为了让大家更容易理解和直观,采用的例子比较粗略,并且讲述深度学习模型的训练过程,中间省略了比较多的细节。讲完了原理,那么我们就开始讲讲如何学习和搭建 demo。

 



 

三、深度学习环境搭建



 

  1.  学习的提前准备


  • 部分数学内容的复习,高中数学、概率、线性代数等部分内容。

  • Python 基础语法学习。

  • Google 的 TensorFlow 深度学习开源框架。

 

2. Google 的 TensorFlow 开源深度学习框架


深度学习框架,我们可以粗略的理解为是一个“数学函数”集合和AI训练学习的执行框架。通过它,我们能够更好的将 AI 的模型运行和维护起来。


深度学习的框架有各种各样的版本(Caffe、Torch、Theano 等等),我只接触了 Google 的 TensorFlow,因此,后面的内容都是基于 TensorFlow 展开的,它的详细介绍这里不展开讲述,建议直接进入官网查看。


非常令人庆幸的是 TensorFlow 比较早就有中文社区了,尽管里面的内容有一点老,搭建环境方面有一些坑,但是已经属于为数不多的中文文档了,大家且看且珍惜。


TensorFlow的中文社区:

http://www.tensorfly.cn/

 

3. TensorFlow环境搭建


环境搭建本身并不复杂,主要解决相关的依赖。但是,基础库的依赖可以带来很多问题,因此,建议尽量一步到位,会简单很多。


  1. 操作系统

    我搭建环境使用的机器是腾讯云上的机器,软件环境如下:

    操作系统:CentOS 7.2 64位(GCC 4.8.5)

    因为这个框架依赖于 python2.7 和 glibc 2.17。比较旧的版本的 CentOS 一般都是 python2.6 以及版本比较低的 glibc,会产生比较的多基础库依赖问题。


  2. 软件环境

    我目前安装的 Python 版本是 python-2.7.5,建议可以采用 yum install python 的方式安装相关的原来软件。然后,再安装 python 内的组件包管理器 pip,安装好 pip 之后,接下来的其他软件的安装就相对比较简单了。


    这里需要特别注意的是,不要按照 TensorFlow 的中文社区的指引去安装,因为它会安装一个非常老的版本(0.5.0),用这个版本跑很多demo都会遇到问题的。而实际上,目前通过上述提供的命令安装,是 tensorflow (1.0.0)的版本了。



    Python(2.7.5)下的其他需要安装的关键组件:

    tensorflow (0.12.1),深度学习的核心框架

    image (1.5.5),图像处理相关,部分例子会用到

    PIL (1.1.7),图像处理相关,部分例子会用到


    除此之后,当然还有另外的一些依赖组件,通过 pip list 命令可以查看我们安装的 python 组件:


    appdirs (1.4.0)

    backports.ssl-match-hostname (3.4.0.2)

    chardet (2.2.1)

    configobj (4.7.2)

    decorator (3.4.0)

    Django (1.10.4)

    funcsigs (1.0.2)

    image (1.5.5)

    iniparse (0.4)

    kitchen (1.1.1)

    langtable (0.0.31)

    mock (2.0.0)

    numpy (1.12.0)

    packaging (16.8)

    pbr (1.10.0)

    perf (0.1)

    PIL (1.1.7)

    Pillow (3.4.2)

    pip (9.0.1)

    protobuf (3.2.0)

    pycurl (7.19.0)

    pygobject (3.14.0)

    pygpgme (0.3)

    pyliblzma (0.5.3)

    pyparsing (2.1.10)

    python-augeas (0.5.0)

    python-dmidecode (3.10.13)

    pyudev (0.15)

    pyxattr (0.5.1)

    setuptools (34.2.0)

    six (1.10.0)

    slip (0.4.0)

    slip.dbus (0.4.0)

    tensorflow (1.0.0)

    urlgrabber (3.10)

    wheel (0.29.0)

    yum-langpacks (0.4.2)

    yum-metadata-parser (1.1.4)


    按照上述提供的来搭建系统,可以规避不少的环境问题。

    更详细的安装说明:

    https://www.tensorflow.org/install/install_linux


  3. TensorFlow环境测试运行


测试是否安装成功,可以采用官方的提供的一个短小的例子,demo 生成了一些三维数据, 然后用一个平面拟合它们(官网的例子采用的初始化变量的函数是initialize_all_variables,该函数在新版本里已经被废弃了):


  1. #!/usr/bin/python

  2. #coding=utf-8

  3. import tensorflow as tf

  4. import numpy as np

  5. # 使用 NumPy 生成假数据(phony data), 总共 100 个点.

  6. x_data = np.float32(np.random.rand(2, 100)) # 随机输入

  7. y_data = np.dot([0.100, 0.200], x_data) + 0.300

  8. # 构造一个线性模型

  9. #

  10. = tf.Variable(tf.zeros([1]))

  11. = tf.Variable(tf.random_uniform([1, 2], -1.0, 1.0))

  12. = tf.matmul(W, x_data) + b

  13. # 最小化方差

  14. loss = tf.reduce_mean(tf.square(- y_data))

  15. optimizer = tf.train.GradientDescentOptimizer(0.5)

  16. train = optimizer.minimize(loss)

  17. # 初始化变量,旧函数(initialize_all_variables)已经被废弃,替换为新函数

  18. init = tf.global_variables_initializer()

  19. # 启动图 (graph)

  20. sess = tf.Session()

  21. sess.run(init)

  22. # 拟合平面

  23. for step in xrange(0, 201):

  24.    sess.run(train)

  25.    if step % 20 == 0:

  26.        print step, sess.run(W), sess.run(b)

  27. # 得到最佳拟合结果 W: [[0.100  0.200]], b: [0.300]


运行的结果类似如下:


 


经过200次的训练,模型的参数逐渐逼近最佳拟合的结果(W: [[0.100  0.200]], b: [0.300]),另外,我们也可以从代码的“风格”中,了解到框架样本训练的基本运行方式。虽然,官方的教程后续会涉及越来越多更复杂的例子,但从整体上看,也是类似的模式。



步骤划分:


  • 准备数据:获得有标签的样本数据(带标签的训练数据称为有监督学习);

  • 设置模型:先构建好需要使用的训练模型,可供选择的机器学习方法其实也挺多的,换而言之就是一堆数学函数的集合;

  • 损失函数和优化方式:衡量模型计算结果和真实标签值的差距;

  • 真实训练运算:训练之前构造好的模型,让程序通过循环训练和学习,获得最终我们需要的结果“参数”;

  • 验证结果:采用之前模型没有训练过的测试集数据,去验证模型的准确率。


其中,TensorFlow 为了基于 python 实现高效的数学计算,通常会使用到一些基础的函数库,例如 Numpy(采用外部底层语言实现),但是,从外部计算切回到 python 也是存在开销的,尤其是在几万几十万次的训练过程。因此,Tensorflow 不单独地运行单一的函数计算,而是先用图描述一系列可交互的计算操作流程,然后全部一次性提交到外部运行(在其他机器学习的库里,也是类似的实现)。


所以,上述流程图中,蓝色部分都只是设置了“计算操作流程”,而绿色部分开始才是真正的提交数据给到底层库进行实际运算,而且,每次训练一般是批量执行一批数据的。

 



 

四、经典入门 demo:识别手写数字(MNIST)





常规的编程入门有“Hello world”程序,而深度学习的入门程序则是 MNIST,一个识别28*28像素的图片中的手写数字的程序。


 


MNIST的数据和官网:

http://yann.lecun.com/exdb/mnist/

 

深度学习的内容,其背后会涉及比较多的数学原理,作为一个初学者,受限于我个人的数学和技术水平,也许并不足以准确讲述相关的数学原理,因此,本文会更多的关注“应用层面”,不对背后的数学原理进行展开,感谢谅解。

 

1. 加载数据


程序执行的第一步当然是加载数据,根据我们之前获得的数据集主要包括两部分:60000的训练数据集(mnist.train)和10000的测试数据集(mnist.test)。里面每一行,是一个28*28=784的数组,数组的本质就是将28*28像素的图片,转化成对应的像素点阵。


例如手写字1的图片转换出来的对应矩阵表示如下:



之前我们经常听说,图片方面的深度学习需要大量的计算能力,甚至需要采用昂贵、专业的 GPU(Nvidia 的 GPU),从上述转化的案例我们就已经可以获得一些答案了。一张784像素的图片,对学习模型来说,就有 784 个特征,而我们实际的相片和图片动辄几十万、百万级别,则对应的基础特征数也是这个数量级,基于这样数量级的数组进行大规模运算,没有强大的计算能力支持,确实寸步难行。当然,这个入门的 MNIST 的 demo 还是可以比较快速的跑完。


Demo 中的关键代码(读取并且加载数据到数组对象中,方便后面使用):




2. 构建模型


MNIST 的每一张图片都表示一个数字,从0到9。而模型最终期望获得的是:给定一张图片,获得代表每个数字的概率。比如说,模型可能推测一张数字9的图片代表数字9的概率是80%但是判断它是8的概率是5%(因为8和9都有上半部分的小圆),然后给予它代表其他数字的概率更小的值。


 


MNIST 的入门例子,采用的是 softmax 回归(softmax regression),softmax 模型可以用来给不同的对象分配概率。


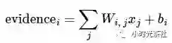
为了得到一张给定图片属于某个特定数字类的证据(evidence),我们对图片的784个特征(点阵里的各个像素值)进行加权求和。如果某个特征(像素值)具有很强的证据说明这张图片不属于该类,那么相应的权重值为负数,相反如果某个特征(像素值)拥有有利的证据支持这张图片属于这个类,那么权重值是正数。类似前面提到的房价估算例子,对每一个像素点作出了一个权重分配。


假设我们获得一张图片,需要计算它是8的概率,转化成数学公式则如下:



公式中的i代表需要预测的数字(8),代表预测数字为8的情况下,784个特征的不同权重值,代表8的偏置量(bias),X则是该图片784个特征的值。通过上述计算,我们则可以获得证明该图片是8的证据(evidence)的总和,softmax函数可以把这些证据转换成概率 y。(softmax的数学原理,辛苦各位查询相关资料哈)


将前面的过程概括成一张图(来自官方)则如下:



不同的特征x和对应不同数字的权重进行相乘和求和,则获得在各个数字的分布概率,取概率最大的值,则认为是我们的图片预测结果。


将上述过程写成一个等式,则如下:



该等式在矩阵乘法里可以非常简单地表示,则等价为:



不展开里面的具体数值,则可以简化为:


如果我们对线性代数中矩阵相关内容有适当学习,其实,就会明白矩阵表达在一些问题上,更易于理解。如果对矩阵内容不太记得了,也没有关系,后面我会附加上线性代数的视频。


虽然前面讲述了这么多,其实关键代码就四行:


 


上述代码都是类似变量占位符,先设置好模型计算方式,在真实训练流程中,需要批量读取源数据,不断给它们填充数据,模型计算才会真实跑起来。


tf.zeros 则表示,先给它们统一赋值为0占位。X数据是从数据文件中读取的,而w、b是在训练过程中不断变化和更新的,y则是基于前面的数据进行计算得到。

 


3. 损失函数和优化设置


为了训练我们的模型,我们首先需要定义一个指标来衡量这个模型是好还是坏。这个指标称为成本(cost)或损失(loss),然后尽量最小化这个指标。简单的说,就是我们需要最小化 loss 的值,loss 的值越小,则我们的模型越逼近标签的真实结果。


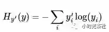
Demo 中使用的损失函数是“交叉熵”(cross-entropy),它的公式如下:

 


y 是我们预测的概率分布, y' 是实际的分布(我们输入的),交叉熵是用来衡量我们的预测结果的不准确性。TensorFlow 拥有一张描述各个计算单元的图,也就是整个模型的计算流程,它可以自动地使用反向传播算法(backpropagation algorithm),来确定我们的权重等变量是如何影响我们想要最小化的那个 loss 值的。然后,TensorFlow 会用我们设定好的优化算法来不断修改变量以降低 loss 值。


其中,demo 采用梯度下降算法(gradient descent algorithm)以0.01的学习速率最小化交叉熵。梯度下降算法是一个简单的学习过程,TensorFlow 只需将每个变量一点点地往使 loss 值不断降低的方向更新。


对应的关键代码如下:



备注内容:

交叉熵:

http://colah.github.io/posts/2015-09-Visual-Information/

反向传播:

http://colah.github.io/posts/2015-08-Backprop/

 

在代码中会看见 one-hot vector 的概念和变量名,其实这个是个非常简单的东西,就是设置一个10个元素的数组,其中只有一个是1,其他都是0,以此表示数字的标签结果。


例如表示数字3的标签值:

[0,0,0,1,0,0,0,0,0,0]

 

4. 训练运算和模型准确度测试


通过前面的实现,我们已经设置好了整个模型的计算“流程图”,它们都成为TensorFlow 框架的一部分。于是,我们就可以启动我们的训练程序,下面的代码的含义是,循环训练我们的模型500次,每次批量取50个训练样本。


 


其训练过程,其实就是 TensorFlow 框架的启动训练过程,在这个过程中,python 批量地将数据交给底层库进行处理。


我在官方的 demo 里追加了两行代码,每隔50次则额外计算一次当前模型的识别准确率。它并非必要的代码,仅仅用于方便观察整个模型的识别准确率逐步变化的过程。



当然,里面涉及的 accuracy(预测准确率)等变量,需要在前面的地方定义占位:



当我们训练完毕,则到了验证我们的模型准确率的时候,和前面相同:



我的 demo 跑出来的结果如下(softmax回归的例子运行速度还是比较快的),当前的准确率是0.9252:


 

5. 实时查看参数的数值的方法


刚开始跑官方的 demo 的时候,我们总想将相关变量的值打印出来看看,是怎样一种格式和状态。从 demo 的代码中,我们可以看见很多的 Tensor 变量对象,而实际上这些变量对象都是无法直接输出查看,粗略地理解,有些只是占位符,直接输出的话,会获得类似如下的一个对象:

Tensor("Equal:0", shape=(?,), dtype=bool)


既然它是占位符,那么我们就必须喂一些数据给它,它才能将真实内容展示出来。因此,正确的方法是,在打印时通常需要加上当前的输入数据给它。

例如,查看y的概率数据:

print(sess.run(y, feed_dict={x: batch_xs, y_: batch_ys}))


部分非占位符的变量还可以这样输出来:

print(W.eval())

 

总的来说,92%的识别准确率是比较令人失望,因此,官方的 MNIST 其实也有多种模型的不同版本,其中比较适合图片处理的 CNN (卷积神经网络)的版本,可以获得99%以上的准确率,当然,它的执行耗时也是比较长的。

(备注:cnn_mnist.py 就是卷积神经网络版本的,后面有附带微云网盘的下载 url)


前馈神经网络(feed-forward neural network)版本的 MNIST,可达到97%:


 

分享在微云上的数据和源码:

http://url.cn/44aZOpP

(备注:国外网站下载都比较慢,我这份下载相对会快一些,在环境已经搭建完毕的情况下,执行里面的 run.py 即可)



 


 

五、其他模型




  1.  CIFAR-10 识别图片分类的 demo(官方)


CIFAR-10 数据集的分类是机器学习中一个公开的基准测试问题,它任务是对一组 32x32RGB 的图像进行分类,这些图像涵盖了10个类别:飞机, 汽车, 鸟, 猫, 鹿, 狗, 青蛙, 马, 船和卡车。


这也是官方的重要 demo 之一。


 

更详细的介绍内容:

http://www.cs.toronto.edu/~kriz/cifar.html

http://tensorfly.cn/tfdoc/tutorials/deep_cnn.html

 

该例子执行的过程比较长,需要耐心等待。


我在机器上的执行过程和结果:


cifar10_train.py 用于训练:



cifar10_eval.py 用于检验结果:



识别率不高是因为该官方模型的识别率本来就不高:



另外,官方的例子我首次在1月5日跑的时候,还是有一些小问题的,无法跑起来(最新的官方可能已经修正),建议可以直接使用我放到微云上的版本(代码里面的log和读取文件的路径,需要调整一下)。


源码下载:http://url.cn/44mRzBh

 

微云盘里,不含训练集和测试集的图片数据,但是,程序如果检测到这些图片不存在,会自行下载:


 

2. 是否大于5岁的测试 demo


为了检验 softma 回归模型是否能够学习到一些我自己设定好的规则,我做了一个小 demo 来测试。我通过随机数生成的方式构造了一系列的数据,让前面的 softmax 回归模型去学习,最终看看模型能否通过训练集的学习,最终100%预测这个样本数据是否大于5岁。


模型和数据本身都比较简单,构造的数据的方式:

我随机构造一个只有2个特征纬度的样本数据,[year, 1],其中 year 随机取值0-10,数字1是放进去作为干扰。


如果 year 大于5岁,则标签设置为:[0, 0, 1];

否则,标签设置为:[0, 1, 0]。

 

生成了6000条假训练集去训练该模型,最终它能做到100%成功预测准确:


 

 

微云下载(源码下载):

http://url.cn/44mKFNK



 

六、深度学习的入门学习体会



  1. 人工智能和深度学习技术并不神秘,更像是一个新型的工具,通过喂数据给它,然后,它能发现这些数据背后的规律,并为我们所用。


  2.  数学基础比较重要,这样有助于理解模型背后的数学原理,不过,从纯应用角度来说,并不一定需要完全掌握数学,也可以提前开始做一些尝试和学习。


  3. 我深深地感到计算资源非常缺乏,每次调整程序的参数或训练数据后,跑完一次训练集经常要很多个小时,部分场景不跑多一些训练集数据,看不出差别,例如写诗的案例。个人感觉,这个是制约AI发展的重要问题,它直接让程序的“调试”效率非常低下。


  4. 中文文档比较少,英文文档也不多,开源社区一直在快速更新,文档的内容过时也比较快。因此,入门学习时遇到的问题会比较多,并且缺乏成型的文档。




 

八、小结




我不知道人工智能的时代是否真的会来临,也不知道它将要走向何方,但是,毫无疑问,它是一种全新的技术思维模式。更好的探索和学习这种新技术,然后在业务应用场景寻求结合点,最终达到帮助我们的业务获得更好的成果,一直以来,就是我们工程师的核心宗旨。另一方面,对发展有重大推动作用的新技术,通常会快速的发展并且走向普及,就如同我们的编程一样,因此,人人都可以做深度学习应用,并非只是一句噱头。


本文转自公众号【小茶社时光】

作者:徐汉彬

原文链接:http://mp.weixin.qq.com/s/r5PkFkJJcH1c2Nojy7z-fw

产业智能官


子曰:“君子和而不同,小人同而不和。”  《论语·子路》


 云计算、大数据、物联网、区块链和 人工智能,像君子一般融合,一起体现科技就是生产力。


如果说上一次哥伦布地理大发现,拓展的是人类的物理空间。那么这一次地理大发现,拓展的就是人们的数字空间。


在数学空间,建立新的商业文明,从而发现新的创富模式,为人类社会带来新的财富空间。


云计算,大数据、物联网和区块链,是进入这个数字空间的船,而人工智能就是那船上的帆,哥伦布之帆!


人工智能通过三个方式激发经济增长:

  1. 创造虚拟劳动力,承担需要适应性和敏捷性的复杂任务,即“智能自动化”,以区别于传统的自动化解决方案;

  2. 对现有劳动力和实物资产进行有利的补充和提升,提高资本效率;

  3. 人工智能的普及,将推动多行业的相关创新,开辟崭新的经济增长空间。


新一代信息技术(云计算、大数据、物联网、区块链和人工智能)的商业化落地进度远不及技术其本身的革新来得迅猛,究其原因,技术供应商(乙方)不明确自己的技术可服务于谁,传统企业机构(甲方)不懂如何有效利用新一代信息技术创新商业模式和提升效率。


“产业智能官”,通过采编对甲、乙方参考价值巨大的云计算、大数据、物联网、区块链和人工智能的论文、研究报告和商业合作项目与案例,面向企业CEO、CDO、CTO和CIO,从而服务新一代信息技术输出者和新一代信息技术消费者。


助力新一代信息技术公司寻找最有价值的潜在传统客户与商业化落地路径,帮助传统企业选择与开发适合自己的新一代信息技术产品和技术方案,消除新一代信息技术公司与传统企业之间的信息不对称,推动云计算、大数据、物联网、区块链和人工智能的商业化浪潮。


给决策制定者和商业领袖的建议:

  1. 迎接新一代信息技术,迎接人工智能:无缝整合人类智慧与机器智能,重新评估未来的知识和技能类型;

  2. 制定道德规范:切实为人工智能生态系统制定道德准则,并在智能机器的开发过程中确定更加明晰的标准和最佳实践;

  3. 重视再分配效应:对人工智能可能带来的冲击做好准备,制定战略帮助面临较高失业风险的人群;

  4. 超越自动化,开启新创新模式:利用具有自主学习和自我控制能力的动态机器智能,为企业创造新商机;

  5. 开发人工智能型企业所需新能力:员工团队需要积极掌握判断、沟通及创造性思维等人类所特有的重要能力。对于中国企业来说,创造兼具包容性和多样性的文化也非常重要。







产业智能官  AI-CPS



新一代技术操作系统(AI-CPS OS:云计算+大数据+物联网+区块链+人工智能,在商业应用场景中构建状态感知-实时分析-自主决策-精准执行-学习提升认知计算机器智能实现产业转型升级、DT驱动业务、价值创新创造的产业互联生态链



长按上方二维码关注微信公众号: AI-CPS,更多信息回复:


新技术:“云计算”、“大数据”、“物联网”、“区块链”、“人工智能”;新产业智能制造”、“智能驾驶”、“智能金融”、“智能城市”、“智能零售”;新模式:案例分析”、“研究报告”、“商业模式”、“供应链金融”、“财富空间”。





本文系“产业智能官(公众号ID:AI-CPS)收集整理,转载请注明出处!



版权声明产业智能官(公众号ID:AI-CPS推荐的文章,除非确实无法确认,我们都会注明作者和来源。部分文章推送时未能与原作者取得联系。若涉及版权问题,烦请原作者联系我们,与您共同协商解决。联系、投稿邮箱:[email protected]






登录查看更多
0

相关内容

Python数据分析:过去、现在和未来,52页ppt
专知会员服务
103+阅读 · 2020年3月9日
机器翻译深度学习最新综述
专知会员服务
99+阅读 · 2020年2月20日
【书籍】深度学习框架:PyTorch入门与实践(附代码)
专知会员服务
168+阅读 · 2019年10月28日
深度学习自然语言处理综述,266篇参考文献
专知会员服务
231+阅读 · 2019年10月12日
机器学习入门的经验与建议
专知会员服务
94+阅读 · 2019年10月10日
复旦大学邱锡鹏老师《神经网络与深度学习》书册最新版
【深度学习】深度学习的问题究竟在哪?
产业智能官
4+阅读 · 2019年8月30日
干货 | 深入理解深度学习中的激活函数
计算机视觉life
16+阅读 · 2019年1月29日
深度学习入门必须理解这25个概念
AI100
7+阅读 · 2018年6月6日
深度学习入门笔记
论智
7+阅读 · 2018年3月31日
【机器学习】机器学习和深度学习概念入门
产业智能官
11+阅读 · 2018年1月3日
【干货】机器学习和深度学习概念入门(下)
机器学习研究会
6+阅读 · 2017年12月31日
干货|7步掌握基于Keras的深度学习!
全球人工智能
4+阅读 · 2017年11月14日
入门 | 一文概览深度学习中的激活函数
机器之心
7+阅读 · 2017年11月2日
给初学者的深度学习简介
36大数据
3+阅读 · 2017年10月19日
【深度学习】给初学者的深度学习简介
产业智能官
8+阅读 · 2017年10月17日
Generalization and Regularization in DQN
Arxiv
6+阅读 · 2019年1月30日
Neural Approaches to Conversational AI
Arxiv
8+阅读 · 2018年12月13日
Stock Chart Pattern recognition with Deep Learning
Arxiv
6+阅读 · 2018年8月1日
Arxiv
8+阅读 · 2018年5月15日
Arxiv
11+阅读 · 2018年3月23日
Arxiv
6+阅读 · 2018年2月8日
VIP会员
最新内容
超越网格:作战环境对炮兵的影响
专知会员服务
1+阅读 · 今天15:35
KDD 2026 | MixRAGRec:面向LLM推荐的混合专家KG-RAG框架
BES:让语言模型通过双向进化搜索自我改进
专知会员服务
4+阅读 · 5月30日
以色列-美国-伊朗战争中的无人机:关键要点
专知会员服务
4+阅读 · 5月30日
《Palantir任务保障性软件安全标准(MA-S2)》
专知会员服务
14+阅读 · 5月30日
基于声学的无人机检测技术综述
专知会员服务
8+阅读 · 5月30日
《当代混合战争分析框架:俄乌战争经验教训》
相关VIP内容
Python数据分析:过去、现在和未来,52页ppt
专知会员服务
103+阅读 · 2020年3月9日
机器翻译深度学习最新综述
专知会员服务
99+阅读 · 2020年2月20日
【书籍】深度学习框架:PyTorch入门与实践(附代码)
专知会员服务
168+阅读 · 2019年10月28日
深度学习自然语言处理综述,266篇参考文献
专知会员服务
231+阅读 · 2019年10月12日
机器学习入门的经验与建议
专知会员服务
94+阅读 · 2019年10月10日
复旦大学邱锡鹏老师《神经网络与深度学习》书册最新版
相关资讯
【深度学习】深度学习的问题究竟在哪?
产业智能官
4+阅读 · 2019年8月30日
干货 | 深入理解深度学习中的激活函数
计算机视觉life
16+阅读 · 2019年1月29日
深度学习入门必须理解这25个概念
AI100
7+阅读 · 2018年6月6日
深度学习入门笔记
论智
7+阅读 · 2018年3月31日
【机器学习】机器学习和深度学习概念入门
产业智能官
11+阅读 · 2018年1月3日
【干货】机器学习和深度学习概念入门(下)
机器学习研究会
6+阅读 · 2017年12月31日
干货|7步掌握基于Keras的深度学习!
全球人工智能
4+阅读 · 2017年11月14日
入门 | 一文概览深度学习中的激活函数
机器之心
7+阅读 · 2017年11月2日
给初学者的深度学习简介
36大数据
3+阅读 · 2017年10月19日
【深度学习】给初学者的深度学习简介
产业智能官
8+阅读 · 2017年10月17日
Top
微信扫码咨询专知VIP会员